搜索引擎如何抓取网页
搜索引擎如何抓取网页(IDC:天之道,其犹张弓欤,损之,不足者补不足)
网站优化 • 优采云 发表了文章 • 0 个评论 • 76 次浏览 • 2022-04-20 18:01
中国IDC圈8月17日报道:天之道,还是弓吗?高者压之,低者举之,其余者损之,不足者补之。人之道不一样,失去的还不够多。谁能有盈为天下,唯有道。 (道法自然) 自然规律如箭。弓高时下压(高者压住),弓低时上提(低者抬起)。用多余的东西来弥补不足。人之道(法)并非如此。它是失去足够的服务过剩。什么样的人可以用自己的盈余服务世界?只有义人。所以,圣人靠自己的行动,不靠成功,也不想在众人面前立一个德行,以平天下。搜索遵循这样一个规则。
据统计,近似重复网页的数量占网页总数的比例高达29%,而相同的网页约占所有网页的22%,即有相当大的比例Internet 页面中的内容 有许多类型的重复网页完全相同或大致相似。这些重复的网页有些是没有任何变化的副本,有些是在内容上略有修改的,比如同一个文章的不同版本,一个新的,一个旧的,有的只是网页格式不同(例如HTML ,后记)。内容重复可以归结为以下4种。
· 类型1:如果两个文档的内容和布局没有差异,则重复可以称为完全重复的页面。
·类型2:如果两个文档的内容相同,但布局格式不同,则称为内容重复页。
·类型3:如果两个文档具有相同的重要内容和相同的布局格式,则称为布局重复页面。
·类型4:如果两个文档的某些重要内容相同,但布局格式不同,则称为部分重复页面。
所谓网页近重复发现,就是通过技术手段,快速、全面地发现这些重复信息。如何快速、准确地发现这些内容相似的网页,成为提升搜索引擎服务质量的关键技术之一。
查找相同或几乎重复的页面对搜索引擎有很多好处。
1.首先,如果我们能找到这些重复的网页并将它们从数据库中删除,我们可以节省一些存储空间,然后我们可以利用这部分空间来存储更有效的网页内容,同时也提高了搜索引擎的搜索质量和用户体验。
2.其次,如果我们可以通过分析过去采集的信息提前发现重复的网页,就可以在以后的网页采集过程中避免这些网页,从而提高网页的采集速度研究表明,重复网页不会随时间发生太大变化,因此从重复页面集合中选择一些页面进行索引是有效的。
3. 另外,如果某个网页的镜像度高,往往是其内容受欢迎程度的间接体现,说明该网页比较重要。优先级,当搜索引擎系统响应用户的检索请求并对输出结果进行排序时,应赋予更高的权重。
4. 从另一个角度来说,如果用户点击了死链接,可以将用户引导到内容相同的页面,可以有效增加用户的检索体验。因此,及时发现近似重复的网页有利于提高搜索引擎系统的服务质量。
实际的搜索引擎通常在爬虫阶段执行近似重复检测。下图展示了搜索引擎中近似重复检测任务的流程。当爬虫爬取一个新的网页时,需要和已经建入索引的网页重复判断。如果判断为近似重复网页,则直接丢弃。如果发现是全新的内容,将被添加到网页索引中。 查看全部
搜索引擎如何抓取网页(IDC:天之道,其犹张弓欤,损之,不足者补不足)
中国IDC圈8月17日报道:天之道,还是弓吗?高者压之,低者举之,其余者损之,不足者补之。人之道不一样,失去的还不够多。谁能有盈为天下,唯有道。 (道法自然) 自然规律如箭。弓高时下压(高者压住),弓低时上提(低者抬起)。用多余的东西来弥补不足。人之道(法)并非如此。它是失去足够的服务过剩。什么样的人可以用自己的盈余服务世界?只有义人。所以,圣人靠自己的行动,不靠成功,也不想在众人面前立一个德行,以平天下。搜索遵循这样一个规则。
据统计,近似重复网页的数量占网页总数的比例高达29%,而相同的网页约占所有网页的22%,即有相当大的比例Internet 页面中的内容 有许多类型的重复网页完全相同或大致相似。这些重复的网页有些是没有任何变化的副本,有些是在内容上略有修改的,比如同一个文章的不同版本,一个新的,一个旧的,有的只是网页格式不同(例如HTML ,后记)。内容重复可以归结为以下4种。
· 类型1:如果两个文档的内容和布局没有差异,则重复可以称为完全重复的页面。
·类型2:如果两个文档的内容相同,但布局格式不同,则称为内容重复页。
·类型3:如果两个文档具有相同的重要内容和相同的布局格式,则称为布局重复页面。
·类型4:如果两个文档的某些重要内容相同,但布局格式不同,则称为部分重复页面。
所谓网页近重复发现,就是通过技术手段,快速、全面地发现这些重复信息。如何快速、准确地发现这些内容相似的网页,成为提升搜索引擎服务质量的关键技术之一。
查找相同或几乎重复的页面对搜索引擎有很多好处。
1.首先,如果我们能找到这些重复的网页并将它们从数据库中删除,我们可以节省一些存储空间,然后我们可以利用这部分空间来存储更有效的网页内容,同时也提高了搜索引擎的搜索质量和用户体验。
2.其次,如果我们可以通过分析过去采集的信息提前发现重复的网页,就可以在以后的网页采集过程中避免这些网页,从而提高网页的采集速度研究表明,重复网页不会随时间发生太大变化,因此从重复页面集合中选择一些页面进行索引是有效的。
3. 另外,如果某个网页的镜像度高,往往是其内容受欢迎程度的间接体现,说明该网页比较重要。优先级,当搜索引擎系统响应用户的检索请求并对输出结果进行排序时,应赋予更高的权重。
4. 从另一个角度来说,如果用户点击了死链接,可以将用户引导到内容相同的页面,可以有效增加用户的检索体验。因此,及时发现近似重复的网页有利于提高搜索引擎系统的服务质量。
实际的搜索引擎通常在爬虫阶段执行近似重复检测。下图展示了搜索引擎中近似重复检测任务的流程。当爬虫爬取一个新的网页时,需要和已经建入索引的网页重复判断。如果判断为近似重复网页,则直接丢弃。如果发现是全新的内容,将被添加到网页索引中。
搜索引擎如何抓取网页(百度更新搜索引擎抓取系统基本框架、中涉及的网络协议、抓取的基本过程)
网站优化 • 优采云 发表了文章 • 0 个评论 • 103 次浏览 • 2022-04-18 22:41
百度昨天更新了爬虫系统的基本框架、爬虫涉及的网络协议、搜索引擎爬虫系统中爬取的基本流程。
原文如下:
随着互联网信息的爆炸式增长,如何有效地获取和利用这些信息是搜索引擎工作的首要环节。数据爬取系统作为整个搜索系统的上游,主要负责互联网信息的采集、保存和更新。它像蜘蛛一样在网络中爬行,因此通常被称为“蜘蛛”。比如我们常用的几种常见的搜索引擎蜘蛛被称为:Baiduspdier、Googlebot、SogouWebSpider等。
蜘蛛爬取系统是搜索引擎数据来源的重要保障。如果把网络理解为一个有向图,那么蜘蛛的工作过程可以认为是对这个有向图的遍历。从一些重要的种子URL开始,通过页面上的超链接关系,不断发现新的URL并进行爬取,从而尽可能多地爬取有价值的网页。对于百度这样的大型爬虫系统,由于网页随时都有被修改、删除或者新的超链接出现的可能,所以需要不断更新爬虫过去爬过的页面,维护一个URL库和页面库。
1、蜘蛛抓取系统基本框架
下面是蜘蛛爬取系统的基本框架图,包括链接存储系统、链接选择系统、dns解析服务系统、爬取调度系统、网页分析系统、链接提取系统、链接分析系统、网页存储系统。
2、蜘蛛爬取过程中涉及的网络协议
搜索引擎和资源提供者之间存在相互依赖的关系。其中,搜索引擎需要站长为其提供资源,否则搜索引擎无法满足用户检索需求;站长需要通过搜索引擎来推广自己的内容,以获得更多的信息。广大观众。蜘蛛爬取系统直接涉及互联网资源提供者的利益。为了实现搜索引擎和站长的双赢,双方在爬取过程中都必须遵守一定的规范,以方便双方的数据处理和对接。这个过程所遵循的规范,就是我们日常生活中所说的一些网络协议。这是一个简短的列表:
HTTP 协议:超文本传输协议,是 Internet 上使用最广泛的网络协议,是客户端和服务器请求和响应的标准。客户端一般指的是最终用户,服务器指的是网站。最终用户通过浏览器、蜘蛛等方式向服务器的指定端口发送http请求,发送http请求会返回相应的http头信息,包括是否成功、服务器类型、网页最后更新时间. 查看全部
搜索引擎如何抓取网页(百度更新搜索引擎抓取系统基本框架、中涉及的网络协议、抓取的基本过程)
百度昨天更新了爬虫系统的基本框架、爬虫涉及的网络协议、搜索引擎爬虫系统中爬取的基本流程。
原文如下:
随着互联网信息的爆炸式增长,如何有效地获取和利用这些信息是搜索引擎工作的首要环节。数据爬取系统作为整个搜索系统的上游,主要负责互联网信息的采集、保存和更新。它像蜘蛛一样在网络中爬行,因此通常被称为“蜘蛛”。比如我们常用的几种常见的搜索引擎蜘蛛被称为:Baiduspdier、Googlebot、SogouWebSpider等。
蜘蛛爬取系统是搜索引擎数据来源的重要保障。如果把网络理解为一个有向图,那么蜘蛛的工作过程可以认为是对这个有向图的遍历。从一些重要的种子URL开始,通过页面上的超链接关系,不断发现新的URL并进行爬取,从而尽可能多地爬取有价值的网页。对于百度这样的大型爬虫系统,由于网页随时都有被修改、删除或者新的超链接出现的可能,所以需要不断更新爬虫过去爬过的页面,维护一个URL库和页面库。
1、蜘蛛抓取系统基本框架
下面是蜘蛛爬取系统的基本框架图,包括链接存储系统、链接选择系统、dns解析服务系统、爬取调度系统、网页分析系统、链接提取系统、链接分析系统、网页存储系统。
2、蜘蛛爬取过程中涉及的网络协议
搜索引擎和资源提供者之间存在相互依赖的关系。其中,搜索引擎需要站长为其提供资源,否则搜索引擎无法满足用户检索需求;站长需要通过搜索引擎来推广自己的内容,以获得更多的信息。广大观众。蜘蛛爬取系统直接涉及互联网资源提供者的利益。为了实现搜索引擎和站长的双赢,双方在爬取过程中都必须遵守一定的规范,以方便双方的数据处理和对接。这个过程所遵循的规范,就是我们日常生活中所说的一些网络协议。这是一个简短的列表:
HTTP 协议:超文本传输协议,是 Internet 上使用最广泛的网络协议,是客户端和服务器请求和响应的标准。客户端一般指的是最终用户,服务器指的是网站。最终用户通过浏览器、蜘蛛等方式向服务器的指定端口发送http请求,发送http请求会返回相应的http头信息,包括是否成功、服务器类型、网页最后更新时间.
搜索引擎如何抓取网页(如何禁止百度搜索引擎收录抓取网页网页帮助帮助?)
网站优化 • 优采云 发表了文章 • 0 个评论 • 71 次浏览 • 2022-04-18 21:30
如果你的网站涉及个人隐私或非公开网页的保密,如何告诉搜索引擎禁止收录爬取,侯庆龙将通过以下方法进行讲解,希望你能做到不想被搜索引擎搜索到收录Grab网站 帮忙。
第一种,robots.txt方法
搜索引擎默认遵循 robots.txt 协议。创建 robots.txt 文本文件并将其放在 网站 根目录中。编辑代码如下:
用户代理:*
禁止:
通过代码,您可以告诉搜索引擎不要抓取收录this网站。
二、网页代码
在网站首页代码之间,添加一个代码,该标签禁止搜索引擎抓取网站并显示网页截图。
如何阻止百度搜索引擎收录抓取网页
1、编辑robots.txt文件,设计标记为:
用户代理:百度蜘蛛
禁止:/
2、在网站首页代码之间添加,防止百度搜索引擎抓取网站并显示网页截图。
3、联系百度管理,邮箱是:,发邮件到网站的联系人邮箱,如实说明删除网页截图。经百度验证,网页将停止收录抓取。
4、登录百度自己的“百度快照”帖和“百度投诉”帖,发帖说明删除页面快照的原因收录网站,百度管理人员的时候,看到了就会处理。
如何阻止 Google 搜索引擎收录抓取网络
1、编辑robots.txt文件,设计标记为:
用户代理:googlebot
禁止:/
2、在网站首页代码之间添加,防止谷歌搜索引擎抓取网站并显示网页截图。
转载地址: 查看全部
搜索引擎如何抓取网页(如何禁止百度搜索引擎收录抓取网页网页帮助帮助?)
如果你的网站涉及个人隐私或非公开网页的保密,如何告诉搜索引擎禁止收录爬取,侯庆龙将通过以下方法进行讲解,希望你能做到不想被搜索引擎搜索到收录Grab网站 帮忙。
第一种,robots.txt方法
搜索引擎默认遵循 robots.txt 协议。创建 robots.txt 文本文件并将其放在 网站 根目录中。编辑代码如下:
用户代理:*
禁止:
通过代码,您可以告诉搜索引擎不要抓取收录this网站。
二、网页代码
在网站首页代码之间,添加一个代码,该标签禁止搜索引擎抓取网站并显示网页截图。
如何阻止百度搜索引擎收录抓取网页
1、编辑robots.txt文件,设计标记为:
用户代理:百度蜘蛛
禁止:/
2、在网站首页代码之间添加,防止百度搜索引擎抓取网站并显示网页截图。
3、联系百度管理,邮箱是:,发邮件到网站的联系人邮箱,如实说明删除网页截图。经百度验证,网页将停止收录抓取。
4、登录百度自己的“百度快照”帖和“百度投诉”帖,发帖说明删除页面快照的原因收录网站,百度管理人员的时候,看到了就会处理。
如何阻止 Google 搜索引擎收录抓取网络
1、编辑robots.txt文件,设计标记为:
用户代理:googlebot
禁止:/
2、在网站首页代码之间添加,防止谷歌搜索引擎抓取网站并显示网页截图。
转载地址:
搜索引擎如何抓取网页(一个完整的网络爬虫基础框架如下图所示:整个架构)
网站优化 • 优采云 发表了文章 • 0 个评论 • 138 次浏览 • 2022-04-18 21:28
一个完整的网络爬虫基础框架如下图所示:
整个架构由以下过程组成:
1)需求方提供需要爬取的种子URL列表,根据提供的URL列表和对应的优先级(先到先得)建立待爬取的URL队列;
2)网页抓取是按照要抓取的URL队列的顺序进行的;
3)将获取到的网页内容和信息下载到本地网络库,并创建爬取的URL列表(用于去重和判断爬取过程);
4)将爬取的网页放入待爬取的URL队列中,进行循环爬取操作;
2. 网络爬虫爬取策略
在爬虫系统中,待爬取的 URL 队列是一个重要的部分。待爬取URL队列中的URL排列顺序也是一个很重要的问题,因为它涉及到先爬到哪个页面,再爬到哪个页面的问题。确定这些 URL 排列顺序的方法称为爬取策略。下面重点介绍几种常见的爬取策略:
1)深度优先遍历策略
深度优先遍历策略很好理解,和我们有向图中的深度优先遍历一样,因为网络本身就是一个图模型。深度优先遍历的思路是从一个起始网页开始爬取,然后根据链接一个一个的爬取,直到不能再深度爬取,然后返回上一页继续关注链接。
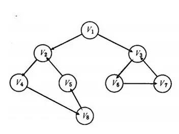
有向图中的深度优先搜索示例如下所示:
上图左图是有向图的示意图,右图是深度优先遍历的搜索过程示意图。深度优先遍历的结果是:
2)广度优先搜索策略
广度优先搜索和深度优先搜索的工作方式完全相反。这个想法是将在新下载的网页中找到的链接直接插入到要抓取的 URL 队列的末尾。也就是说,网络爬虫会先爬取起始网页链接的所有网页,然后选择其中一个链接的网页,继续爬取该网页链接的所有网页。
上图是上例有向图的广度优先搜索流程图,其遍历结果为:
v1→v2→v3→v4→v5→v6→v7→v8
从树的结构来看,图的广度优先遍历就是树的层次遍历。
3)反向链接搜索策略
反向链接数是指从其他网页指向一个网页的链接数。反向链接的数量表示网页内容被他人推荐的程度。因此,在很多情况下,搜索引擎的爬取系统会使用这个指标来评估网页的重要性,从而确定不同网页的爬取顺序。
在真实的网络环境中,由于广告链接和作弊链接的存在,反向链接的数量并不能完全等同于他人的重要性。因此,搜索引擎倾向于考虑一些可靠的反向链接计数。
4)大网站优先策略
所有待爬取的URL队列中的网页都按照它们所属的网站进行分类。网站需要下载的页面较多,请先下载。这种策略也称为大站点优先策略。
5)其他搜索策略
一些比较常用的爬虫搜索侧率还包括Partial PageRank搜索策略(根据PageRank分数确定下一个抓取的URL),OPIC搜索策略(也是一种重要性)。最后必须指出的一点是,我们可以根据自己的需要来设置网页的抓取间隔,这样可以保证我们一些基本的大网站或者活跃的网站内容不会被漏掉。
3. 网络爬虫更新策略
互联网实时变化并且非常动态。网页更新策略主要决定何时更新之前已经下载的页面。常见的更新策略有以下三种:
1)历史参考政策
顾名思义,它根据页面过去的历史更新数据来预测未来页面何时会发生变化。通常,预测是通过泊松过程建模来进行的。
2)用户体验策略
尽管搜索引擎可以为某个查询返回大量结果,但用户通常只关注结果的前几页。因此,爬虫系统可以优先更新那些实际在查询结果前几页的页面,然后再更新后面的那些页面。这个更新策略也需要用到历史信息。UX 策略保留网页的多个历史版本,并根据每个过去内容更改对搜索质量的影响得出一个平均值,并以此值作为决定何时重新抓取的基础。
3)聚类抽样策略
上面提到的两种更新策略都有一个前提:需要网页的历史信息。这种方式存在两个问题:第一,如果系统为每个系统保存多个版本的历史信息,无疑会增加很多系统负担;第二,如果新网页完全没有历史信息,就无法确定更新策略。
该策略认为网页具有许多属性,具有相似属性的网页可以认为具有相似的更新频率。计算某一类别网页的更新频率,只需对该类别的网页进行采样,并将其更新周期作为整个类别的更新周期。基本思路如下:
4. 分布式抓取系统结构
一般来说,爬虫系统需要处理整个互联网上数以亿计的网页。单个爬虫不可能完成这样的任务。通常需要多个爬虫程序一起处理它们。一般来说,爬虫系统往往是分布式的三层结构。如图所示:
最底层是分布在不同地理位置的数据中心。每个数据中心有多个爬虫服务器,每个爬虫服务器可能部署多套爬虫程序。这样就构成了一个基本的分布式爬虫系统。
对于数据中心中的不同服务器,有几种方法可以协同工作:
1)主从
主从基本结构如图:
对于主从类型,有一个专门的主服务器来维护要爬取的URL队列,负责每次将URL分发给不同的从服务器,从服务器负责实际的网页下载工作。Master服务器除了维护要爬取的URL队列和分发URL外,还负责调解每个Slave服务器的负载。为了避免一些从服务器过于空闲或过度工作。
在这种模式下,Master往往会成为系统的瓶颈。
2)点对点
等价的基本结构如图所示:
在这种模式下,所有爬虫服务器之间的分工没有区别。每个爬取服务器可以从待爬取的URL队列中获取URL,然后计算该URL主域名的哈希值H,进而计算H mod m(其中m为服务器数量,上图为例如,m 对于 3),计算出来的数字是处理 URL 的主机号。
例子:假设对于URL,计算器hash值H=8,m=3,那么H mod m=2,那么编号为2的服务器会抓取该链接。假设此时服务器 0 获取了 URL,它会将 URL 传输到服务器 2,服务器 2 将获取它。
这种模式有一个问题,当一个服务器死掉或添加一个新服务器时,所有 URL 的哈希余数的结果都会改变。也就是说,这种方法不能很好地扩展。针对这种情况,提出了另一种改进方案。这种改进的方案是一致的散列以确定服务器划分。其基本结构如图所示:
一致散列对 URL 的主域名进行散列,并将其映射到 0-232 范围内的数字。这个范围平均分配给m台服务器,根据主URL域名的hash运算值的范围来确定要爬取哪个服务器。
如果某台服务器出现问题,本应负责该服务器的网页将由下一个服务器顺时针获取。在这种情况下,即使一台服务器出现问题,也不会影响其他工作。
5. 参考资料
[1] wawlian:网络爬虫基本原理(一)(二);
[2] guisu:搜索引擎——网络爬虫;
[3]《这就是搜索引擎:核心技术详解》。 查看全部
搜索引擎如何抓取网页(一个完整的网络爬虫基础框架如下图所示:整个架构)
一个完整的网络爬虫基础框架如下图所示:

整个架构由以下过程组成:
1)需求方提供需要爬取的种子URL列表,根据提供的URL列表和对应的优先级(先到先得)建立待爬取的URL队列;
2)网页抓取是按照要抓取的URL队列的顺序进行的;
3)将获取到的网页内容和信息下载到本地网络库,并创建爬取的URL列表(用于去重和判断爬取过程);
4)将爬取的网页放入待爬取的URL队列中,进行循环爬取操作;
2. 网络爬虫爬取策略
在爬虫系统中,待爬取的 URL 队列是一个重要的部分。待爬取URL队列中的URL排列顺序也是一个很重要的问题,因为它涉及到先爬到哪个页面,再爬到哪个页面的问题。确定这些 URL 排列顺序的方法称为爬取策略。下面重点介绍几种常见的爬取策略:
1)深度优先遍历策略
深度优先遍历策略很好理解,和我们有向图中的深度优先遍历一样,因为网络本身就是一个图模型。深度优先遍历的思路是从一个起始网页开始爬取,然后根据链接一个一个的爬取,直到不能再深度爬取,然后返回上一页继续关注链接。
有向图中的深度优先搜索示例如下所示:


上图左图是有向图的示意图,右图是深度优先遍历的搜索过程示意图。深度优先遍历的结果是:

2)广度优先搜索策略
广度优先搜索和深度优先搜索的工作方式完全相反。这个想法是将在新下载的网页中找到的链接直接插入到要抓取的 URL 队列的末尾。也就是说,网络爬虫会先爬取起始网页链接的所有网页,然后选择其中一个链接的网页,继续爬取该网页链接的所有网页。

上图是上例有向图的广度优先搜索流程图,其遍历结果为:
v1→v2→v3→v4→v5→v6→v7→v8
从树的结构来看,图的广度优先遍历就是树的层次遍历。
3)反向链接搜索策略
反向链接数是指从其他网页指向一个网页的链接数。反向链接的数量表示网页内容被他人推荐的程度。因此,在很多情况下,搜索引擎的爬取系统会使用这个指标来评估网页的重要性,从而确定不同网页的爬取顺序。
在真实的网络环境中,由于广告链接和作弊链接的存在,反向链接的数量并不能完全等同于他人的重要性。因此,搜索引擎倾向于考虑一些可靠的反向链接计数。
4)大网站优先策略
所有待爬取的URL队列中的网页都按照它们所属的网站进行分类。网站需要下载的页面较多,请先下载。这种策略也称为大站点优先策略。
5)其他搜索策略
一些比较常用的爬虫搜索侧率还包括Partial PageRank搜索策略(根据PageRank分数确定下一个抓取的URL),OPIC搜索策略(也是一种重要性)。最后必须指出的一点是,我们可以根据自己的需要来设置网页的抓取间隔,这样可以保证我们一些基本的大网站或者活跃的网站内容不会被漏掉。
3. 网络爬虫更新策略
互联网实时变化并且非常动态。网页更新策略主要决定何时更新之前已经下载的页面。常见的更新策略有以下三种:
1)历史参考政策
顾名思义,它根据页面过去的历史更新数据来预测未来页面何时会发生变化。通常,预测是通过泊松过程建模来进行的。
2)用户体验策略
尽管搜索引擎可以为某个查询返回大量结果,但用户通常只关注结果的前几页。因此,爬虫系统可以优先更新那些实际在查询结果前几页的页面,然后再更新后面的那些页面。这个更新策略也需要用到历史信息。UX 策略保留网页的多个历史版本,并根据每个过去内容更改对搜索质量的影响得出一个平均值,并以此值作为决定何时重新抓取的基础。
3)聚类抽样策略
上面提到的两种更新策略都有一个前提:需要网页的历史信息。这种方式存在两个问题:第一,如果系统为每个系统保存多个版本的历史信息,无疑会增加很多系统负担;第二,如果新网页完全没有历史信息,就无法确定更新策略。
该策略认为网页具有许多属性,具有相似属性的网页可以认为具有相似的更新频率。计算某一类别网页的更新频率,只需对该类别的网页进行采样,并将其更新周期作为整个类别的更新周期。基本思路如下:

4. 分布式抓取系统结构
一般来说,爬虫系统需要处理整个互联网上数以亿计的网页。单个爬虫不可能完成这样的任务。通常需要多个爬虫程序一起处理它们。一般来说,爬虫系统往往是分布式的三层结构。如图所示:

最底层是分布在不同地理位置的数据中心。每个数据中心有多个爬虫服务器,每个爬虫服务器可能部署多套爬虫程序。这样就构成了一个基本的分布式爬虫系统。
对于数据中心中的不同服务器,有几种方法可以协同工作:
1)主从
主从基本结构如图:

对于主从类型,有一个专门的主服务器来维护要爬取的URL队列,负责每次将URL分发给不同的从服务器,从服务器负责实际的网页下载工作。Master服务器除了维护要爬取的URL队列和分发URL外,还负责调解每个Slave服务器的负载。为了避免一些从服务器过于空闲或过度工作。
在这种模式下,Master往往会成为系统的瓶颈。
2)点对点
等价的基本结构如图所示:

在这种模式下,所有爬虫服务器之间的分工没有区别。每个爬取服务器可以从待爬取的URL队列中获取URL,然后计算该URL主域名的哈希值H,进而计算H mod m(其中m为服务器数量,上图为例如,m 对于 3),计算出来的数字是处理 URL 的主机号。
例子:假设对于URL,计算器hash值H=8,m=3,那么H mod m=2,那么编号为2的服务器会抓取该链接。假设此时服务器 0 获取了 URL,它会将 URL 传输到服务器 2,服务器 2 将获取它。
这种模式有一个问题,当一个服务器死掉或添加一个新服务器时,所有 URL 的哈希余数的结果都会改变。也就是说,这种方法不能很好地扩展。针对这种情况,提出了另一种改进方案。这种改进的方案是一致的散列以确定服务器划分。其基本结构如图所示:

一致散列对 URL 的主域名进行散列,并将其映射到 0-232 范围内的数字。这个范围平均分配给m台服务器,根据主URL域名的hash运算值的范围来确定要爬取哪个服务器。
如果某台服务器出现问题,本应负责该服务器的网页将由下一个服务器顺时针获取。在这种情况下,即使一台服务器出现问题,也不会影响其他工作。
5. 参考资料
[1] wawlian:网络爬虫基本原理(一)(二);
[2] guisu:搜索引擎——网络爬虫;
[3]《这就是搜索引擎:核心技术详解》。
搜索引擎如何抓取网页(如何让网站被搜索引擎识别、索引收录(1)》)
网站优化 • 优采云 发表了文章 • 0 个评论 • 85 次浏览 • 2022-04-18 21:26
如果想让网站被搜索引擎索引收录,就需要构建一个易于识别、被搜索引擎索引、可以在手机端呈现的网站边。
下面,我们将从域名、服务器、网页加载速度、网站结构、url结构、PC端和移动端适配、网站收录、网页过滤和数据库八个方面进行讨论建造。方面进行了说明。
在阅读这篇文章文章之前,你可以先阅读《如何让网站被搜索引擎索引收录(1))》。
图片来自网络
4.网站结构
一个理想的网站结构应该尽可能的扁平化,从网站首页到内容页面的层数尽可能少,这样搜索引擎更容易处理。因此,网站结构推荐采用树形结构,通常分为[首页]、[频道]、[文章页面]三个层次。
移动端网站的优化重点是移动端网站首页应该有重要的栏目导航、更多的详情页和重要的引流页面入口。所以,网站首页的布局不能太简单,页面内容也不能太简单。
5.网址结构
Url结构应该是描述性好的、规范的、简洁的url,可以帮助用户更方便快速的记忆和直观地判断网页的内容,也可以帮助搜索引擎更高效地识别和抓取网页。
① 详情页的url尽量短,这是为了减少无效参数,比如统计参数。同时,确保同一页面中只有一组 url 地址。如果有不同形式的url,应该使用301重定向跳转到正常的url。
②Robots文件可以防止百度搜索引擎蜘蛛抓取不希望展示给用户的内容,或者不希望被搜索引擎抓取的隐私数据。
③移动端的网址网站也需要是静态的,即不要使用收录过多参数和符号的网址,避免使用中文网址。
6.PC端网站和移动端网站的适配
站点适配是百度搜索引擎提出的一个概念。主要是通过网站meta加代码,提交网站地图到百度站长工具,帮助搜索引擎快速准确的了解PC端网站和手机端网站@ > 之间的关联。站点适配帮助百度在移动搜索中将原来的PC端网页结果替换为相应的移动端网页结果。
7.网站被动抓取
当PC端网站适配移动端网站,我们只需要等待百度搜索引擎抓取网站页面收录即可。
8.网页过滤和数据库构建
事实上,百度搜索引擎有一个专门的移动数据库。为了让更多的移动 网站 页面被索引,我们需要让移动 网站 有足够的特征来区分它与 PC 网站 页面,这将有助于改进 收录@ > 移动 网站 页面的数量。
(1)网站域名尽量以m./wap/3g/mobi./mobile./i.等开头。
(2)手机网站写在网页头。
以上就是《如何让网站被搜索引擎收录收录(2))》的全部内容,感谢您的阅读,希望对您有所帮助! 查看全部
搜索引擎如何抓取网页(如何让网站被搜索引擎识别、索引收录(1)》)
如果想让网站被搜索引擎索引收录,就需要构建一个易于识别、被搜索引擎索引、可以在手机端呈现的网站边。
下面,我们将从域名、服务器、网页加载速度、网站结构、url结构、PC端和移动端适配、网站收录、网页过滤和数据库八个方面进行讨论建造。方面进行了说明。
在阅读这篇文章文章之前,你可以先阅读《如何让网站被搜索引擎索引收录(1))》。

图片来自网络
4.网站结构
一个理想的网站结构应该尽可能的扁平化,从网站首页到内容页面的层数尽可能少,这样搜索引擎更容易处理。因此,网站结构推荐采用树形结构,通常分为[首页]、[频道]、[文章页面]三个层次。
移动端网站的优化重点是移动端网站首页应该有重要的栏目导航、更多的详情页和重要的引流页面入口。所以,网站首页的布局不能太简单,页面内容也不能太简单。
5.网址结构
Url结构应该是描述性好的、规范的、简洁的url,可以帮助用户更方便快速的记忆和直观地判断网页的内容,也可以帮助搜索引擎更高效地识别和抓取网页。
① 详情页的url尽量短,这是为了减少无效参数,比如统计参数。同时,确保同一页面中只有一组 url 地址。如果有不同形式的url,应该使用301重定向跳转到正常的url。
②Robots文件可以防止百度搜索引擎蜘蛛抓取不希望展示给用户的内容,或者不希望被搜索引擎抓取的隐私数据。
③移动端的网址网站也需要是静态的,即不要使用收录过多参数和符号的网址,避免使用中文网址。
6.PC端网站和移动端网站的适配
站点适配是百度搜索引擎提出的一个概念。主要是通过网站meta加代码,提交网站地图到百度站长工具,帮助搜索引擎快速准确的了解PC端网站和手机端网站@ > 之间的关联。站点适配帮助百度在移动搜索中将原来的PC端网页结果替换为相应的移动端网页结果。
7.网站被动抓取
当PC端网站适配移动端网站,我们只需要等待百度搜索引擎抓取网站页面收录即可。
8.网页过滤和数据库构建
事实上,百度搜索引擎有一个专门的移动数据库。为了让更多的移动 网站 页面被索引,我们需要让移动 网站 有足够的特征来区分它与 PC 网站 页面,这将有助于改进 收录@ > 移动 网站 页面的数量。
(1)网站域名尽量以m./wap/3g/mobi./mobile./i.等开头。
(2)手机网站写在网页头。
以上就是《如何让网站被搜索引擎收录收录(2))》的全部内容,感谢您的阅读,希望对您有所帮助!
搜索引擎如何抓取网页(Python抓取的搜索结果页面源码(url)(组图))
网站优化 • 优采云 发表了文章 • 0 个评论 • 75 次浏览 • 2022-04-18 20:25
我前段时间一直在研究如何使用python爬取搜索引擎结果。我在执行的过程中遇到了很多问题。我记录了我遇到的所有问题。希望遇到同样问题的童鞋们不要走弯路。
1. 搜索引擎选择
选择一个好的搜索引擎意味着您可以获得更准确的搜索结果。我用过四个搜索引擎:谷歌、必应、百度、雅虎!作为程序员,我的第一选择是谷歌。但是当我看到我最喜欢的 Google 给我返回了一堆 js 代码时,根本没有我想要的搜索结果。于是切换到Bing阵营,用了一段时间后发现Bing返回的搜索结果对我的问题不太理想。就在我快要绝望的时候,谷歌来救我了。原来谷歌为了照顾那些禁止浏览器使用js的用户还有另一种搜索方式,请看如下搜索网址:
hl 指定要搜索的语言,q 是要搜索的关键字。好吧,多亏了 Google,搜索结果页面收录了我想要抓取的内容。
PS:使用python爬取网上Google搜索结果的方法有很多。请注意,Google 不再推荐此方法,请参阅 。 Google 现在提供了自定义搜索 API,但是该 API 限制为每天 100 个请求,如果需要更多,只能购买。
2.Python 抓取和分析网页,
使用Python urllib2爬取网页非常方便,不多说,看代码:defsearch(self, queryStr):
queryStr =urllib2.quote(queryStr)
url='%s'%queryStr
请求=urllib2.请求(url)
响应=urllib2.urlopen(请求)
html=response.read()
results=self.extractSearchResults(html)
第6行的html是我们爬取的搜索结果页面的源码。用过Python的同学会发现Python同时提供了urllib和urllib2两个模块,这两个模块都与URL请求相关,只是提供的功能不同。 urllib 只能接收 URL,而 urllib2 可以接受 Request 类的实例来设置 URL 请求的标头,这意味着您可以伪装您的用户代理等(在下面使用)。
现在我们可以使用 Python 抓取网页并保存它,我们可以从源页面中提取我们想要的搜索结果。 Python提供了htmlparser模块,但是使用起来比较麻烦。在这里,我们推荐一个非常有用的网页分析包 BeautifulSoup。评委网站上对 BeautifulSoup 的使用有详细的介绍。这里就不多说了。
使用上面的代码,少量查询是可以的,但是如果你想查询几千次,上面的方法就不再有效了,谷歌会检测你请求的来源,如果我们使用机器的话经常抓取谷歌的搜索结果,很快谷歌就会屏蔽你的IP,并返回一个503错误页面。这不是我们想要的结果,所以我们会继续探索
如前所述,使用 urllib2 我们可以设置 URL 请求的标头来伪装我们的用户代理。简而言之,用户代理是客户端浏览器等应用程序使用的一种特殊网络协议。每次浏览器(邮件客户端/搜索引擎蜘蛛)发出 HTTP 请求时,都会发送到服务器,服务器就知道用户了。使用什么浏览器(邮件客户端/搜索引擎蜘蛛)访问。有时候为了达到一些目的,我们不得不去善意地欺骗服务器告诉它我没有使用机器访问你。
所以,我们的代码如下所示: user_agents =['Mozilla/5.0 (Windows NT 6.1; WOW64; rv:23.0) Gecko/ 20130406 火狐/23.0', \
'Mozilla/5.0 (Windows NT 6.1; WOW64; rv:18.0) Gecko/20100101 Firefox/18.0' , \
'Mozilla/5.0(Windows; U; Windows NT 6.1; en-US) AppleWebKit/533+\
(KHTML,如 Gecko)元素浏览器 5.0', \
'IBM WebExplorer /v0.94', 'Galaxy/1.0 [en] (Mac OS X 10.5.6; U; en)' , \
'Mozilla/5.0(兼容;MSIE 10.0;Windows NT 6.1;WOW64;三叉戟/6.0)',\
'Opera/9.80 (Windows NT 6.0) Presto/2.12.388 版本/12.14', \
'Mozilla/5.0(iPad; CPU OS 6_0like Mac OS X) AppleWebKit/536.26(KHTML, like Gecko) \
版本/6.0Mobile/10A5355dSafari/8536.25', \
'Mozilla/5.0(Windows NT 6.1) AppleWebKit/537.36(KHTML,像壁虎) \
Chrome/28.0.1468.0Safari/537.36', \
'Mozilla/5.0(兼容;MSIE 9.0;Windows NT 6.0;Trident/5.0;TheWorld)']
defsearch(self, queryStr):
queryStr =urllib2.quote(queryStr)
url='%s'%queryStr
请求=urllib2.请求(url)
index =random.randint(0, 9)
user_agent=user_agents[索引]
request.add_header('User-agent', user_agent)
响应=urllib2.urlopen(请求)
html=response.read()
results=self.extractSearchResults(html)
不要被 user_agents 列表吓到,它实际上是 10 个用户代理字符串。这是为了让我们假装更好。如果您需要更多用户代理,请在此处查看 UserAgentString。
第17-19行表示随机选择一个用户代理字符串,然后通过请求的add_header方法伪装一个用户代理。
通过伪装用户代理,我们可以继续爬取搜索引擎结果。如果这不起作用,那么我建议在每次查询之间随机休眠一段时间。这会影响爬取速度,但是会让你继续爬取爬取结果,如果你有多个IP,爬取速度也会增加。 查看全部
搜索引擎如何抓取网页(Python抓取的搜索结果页面源码(url)(组图))
我前段时间一直在研究如何使用python爬取搜索引擎结果。我在执行的过程中遇到了很多问题。我记录了我遇到的所有问题。希望遇到同样问题的童鞋们不要走弯路。
1. 搜索引擎选择
选择一个好的搜索引擎意味着您可以获得更准确的搜索结果。我用过四个搜索引擎:谷歌、必应、百度、雅虎!作为程序员,我的第一选择是谷歌。但是当我看到我最喜欢的 Google 给我返回了一堆 js 代码时,根本没有我想要的搜索结果。于是切换到Bing阵营,用了一段时间后发现Bing返回的搜索结果对我的问题不太理想。就在我快要绝望的时候,谷歌来救我了。原来谷歌为了照顾那些禁止浏览器使用js的用户还有另一种搜索方式,请看如下搜索网址:
hl 指定要搜索的语言,q 是要搜索的关键字。好吧,多亏了 Google,搜索结果页面收录了我想要抓取的内容。
PS:使用python爬取网上Google搜索结果的方法有很多。请注意,Google 不再推荐此方法,请参阅 。 Google 现在提供了自定义搜索 API,但是该 API 限制为每天 100 个请求,如果需要更多,只能购买。
2.Python 抓取和分析网页,
使用Python urllib2爬取网页非常方便,不多说,看代码:defsearch(self, queryStr):
queryStr =urllib2.quote(queryStr)
url='%s'%queryStr
请求=urllib2.请求(url)
响应=urllib2.urlopen(请求)
html=response.read()
results=self.extractSearchResults(html)
第6行的html是我们爬取的搜索结果页面的源码。用过Python的同学会发现Python同时提供了urllib和urllib2两个模块,这两个模块都与URL请求相关,只是提供的功能不同。 urllib 只能接收 URL,而 urllib2 可以接受 Request 类的实例来设置 URL 请求的标头,这意味着您可以伪装您的用户代理等(在下面使用)。
现在我们可以使用 Python 抓取网页并保存它,我们可以从源页面中提取我们想要的搜索结果。 Python提供了htmlparser模块,但是使用起来比较麻烦。在这里,我们推荐一个非常有用的网页分析包 BeautifulSoup。评委网站上对 BeautifulSoup 的使用有详细的介绍。这里就不多说了。
使用上面的代码,少量查询是可以的,但是如果你想查询几千次,上面的方法就不再有效了,谷歌会检测你请求的来源,如果我们使用机器的话经常抓取谷歌的搜索结果,很快谷歌就会屏蔽你的IP,并返回一个503错误页面。这不是我们想要的结果,所以我们会继续探索
如前所述,使用 urllib2 我们可以设置 URL 请求的标头来伪装我们的用户代理。简而言之,用户代理是客户端浏览器等应用程序使用的一种特殊网络协议。每次浏览器(邮件客户端/搜索引擎蜘蛛)发出 HTTP 请求时,都会发送到服务器,服务器就知道用户了。使用什么浏览器(邮件客户端/搜索引擎蜘蛛)访问。有时候为了达到一些目的,我们不得不去善意地欺骗服务器告诉它我没有使用机器访问你。
所以,我们的代码如下所示: user_agents =['Mozilla/5.0 (Windows NT 6.1; WOW64; rv:23.0) Gecko/ 20130406 火狐/23.0', \
'Mozilla/5.0 (Windows NT 6.1; WOW64; rv:18.0) Gecko/20100101 Firefox/18.0' , \
'Mozilla/5.0(Windows; U; Windows NT 6.1; en-US) AppleWebKit/533+\
(KHTML,如 Gecko)元素浏览器 5.0', \
'IBM WebExplorer /v0.94', 'Galaxy/1.0 [en] (Mac OS X 10.5.6; U; en)' , \
'Mozilla/5.0(兼容;MSIE 10.0;Windows NT 6.1;WOW64;三叉戟/6.0)',\
'Opera/9.80 (Windows NT 6.0) Presto/2.12.388 版本/12.14', \
'Mozilla/5.0(iPad; CPU OS 6_0like Mac OS X) AppleWebKit/536.26(KHTML, like Gecko) \
版本/6.0Mobile/10A5355dSafari/8536.25', \
'Mozilla/5.0(Windows NT 6.1) AppleWebKit/537.36(KHTML,像壁虎) \
Chrome/28.0.1468.0Safari/537.36', \
'Mozilla/5.0(兼容;MSIE 9.0;Windows NT 6.0;Trident/5.0;TheWorld)']
defsearch(self, queryStr):
queryStr =urllib2.quote(queryStr)
url='%s'%queryStr
请求=urllib2.请求(url)
index =random.randint(0, 9)
user_agent=user_agents[索引]
request.add_header('User-agent', user_agent)
响应=urllib2.urlopen(请求)
html=response.read()
results=self.extractSearchResults(html)
不要被 user_agents 列表吓到,它实际上是 10 个用户代理字符串。这是为了让我们假装更好。如果您需要更多用户代理,请在此处查看 UserAgentString。
第17-19行表示随机选择一个用户代理字符串,然后通过请求的add_header方法伪装一个用户代理。
通过伪装用户代理,我们可以继续爬取搜索引擎结果。如果这不起作用,那么我建议在每次查询之间随机休眠一段时间。这会影响爬取速度,但是会让你继续爬取爬取结果,如果你有多个IP,爬取速度也会增加。
搜索引擎如何抓取网页(搜索引擎的基本原理怎么行?的工作流程的步骤)
网站优化 • 优采云 发表了文章 • 0 个评论 • 80 次浏览 • 2022-04-18 20:22
搜索引擎营销可以说是最主流的外贸营销推广方式。想让自己的外贸网站获得高排名、高曝光,不了解搜索引擎的基本原理怎么办?
搜索引擎工作流程
搜索引擎的工作流程大致可以分为四个步骤。
爬行和爬行
搜索引擎会发送一个程序来发现网络上的新页面并抓取文件,通常称为蜘蛛。搜索引擎蜘蛛从数据库中的已知网页开始,访问这些页面并像普通用户的浏览器一样抓取文件。并且搜索引擎蜘蛛会跟随网页上的链接并访问更多的网页。这个过程称为爬行。
当通过该链接找到新的 URL 时,蜘蛛会将新的 URL 记录到数据库中,等待其被抓取。跟踪网络链接是搜索引擎蜘蛛发现新 URL 的最基本方式。搜索引擎蜘蛛爬取的页面文件与用户浏览器获取的页面文件完全一致,爬取的文件存储在数据库中。
指数
搜索引擎索引程序对蜘蛛爬取的网页进行分解和分析,并以巨表的形式存储在数据库中。这个过程称为索引。在索引数据库中,相应地记录了网页的文本内容,以及关键词的位置、字体、颜色、粗体、斜体等相关信息。
搜索引擎索引数据库存储海量数据,主流搜索引擎通常存储数十亿网页。
搜索词处理
用户在搜索引擎界面输入关键词,点击“搜索”按钮后,搜索引擎程序会对输入的搜索词进行处理,如中文专用分词、分离和去除词序关键词 停用词,判断是否需要启动综合搜索,判断是否有拼写错误或错别字等。搜索词的处理必须非常快。
种类
处理完搜索词后,搜索引擎排序程序开始工作,从索引数据库中找出所有收录该搜索词的网页,根据排名计算方法计算出哪些网页应该排在第一位,然后返回某种格式的“搜索”页面。
虽然排序过程在一两秒内返回用户想要的搜索结果,但实际上是一个非常复杂的过程。排名算法需要实时从索引数据库中查找所有相关页面,实时计算相关度,并添加过滤算法。它的复杂性是外人无法想象的。搜索引擎是当今最大和最复杂的计算系统之一。
如何提高外贸排名网站
要在搜索引擎上推广,首先要制作一个高质量的网站。从搜索引擎的标准看:一个高质量的网站包括硬件环境、软件环境、搜索引擎标准化、内容质量。
当搜索引擎的蜘蛛识别到一个网站时,它会主动爬取网站的网页。在爬取过程中,蜘蛛不仅会爬取网站的内容,还会爬取内部链结构、爬取速度、服务器响应速度等一系列技术指标。蜘蛛爬取完网页后,数据清洗系统会清洗网页数据。在这个过程中,搜索引擎会对数据的质量和原创进行判断,过滤掉优质内容,采集大量网页技术特征。指数。
搜索引擎对优质内容进行分词并计算相关度,然后将爬取过程中得到的网站技术指标和网页技术指标作为重要指标进行排序(俗称网站@ > 权重、网页权重),搜索引擎会考虑网页的链接关系(包括内部链接和外部链接)作为排名的依据,但外部链接关系的重要性正在逐年下降。同时,谷歌等搜索引擎也会采集用户访问行为来调整搜索引擎结果的排名。例如,如果某个网站经常被访问慢,那么会降低这个网站的权重;点击率(100人搜索某个<
搜索引擎每天都在重复上述过程,通过不断更新索引数据和排序算法,确保用户搜索到有价值的信息。所以外贸网站要想提高排名,最靠谱的办法就是提高网站的质量,给搜索引擎提供优质的内容,还有一些网站作弊通过SEO将始终处于某种算法中。更新过程中发现作弊,导致排名不稳定,甚至网站整体受到惩罚。 查看全部
搜索引擎如何抓取网页(搜索引擎的基本原理怎么行?的工作流程的步骤)
搜索引擎营销可以说是最主流的外贸营销推广方式。想让自己的外贸网站获得高排名、高曝光,不了解搜索引擎的基本原理怎么办?
搜索引擎工作流程
搜索引擎的工作流程大致可以分为四个步骤。
爬行和爬行
搜索引擎会发送一个程序来发现网络上的新页面并抓取文件,通常称为蜘蛛。搜索引擎蜘蛛从数据库中的已知网页开始,访问这些页面并像普通用户的浏览器一样抓取文件。并且搜索引擎蜘蛛会跟随网页上的链接并访问更多的网页。这个过程称为爬行。
当通过该链接找到新的 URL 时,蜘蛛会将新的 URL 记录到数据库中,等待其被抓取。跟踪网络链接是搜索引擎蜘蛛发现新 URL 的最基本方式。搜索引擎蜘蛛爬取的页面文件与用户浏览器获取的页面文件完全一致,爬取的文件存储在数据库中。
指数
搜索引擎索引程序对蜘蛛爬取的网页进行分解和分析,并以巨表的形式存储在数据库中。这个过程称为索引。在索引数据库中,相应地记录了网页的文本内容,以及关键词的位置、字体、颜色、粗体、斜体等相关信息。
搜索引擎索引数据库存储海量数据,主流搜索引擎通常存储数十亿网页。
搜索词处理
用户在搜索引擎界面输入关键词,点击“搜索”按钮后,搜索引擎程序会对输入的搜索词进行处理,如中文专用分词、分离和去除词序关键词 停用词,判断是否需要启动综合搜索,判断是否有拼写错误或错别字等。搜索词的处理必须非常快。
种类
处理完搜索词后,搜索引擎排序程序开始工作,从索引数据库中找出所有收录该搜索词的网页,根据排名计算方法计算出哪些网页应该排在第一位,然后返回某种格式的“搜索”页面。
虽然排序过程在一两秒内返回用户想要的搜索结果,但实际上是一个非常复杂的过程。排名算法需要实时从索引数据库中查找所有相关页面,实时计算相关度,并添加过滤算法。它的复杂性是外人无法想象的。搜索引擎是当今最大和最复杂的计算系统之一。
如何提高外贸排名网站
要在搜索引擎上推广,首先要制作一个高质量的网站。从搜索引擎的标准看:一个高质量的网站包括硬件环境、软件环境、搜索引擎标准化、内容质量。
当搜索引擎的蜘蛛识别到一个网站时,它会主动爬取网站的网页。在爬取过程中,蜘蛛不仅会爬取网站的内容,还会爬取内部链结构、爬取速度、服务器响应速度等一系列技术指标。蜘蛛爬取完网页后,数据清洗系统会清洗网页数据。在这个过程中,搜索引擎会对数据的质量和原创进行判断,过滤掉优质内容,采集大量网页技术特征。指数。
搜索引擎对优质内容进行分词并计算相关度,然后将爬取过程中得到的网站技术指标和网页技术指标作为重要指标进行排序(俗称网站@ > 权重、网页权重),搜索引擎会考虑网页的链接关系(包括内部链接和外部链接)作为排名的依据,但外部链接关系的重要性正在逐年下降。同时,谷歌等搜索引擎也会采集用户访问行为来调整搜索引擎结果的排名。例如,如果某个网站经常被访问慢,那么会降低这个网站的权重;点击率(100人搜索某个<
搜索引擎每天都在重复上述过程,通过不断更新索引数据和排序算法,确保用户搜索到有价值的信息。所以外贸网站要想提高排名,最靠谱的办法就是提高网站的质量,给搜索引擎提供优质的内容,还有一些网站作弊通过SEO将始终处于某种算法中。更新过程中发现作弊,导致排名不稳定,甚至网站整体受到惩罚。
搜索引擎如何抓取网页(聚焦爬虫工作原理及关键技术的工作流程和关键技术概述)
网站优化 • 优采云 发表了文章 • 0 个评论 • 64 次浏览 • 2022-04-17 23:01
1 重点介绍爬虫的工作原理及关键技术概述
网络爬虫是一种自动提取网页的程序。它从互联网上为搜索引擎下载网页,是搜索引擎的重要组成部分。传统爬虫从一个或多个初始网页的URL开始,获取初始网页上的URL。在抓取网页的过程中,它不断地从当前页面中提取新的 URL 并放入队列中,直到满足系统的某些停止条件。焦点爬虫的工作流程比较复杂。它需要按照一定的网页分析算法过滤掉与主题无关的链接,保留有用的链接,并放入等待抓取的URL队列中。然后,它会根据一定的搜索策略从队列中选择下一个要爬取的网页URL,并重复上述过程,直到系统达到一定条件并停止。存储、执行一定的分析、过滤、建立索引,以供后续查询和检索;对于重点爬虫来说,这个过程中得到的分析结果也可以为后续的爬取过程提供反馈和指导。
与一般的网络爬虫相比,聚焦爬虫还需要解决三个主要问题:
(1) 抓取目标的描述或定义;
(2)网页或数据的分析和过滤;
(3) URL 的搜索策略。
爬取目标的描述和定义是决定如何制定网页分析算法和URL搜索策略的基础。网页分析算法和候选URL排序算法是确定搜索引擎提供的服务形式和爬虫爬取行为的关键。这两部分的算法密切相关。
2 抓取目标描述
现有的焦点爬虫对爬取目标的描述可以分为三种类型:基于目标网页的特征、基于目标数据模式和基于领域概念。
爬虫根据目标网页的特征爬取、存储和索引的对象一般为网站或网页。根据种子样品的获取方法,可分为:
(1) 预先给定的初始抓取种子样本;
(2)预先给定的网页类别和类别对应的种子样本,如Yahoo!类别结构等;
(3) 由用户行为决定的抓取目标示例分为:
a) 在用户浏览过程中显示标记的抓取样本;
b) 通过用户日志挖掘获取访问模式和相关样本。
网页特征可以是网页的内容特征,也可以是网页的链接结构特征等。
现有的焦点爬虫对爬取目标的描述或定义可以分为三种类型:基于目标网页的特征、基于目标数据模式和基于领域概念。
爬虫根据目标网页的特征爬取、存储和索引的对象一般为网站或网页。具体方法可以分为:(1)Pre-given初始抓取种子样本;(2)预先给定网页类别和类别对应的种子样本),如Yahoo!分类结构,等;(3)由用户行为决定的爬取目标样本。其中,网页特征可以是网页的内容特征,也可以是网页的链接结构特征等。
基于目标数据模式的爬虫针对网页上的数据,抓取到的数据一般符合一定的模式,或者可以转化或映射成目标数据模式。
另一种描述方式是构建目标域的本体或字典,用于从语义角度分析主题中不同特征的重要性。
3 网络搜索策略
网页抓取策略可以分为三种类型:深度优先、广度优先和最佳优先。深度优先在很多情况下会导致爬虫被困的问题。目前,广度优先和最佳优先方法很常见。
3.1 广度优先搜索策略
广度优先搜索策略是指在爬取过程中,完成当前一级搜索后,再进行下一级搜索。该算法的设计和实现比较简单。目前,为了覆盖尽可能多的网页,一般采用广度优先搜索方式。也有许多研究将广度优先搜索策略应用于聚焦爬虫。其基本思想是距初始 URL 一定链接距离内的网页具有较高的主题相关性概率。另一种方法是将广度优先搜索与网页过滤技术相结合,首先使用广度优先策略抓取网页,然后过滤掉不相关的页面。这些方法的缺点是随着爬取的网页数量的增加,大量无关的网页会被下载过滤,算法效率会变低。
3.2 最优优先级搜索策略
最佳优先级搜索策略是根据一定的网页分析算法预测候选URL与目标网页的相似度,或与主题的相关度,选择评价最好的一个或几个URL进行爬取。它只访问页面分析算法预测为“有用”的页面。一个问题是爬虫爬取路径上的许多相关网页可能会被忽略,因为最佳优先策略是局部最优搜索算法。因此,需要将最佳优先级与具体应用结合起来进行改进,从而跳出局部最优点。在第 4 节中,将结合网页分析算法进行详细讨论。研究表明,这样的闭环调整可以将不相关页面的数量减少 30% 到 90%。
4 网页分析算法
网页分析算法可以分为三类:基于网络拓扑、基于网页内容和基于用户访问行为。
4.1 基于网络拓扑的分析算法
基于网页之间的链接,通过已知的网页或数据,评估与其有直接或间接链接关系的对象(可以是网页或网站等)的算法。进一步分为三种:网页粒度、网站粒度和网页块粒度。
4.1.1 网页粒度分析算法
PageRank 和 HITS 算法是最常见的链接分析算法。两者都是通过网页间链接度的递归归一化计算得到每个网页的重要性。PageRank算法虽然考虑了用户访问行为的随机性和Sink网页的存在性,但忽略了大部分用户访问的目的性,即网页和查询主题链接的相关性。针对这个问题,HITS算法提出了两个关键概念:权威网页(authority)和中心网页(hub)。
基于链接的爬取问题是相关页面的主题组之间存在隧道现象,即爬取路径上很多偏离主题的页面也指向目标页面,局部评价策略中断了爬取行为当前路径。参考文献[21]提出了一种基于反向链接(BackLink)的层次上下文模型(Context Model),用于将目标网页一定物理跳半径内的网页拓扑图的中心Layer 0描述为目标网页。网页根据指向目标网页的物理跳数进行层次划分,外层网页到内层网页的链接称为反向链接。
4.1.2 网站粒度分析算法
网站粒度资源发现和管理策略也比网页粒度更简单有效。网站粒度爬取的关键是站点的划分和SiteRank的计算。SiteRank的计算方法与PageRank类似,但需要对网站之间的链接进行一定程度的抽象,并在一定模型下计算链接的权重。
网站划分分为两种:按域名划分和按IP地址划分。参考文献[18]讨论了分布式情况下,通过划分同一域名下不同主机和服务器的IP地址,构建站点地图,并采用类似于PageRank的方法评估SiteRank。同时,根据每个站点不同文件的分布情况,构建文档图,结合SiteRank分布式计算得到DocRank。参考文献[18]证明,使用分布式SiteRank计算不仅大大降低了单个站点的算法成本,而且克服了单个站点对全网覆盖范围有限的缺点。一个额外的好处是,常见的 PageRank 欺诈很难欺骗 SiteRank。
4.1.3 网页块粒度分析算法
一个页面往往收录多个指向其他页面的链接,而这些链接中只有一部分指向与主题相关的网页,或者根据网页的链接锚文本表明其重要性高。但是在PageRank和HITS算法中,这些链接是没有区分的,所以往往会给网页分析带来广告等噪声链接的干扰。块级链接分析算法的基本思想是通过VIPS网页切分算法将网页分成不同的页面块,然后为这些网页块创建page-to-block和block-block。to-page的链接矩阵分别表示为Z和X。因此,page-to-page图上的page block level的PageRank为Wp=X×Z; 在块到块图上的 BlockRank 是 Wb=Z×X。有人实现了块级PageRank和HITS算法,实验证明效率和准确率优于传统的对应算法。
4.2 基于网页内容的网页分析算法
基于网页内容的分析算法是指利用网页内容的特征(文本、数据等资源)对网页进行评价。网页内容已经从基于超文本的内容演变为动态页面(或称为隐藏网页)数据,后者的数据量约为直接可见页面数据(PIW,Publicly Indexable Web)的400~500%。次。另一方面,多媒体数据、Web Service等各种形式的网络资源日益丰富。因此,基于网页内容的分析算法也从最初的相对简单的文本检索方法发展到网页数据提取、机器学习、数据挖掘、语义理解等多种方法的综合应用。本节根据网页数据的不同形式,基于网页内容的分析算法分为以下三类:第一类是针对以文本和超链接为主的非结构化或非常简单的网页;二是对于结构化和数据源(如RDBMS)动态生成的页面,不能直接批量访问数据;第三类数据介于第一类和第二类数据之间,结构更好,表明它遵循一定的模式或风格。并且可以直接访问。 数据不能直接批量访问;第三类数据介于第一类和第二类数据之间,结构更好,表明它遵循一定的模式或风格。并且可以直接访问。 数据不能直接批量访问;第三类数据介于第一类和第二类数据之间,结构更好,表明它遵循一定的模式或风格。并且可以直接访问。 查看全部
搜索引擎如何抓取网页(聚焦爬虫工作原理及关键技术的工作流程和关键技术概述)
1 重点介绍爬虫的工作原理及关键技术概述
网络爬虫是一种自动提取网页的程序。它从互联网上为搜索引擎下载网页,是搜索引擎的重要组成部分。传统爬虫从一个或多个初始网页的URL开始,获取初始网页上的URL。在抓取网页的过程中,它不断地从当前页面中提取新的 URL 并放入队列中,直到满足系统的某些停止条件。焦点爬虫的工作流程比较复杂。它需要按照一定的网页分析算法过滤掉与主题无关的链接,保留有用的链接,并放入等待抓取的URL队列中。然后,它会根据一定的搜索策略从队列中选择下一个要爬取的网页URL,并重复上述过程,直到系统达到一定条件并停止。存储、执行一定的分析、过滤、建立索引,以供后续查询和检索;对于重点爬虫来说,这个过程中得到的分析结果也可以为后续的爬取过程提供反馈和指导。
与一般的网络爬虫相比,聚焦爬虫还需要解决三个主要问题:
(1) 抓取目标的描述或定义;
(2)网页或数据的分析和过滤;
(3) URL 的搜索策略。
爬取目标的描述和定义是决定如何制定网页分析算法和URL搜索策略的基础。网页分析算法和候选URL排序算法是确定搜索引擎提供的服务形式和爬虫爬取行为的关键。这两部分的算法密切相关。
2 抓取目标描述
现有的焦点爬虫对爬取目标的描述可以分为三种类型:基于目标网页的特征、基于目标数据模式和基于领域概念。
爬虫根据目标网页的特征爬取、存储和索引的对象一般为网站或网页。根据种子样品的获取方法,可分为:
(1) 预先给定的初始抓取种子样本;
(2)预先给定的网页类别和类别对应的种子样本,如Yahoo!类别结构等;
(3) 由用户行为决定的抓取目标示例分为:
a) 在用户浏览过程中显示标记的抓取样本;
b) 通过用户日志挖掘获取访问模式和相关样本。
网页特征可以是网页的内容特征,也可以是网页的链接结构特征等。
现有的焦点爬虫对爬取目标的描述或定义可以分为三种类型:基于目标网页的特征、基于目标数据模式和基于领域概念。
爬虫根据目标网页的特征爬取、存储和索引的对象一般为网站或网页。具体方法可以分为:(1)Pre-given初始抓取种子样本;(2)预先给定网页类别和类别对应的种子样本),如Yahoo!分类结构,等;(3)由用户行为决定的爬取目标样本。其中,网页特征可以是网页的内容特征,也可以是网页的链接结构特征等。
基于目标数据模式的爬虫针对网页上的数据,抓取到的数据一般符合一定的模式,或者可以转化或映射成目标数据模式。
另一种描述方式是构建目标域的本体或字典,用于从语义角度分析主题中不同特征的重要性。
3 网络搜索策略
网页抓取策略可以分为三种类型:深度优先、广度优先和最佳优先。深度优先在很多情况下会导致爬虫被困的问题。目前,广度优先和最佳优先方法很常见。
3.1 广度优先搜索策略
广度优先搜索策略是指在爬取过程中,完成当前一级搜索后,再进行下一级搜索。该算法的设计和实现比较简单。目前,为了覆盖尽可能多的网页,一般采用广度优先搜索方式。也有许多研究将广度优先搜索策略应用于聚焦爬虫。其基本思想是距初始 URL 一定链接距离内的网页具有较高的主题相关性概率。另一种方法是将广度优先搜索与网页过滤技术相结合,首先使用广度优先策略抓取网页,然后过滤掉不相关的页面。这些方法的缺点是随着爬取的网页数量的增加,大量无关的网页会被下载过滤,算法效率会变低。
3.2 最优优先级搜索策略
最佳优先级搜索策略是根据一定的网页分析算法预测候选URL与目标网页的相似度,或与主题的相关度,选择评价最好的一个或几个URL进行爬取。它只访问页面分析算法预测为“有用”的页面。一个问题是爬虫爬取路径上的许多相关网页可能会被忽略,因为最佳优先策略是局部最优搜索算法。因此,需要将最佳优先级与具体应用结合起来进行改进,从而跳出局部最优点。在第 4 节中,将结合网页分析算法进行详细讨论。研究表明,这样的闭环调整可以将不相关页面的数量减少 30% 到 90%。
4 网页分析算法
网页分析算法可以分为三类:基于网络拓扑、基于网页内容和基于用户访问行为。
4.1 基于网络拓扑的分析算法
基于网页之间的链接,通过已知的网页或数据,评估与其有直接或间接链接关系的对象(可以是网页或网站等)的算法。进一步分为三种:网页粒度、网站粒度和网页块粒度。
4.1.1 网页粒度分析算法
PageRank 和 HITS 算法是最常见的链接分析算法。两者都是通过网页间链接度的递归归一化计算得到每个网页的重要性。PageRank算法虽然考虑了用户访问行为的随机性和Sink网页的存在性,但忽略了大部分用户访问的目的性,即网页和查询主题链接的相关性。针对这个问题,HITS算法提出了两个关键概念:权威网页(authority)和中心网页(hub)。
基于链接的爬取问题是相关页面的主题组之间存在隧道现象,即爬取路径上很多偏离主题的页面也指向目标页面,局部评价策略中断了爬取行为当前路径。参考文献[21]提出了一种基于反向链接(BackLink)的层次上下文模型(Context Model),用于将目标网页一定物理跳半径内的网页拓扑图的中心Layer 0描述为目标网页。网页根据指向目标网页的物理跳数进行层次划分,外层网页到内层网页的链接称为反向链接。
4.1.2 网站粒度分析算法
网站粒度资源发现和管理策略也比网页粒度更简单有效。网站粒度爬取的关键是站点的划分和SiteRank的计算。SiteRank的计算方法与PageRank类似,但需要对网站之间的链接进行一定程度的抽象,并在一定模型下计算链接的权重。
网站划分分为两种:按域名划分和按IP地址划分。参考文献[18]讨论了分布式情况下,通过划分同一域名下不同主机和服务器的IP地址,构建站点地图,并采用类似于PageRank的方法评估SiteRank。同时,根据每个站点不同文件的分布情况,构建文档图,结合SiteRank分布式计算得到DocRank。参考文献[18]证明,使用分布式SiteRank计算不仅大大降低了单个站点的算法成本,而且克服了单个站点对全网覆盖范围有限的缺点。一个额外的好处是,常见的 PageRank 欺诈很难欺骗 SiteRank。
4.1.3 网页块粒度分析算法
一个页面往往收录多个指向其他页面的链接,而这些链接中只有一部分指向与主题相关的网页,或者根据网页的链接锚文本表明其重要性高。但是在PageRank和HITS算法中,这些链接是没有区分的,所以往往会给网页分析带来广告等噪声链接的干扰。块级链接分析算法的基本思想是通过VIPS网页切分算法将网页分成不同的页面块,然后为这些网页块创建page-to-block和block-block。to-page的链接矩阵分别表示为Z和X。因此,page-to-page图上的page block level的PageRank为Wp=X×Z; 在块到块图上的 BlockRank 是 Wb=Z×X。有人实现了块级PageRank和HITS算法,实验证明效率和准确率优于传统的对应算法。
4.2 基于网页内容的网页分析算法
基于网页内容的分析算法是指利用网页内容的特征(文本、数据等资源)对网页进行评价。网页内容已经从基于超文本的内容演变为动态页面(或称为隐藏网页)数据,后者的数据量约为直接可见页面数据(PIW,Publicly Indexable Web)的400~500%。次。另一方面,多媒体数据、Web Service等各种形式的网络资源日益丰富。因此,基于网页内容的分析算法也从最初的相对简单的文本检索方法发展到网页数据提取、机器学习、数据挖掘、语义理解等多种方法的综合应用。本节根据网页数据的不同形式,基于网页内容的分析算法分为以下三类:第一类是针对以文本和超链接为主的非结构化或非常简单的网页;二是对于结构化和数据源(如RDBMS)动态生成的页面,不能直接批量访问数据;第三类数据介于第一类和第二类数据之间,结构更好,表明它遵循一定的模式或风格。并且可以直接访问。 数据不能直接批量访问;第三类数据介于第一类和第二类数据之间,结构更好,表明它遵循一定的模式或风格。并且可以直接访问。 数据不能直接批量访问;第三类数据介于第一类和第二类数据之间,结构更好,表明它遵循一定的模式或风格。并且可以直接访问。
搜索引擎如何抓取网页(搜索引擎处理的主要对象是宽度()优先,兼顾深度的遍历策略)
网站优化 • 优采云 发表了文章 • 0 个评论 • 111 次浏览 • 2022-04-17 22:55
搜索引擎处理的主要对象是海量网页。一方面是为了节省带宽、计算和存储资源,另一方面是利用有限的资源抓取最有价值的网页,满足用户搜索需求。在处理海量网页时会有一定的策略。本文简要介绍了宽度(breadth)优先等主流网络爬取策略,兼顾深度遍历策略、非重复爬取策略、大站点优先级策略、不完全PageRank策略、OCIP策略、合作爬取策略。
1、宽度(宽度)优先,考虑到遍历策略的深度;
① 使用广度优先的理由:
重要的网页通常更靠近 torrent 网站;万维网的深度并没有我们想象的那么深,但是却出乎意料的宽广(中国万维网的直径只有17,也就是说任意两个页面之间点击17次就可以访问)。到达);
宽度优先有利于多爬虫协同爬行;
② 广度优先的存在会带来不良后果:
容易导致爬虫陷入死循环,不该抓取的重复抓取;
没有机会去抢该抢的;
③ 解决以上两个缺点的方法是深度抓取策略(Depth-First Trsversal)和非重复抓取策略
④ 为了防止爬虫以无限广度优先爬行,必须限制在一定深度。达到这个深度后,爬行停止。这个深度就是万维网的直径。当爬取在最大深度处停止时,总是希望从其他洪流站点更经济地访问太深的未爬取页面。限制抓取深度打破了无限循环的条件,即使发生有限次数后也会停止。
⑤ 评价:
宽度(breadth)优先,考虑到遍历策略的深度,可以有效保证爬取过程的封闭性,即在爬取过程中(遍历路径)始终爬取同域名下的网页,很少出现在其他域名网页。
2、不重复爬取策略
只需对改动较小的网页进行一次抓取,避免重复抓取占用大量CPU和带宽资源,从而在有限的资源区域内抓取更重要、质量更高的网页。
3、激光站点优先
通常大尺度的网站都是高质量的内容,网页的质量一般都比较高。以网站为单位衡量网页的重要性有一定的依据。对于URL队列中待爬取的网页,根据等待下载的页面数确定下载优先级。
4、部分PageRank
对于下载的网页(不完整的互联网页面的子集),与待爬取的URL队列中的URL一起形成一个网页集合,并在该集合中进行PageRank计算;URL队列中的网页按照PageRank分数从高到低排序,形成的序列就是爬虫接下来应该爬取的URL列表。
由于PageRank是全局算法,即当所有网页都下载完毕后,计算结果是可靠的,但爬虫在爬取过程中只能接触到部分网页,因此在爬取页面时并不可靠。PageRank 是计算出来的,所以称为不完全 PageRank 策略。
5、OCIP策略(在线页面重要性计算)
OCIP字面意思是“在线页面重要性计算”,是一种改进的PageRank算法。在算法开始之前,每个 Internet 页面都被分配了相同的值。每当下载某个页面 P 时,P 将其拥有的值平均分配给该页面中收录的链接,同时清除自己的值。对于URL队列中待爬取的网页,按照手头的值排序,先下载值较大的网页。
6、合作抓取策略(抓取加速策略)
增加爬虫数量可以提高整体的爬取速度,但是工作量需要划分到不同的网络爬虫中,保证分工明确,防止多个爬虫爬取同一个页面,浪费资源。
① 通过网页主机的IP地址进行分解,使得爬虫只爬取某个地址段的网页
对于中小型网站,出于经济原因,通常在一台服务器上提供不同的Web服务,使多个域名对应一个IP段;但大型网站如新浪、搜狐@>通常采用负载均衡的IP组技术,同一个域名对应多个IP地址。所以这种方式不方便
② 通过网页的域名进行分解,使得爬虫只抓取某个域名段的网页
将不同的域名分配给不同的爬虫进行爬取,一个爬虫只爬取一组固定域名下的网页;这确保了大型 网站 网页不会被重复爬取,即使是中小型 网站 爬取分配任务的可接受策略。因此,为了攻占大网站,遵循域名分解的策略更为合理。
内容教条,主要用来梳理常识用法。
这位先生致力于探索网络上的重大趣事,分享干货,偶尔抱怨,偶尔开车,调侃你的三观,透支你的诚信,请谨慎关注。 查看全部
搜索引擎如何抓取网页(搜索引擎处理的主要对象是宽度()优先,兼顾深度的遍历策略)
搜索引擎处理的主要对象是海量网页。一方面是为了节省带宽、计算和存储资源,另一方面是利用有限的资源抓取最有价值的网页,满足用户搜索需求。在处理海量网页时会有一定的策略。本文简要介绍了宽度(breadth)优先等主流网络爬取策略,兼顾深度遍历策略、非重复爬取策略、大站点优先级策略、不完全PageRank策略、OCIP策略、合作爬取策略。
1、宽度(宽度)优先,考虑到遍历策略的深度;
① 使用广度优先的理由:
重要的网页通常更靠近 torrent 网站;万维网的深度并没有我们想象的那么深,但是却出乎意料的宽广(中国万维网的直径只有17,也就是说任意两个页面之间点击17次就可以访问)。到达);
宽度优先有利于多爬虫协同爬行;
② 广度优先的存在会带来不良后果:
容易导致爬虫陷入死循环,不该抓取的重复抓取;
没有机会去抢该抢的;
③ 解决以上两个缺点的方法是深度抓取策略(Depth-First Trsversal)和非重复抓取策略
④ 为了防止爬虫以无限广度优先爬行,必须限制在一定深度。达到这个深度后,爬行停止。这个深度就是万维网的直径。当爬取在最大深度处停止时,总是希望从其他洪流站点更经济地访问太深的未爬取页面。限制抓取深度打破了无限循环的条件,即使发生有限次数后也会停止。
⑤ 评价:
宽度(breadth)优先,考虑到遍历策略的深度,可以有效保证爬取过程的封闭性,即在爬取过程中(遍历路径)始终爬取同域名下的网页,很少出现在其他域名网页。
2、不重复爬取策略
只需对改动较小的网页进行一次抓取,避免重复抓取占用大量CPU和带宽资源,从而在有限的资源区域内抓取更重要、质量更高的网页。
3、激光站点优先
通常大尺度的网站都是高质量的内容,网页的质量一般都比较高。以网站为单位衡量网页的重要性有一定的依据。对于URL队列中待爬取的网页,根据等待下载的页面数确定下载优先级。
4、部分PageRank
对于下载的网页(不完整的互联网页面的子集),与待爬取的URL队列中的URL一起形成一个网页集合,并在该集合中进行PageRank计算;URL队列中的网页按照PageRank分数从高到低排序,形成的序列就是爬虫接下来应该爬取的URL列表。
由于PageRank是全局算法,即当所有网页都下载完毕后,计算结果是可靠的,但爬虫在爬取过程中只能接触到部分网页,因此在爬取页面时并不可靠。PageRank 是计算出来的,所以称为不完全 PageRank 策略。
5、OCIP策略(在线页面重要性计算)
OCIP字面意思是“在线页面重要性计算”,是一种改进的PageRank算法。在算法开始之前,每个 Internet 页面都被分配了相同的值。每当下载某个页面 P 时,P 将其拥有的值平均分配给该页面中收录的链接,同时清除自己的值。对于URL队列中待爬取的网页,按照手头的值排序,先下载值较大的网页。
6、合作抓取策略(抓取加速策略)
增加爬虫数量可以提高整体的爬取速度,但是工作量需要划分到不同的网络爬虫中,保证分工明确,防止多个爬虫爬取同一个页面,浪费资源。
① 通过网页主机的IP地址进行分解,使得爬虫只爬取某个地址段的网页
对于中小型网站,出于经济原因,通常在一台服务器上提供不同的Web服务,使多个域名对应一个IP段;但大型网站如新浪、搜狐@>通常采用负载均衡的IP组技术,同一个域名对应多个IP地址。所以这种方式不方便
② 通过网页的域名进行分解,使得爬虫只抓取某个域名段的网页
将不同的域名分配给不同的爬虫进行爬取,一个爬虫只爬取一组固定域名下的网页;这确保了大型 网站 网页不会被重复爬取,即使是中小型 网站 爬取分配任务的可接受策略。因此,为了攻占大网站,遵循域名分解的策略更为合理。
内容教条,主要用来梳理常识用法。
这位先生致力于探索网络上的重大趣事,分享干货,偶尔抱怨,偶尔开车,调侃你的三观,透支你的诚信,请谨慎关注。
搜索引擎如何抓取网页(如何提高搜索引擎抓取频率和SEO三大技巧吸引搜索引擎新发展)
网站优化 • 优采云 发表了文章 • 0 个评论 • 95 次浏览 • 2022-04-14 22:23
作为网站优化的业内人士,在研究优化的时候,我们会根据当前的情况进行适当的改动,主要目的是为了排名。但是,您还应该注意搜索引擎抓取 网站文章 的频率。那么如何提高搜索引擎的抓取频率呢?这是很多朋友都想深入学习的。
然后我将与大家分享吸引搜索引擎新发展的三大SEO技巧,让您进一步了解这些信息。下面小编将为大家详细介绍如何提高搜索引擎爬取的频率以及吸引搜索引擎新发展的三大SEO技巧。
一、如何提高搜索引擎爬取的频率
在工作过程中,很多seoer希望搜索引擎能够快速爬取自己的网页,但是对于很多公司来说,网站已经建了半年多了,但是收录@还是很少的>。
对于网站,光做表面的努力是不够的,还需要做好工作的基础操作,比如网站404页面创建等,告诉搜索引擎蜘蛛什么有死链接,
为防止搜索引擎陷入死链接陷阱,让搜索引擎更容易抓取网站页面,如何提高搜索引擎的抓取频率?我会给你一些seo技巧。
1、网站内容更新
搜索引擎只抓取单个页面的内容,而不是所有页面,这也是搜索引擎更新网页快照所需时间更短的原因。例如,对于频繁更新的页面,快照也会被频繁爬取。
这样可以及时发现新的内容和链接,删除不存在的信息。因此,站长必须长期坚持更新网页,这样搜索引擎爬虫才能稳定爬取。
2、网站框架设计
网站的内部框架的设计需要从多方面进行。其中,代码需要尽量简洁明了。过多的代码很容易导致页面过大,影响网络爬虫的爬取速度。
在爬取网站的同时,网页flash图片要尽量少。flash 格式的内容会影响蜘蛛爬行。对于新的网站@网站的页面很容易被爬取,
设计中锚文本要合理分布,不能全部关键词,适当添加一些长尾词链接。内部链接设计也应该是通畅的,以方便权重的传递。
3、网站导航设计
网站面包屑导航是网站很多公司在设计时忽略的地方。导航是蜘蛛爬行的关键。如果网站导航不清晰,那么搜索引擎在抓取的时候很容易迷路,所以必须合理设计导航。
顺便说一下,这里提到了锚文本构造。站点上的锚文本有助于网络爬虫发现和爬取站点上的更多网页。但是,如果锚文本过多,容易被认为是刻意调整,设计时要把握锚文本的数量。
4、稳定的更新频率
除了首页的设计,网站还有其他页面。爬虫在爬取时不会索引 网站 上的所有页面,并且可能会爬取足够多的页面以在找到重要页面之前离开。
因此,需要保持一定的更新频率。可以轻松爬取频繁更新的页面,因此可以自动爬取大量页面。同时,要注意网站关卡的设计,不能太多,否则不利于网站抓取。
除了以上几点,企业在构建网站时,必须从一开始就打好基础,搭建有利于搜索引擎爬取的框架结构。
后期稳定网站更新,专注优质内容,打造优质内容,让即使是新站也能在短时间内提升自己的排名和收录@>。
二、SEO优化的三大要点
很多人不知道企业为什么要做SEO优化。企业网站的最终目的是完成流量转化,从而达到直销或品牌建设的目的。
虽然有很多方法可以促进网络营销,但没有一个能像SEO优化那样有吸引力。
1、网页内容体验的评价指标——浏览体验分析。
根据网页质量的不同,搜索引擎对网页的评价也大相径庭。就百度搜索引擎而言,部分网页广告较多,网页存在诸多安全隐患。
例如,当携带木马病毒时,搜索引擎是无情的。目前,百度搜索引擎主要从内容布局、广告影响力、访问速度等几个方面来判断网页内容的质量。
内容布局是网页最基本的元素,主要体现在文字大小一致、段落层次、段落对齐等方面。广告的影响主要体现在一些网站的弹窗和自带广告是否影响用户的阅读行为。
访问速度主要是指网站空间服务器的访问速度,让用户停留时间不要超过5秒,否则用户很可能会离开我们的网站。
2、网页内容新鲜度评价——网页信息有效性分析。
自互联网发展以来,信息充斥着整个网络,但现在无论是搜索引擎还是用户都对信息的有效性非常敏感。
无论是企业网站还是信息网站,信息的有效性都是我们网站内容吸引用户的法宝。
都可以作为网页内容的来源素材,而这些信息资源也是搜索引擎分析和检验我们网站内容新鲜度的一个非常重要的指标。
3、百度搜索引擎评价网站-内容质量的基本指标。
我们知道百度搜索引擎在考虑网站文章的时候有很多细节因素,下面的细节一定要做得足够,首先是成本因素,成本就是内容生产能量的付出和投入,
这很容易理解。文章或本人原创或本人原创抄袭并配图说明的文章成本价值不言而喻,内容完整。诚信主要体现在,
一篇文章文章能否流利地表达文章的主题,清晰明了;信息的真实性和有效性是指文章中的信息是随意创作的,还是自己写的,还是用心写的。专业性非常突出。
以上就是SEO优化吸引搜索引擎的三种技巧。另外,我们应该非常清楚自己要优化的搜索引擎的偏好。作为中国最大的搜索引擎百度,
它是中国用户数量最多的搜索引擎。那么,在优化的过程中,除了尽力而为之外,还需要了解搜索引擎和百度。
温馨提示:以上是关于【提高搜索引擎爬取频率技巧SEO优化和吸引力三点】的相关内容介绍,希望对您有所帮助。更多相关知识内容,请关注优搜云后续更新!
编者按:本文由优搜云编辑发布。如需咨询相关合作服务,请扫码加微信。添加微信好友后,有好礼!
【无干货,无分享】欢迎在微信公众号搜索【有素课堂】,关注有素云微课堂,第一时间开放内部SEO、建站、营销干货。赠品:每天关注的前10名用户将获得干货大礼包! 查看全部
搜索引擎如何抓取网页(如何提高搜索引擎抓取频率和SEO三大技巧吸引搜索引擎新发展)
作为网站优化的业内人士,在研究优化的时候,我们会根据当前的情况进行适当的改动,主要目的是为了排名。但是,您还应该注意搜索引擎抓取 网站文章 的频率。那么如何提高搜索引擎的抓取频率呢?这是很多朋友都想深入学习的。

然后我将与大家分享吸引搜索引擎新发展的三大SEO技巧,让您进一步了解这些信息。下面小编将为大家详细介绍如何提高搜索引擎爬取的频率以及吸引搜索引擎新发展的三大SEO技巧。
一、如何提高搜索引擎爬取的频率
在工作过程中,很多seoer希望搜索引擎能够快速爬取自己的网页,但是对于很多公司来说,网站已经建了半年多了,但是收录@还是很少的>。
对于网站,光做表面的努力是不够的,还需要做好工作的基础操作,比如网站404页面创建等,告诉搜索引擎蜘蛛什么有死链接,
为防止搜索引擎陷入死链接陷阱,让搜索引擎更容易抓取网站页面,如何提高搜索引擎的抓取频率?我会给你一些seo技巧。
1、网站内容更新
搜索引擎只抓取单个页面的内容,而不是所有页面,这也是搜索引擎更新网页快照所需时间更短的原因。例如,对于频繁更新的页面,快照也会被频繁爬取。
这样可以及时发现新的内容和链接,删除不存在的信息。因此,站长必须长期坚持更新网页,这样搜索引擎爬虫才能稳定爬取。
2、网站框架设计
网站的内部框架的设计需要从多方面进行。其中,代码需要尽量简洁明了。过多的代码很容易导致页面过大,影响网络爬虫的爬取速度。
在爬取网站的同时,网页flash图片要尽量少。flash 格式的内容会影响蜘蛛爬行。对于新的网站@网站的页面很容易被爬取,
设计中锚文本要合理分布,不能全部关键词,适当添加一些长尾词链接。内部链接设计也应该是通畅的,以方便权重的传递。
3、网站导航设计
网站面包屑导航是网站很多公司在设计时忽略的地方。导航是蜘蛛爬行的关键。如果网站导航不清晰,那么搜索引擎在抓取的时候很容易迷路,所以必须合理设计导航。
顺便说一下,这里提到了锚文本构造。站点上的锚文本有助于网络爬虫发现和爬取站点上的更多网页。但是,如果锚文本过多,容易被认为是刻意调整,设计时要把握锚文本的数量。
4、稳定的更新频率
除了首页的设计,网站还有其他页面。爬虫在爬取时不会索引 网站 上的所有页面,并且可能会爬取足够多的页面以在找到重要页面之前离开。
因此,需要保持一定的更新频率。可以轻松爬取频繁更新的页面,因此可以自动爬取大量页面。同时,要注意网站关卡的设计,不能太多,否则不利于网站抓取。
除了以上几点,企业在构建网站时,必须从一开始就打好基础,搭建有利于搜索引擎爬取的框架结构。
后期稳定网站更新,专注优质内容,打造优质内容,让即使是新站也能在短时间内提升自己的排名和收录@>。
二、SEO优化的三大要点
很多人不知道企业为什么要做SEO优化。企业网站的最终目的是完成流量转化,从而达到直销或品牌建设的目的。
虽然有很多方法可以促进网络营销,但没有一个能像SEO优化那样有吸引力。
1、网页内容体验的评价指标——浏览体验分析。
根据网页质量的不同,搜索引擎对网页的评价也大相径庭。就百度搜索引擎而言,部分网页广告较多,网页存在诸多安全隐患。
例如,当携带木马病毒时,搜索引擎是无情的。目前,百度搜索引擎主要从内容布局、广告影响力、访问速度等几个方面来判断网页内容的质量。
内容布局是网页最基本的元素,主要体现在文字大小一致、段落层次、段落对齐等方面。广告的影响主要体现在一些网站的弹窗和自带广告是否影响用户的阅读行为。
访问速度主要是指网站空间服务器的访问速度,让用户停留时间不要超过5秒,否则用户很可能会离开我们的网站。
2、网页内容新鲜度评价——网页信息有效性分析。
自互联网发展以来,信息充斥着整个网络,但现在无论是搜索引擎还是用户都对信息的有效性非常敏感。
无论是企业网站还是信息网站,信息的有效性都是我们网站内容吸引用户的法宝。
都可以作为网页内容的来源素材,而这些信息资源也是搜索引擎分析和检验我们网站内容新鲜度的一个非常重要的指标。
3、百度搜索引擎评价网站-内容质量的基本指标。
我们知道百度搜索引擎在考虑网站文章的时候有很多细节因素,下面的细节一定要做得足够,首先是成本因素,成本就是内容生产能量的付出和投入,
这很容易理解。文章或本人原创或本人原创抄袭并配图说明的文章成本价值不言而喻,内容完整。诚信主要体现在,
一篇文章文章能否流利地表达文章的主题,清晰明了;信息的真实性和有效性是指文章中的信息是随意创作的,还是自己写的,还是用心写的。专业性非常突出。
以上就是SEO优化吸引搜索引擎的三种技巧。另外,我们应该非常清楚自己要优化的搜索引擎的偏好。作为中国最大的搜索引擎百度,
它是中国用户数量最多的搜索引擎。那么,在优化的过程中,除了尽力而为之外,还需要了解搜索引擎和百度。
温馨提示:以上是关于【提高搜索引擎爬取频率技巧SEO优化和吸引力三点】的相关内容介绍,希望对您有所帮助。更多相关知识内容,请关注优搜云后续更新!
编者按:本文由优搜云编辑发布。如需咨询相关合作服务,请扫码加微信。添加微信好友后,有好礼!

【无干货,无分享】欢迎在微信公众号搜索【有素课堂】,关注有素云微课堂,第一时间开放内部SEO、建站、营销干货。赠品:每天关注的前10名用户将获得干货大礼包!
搜索引擎如何抓取网页(本文简单的分析了爬虫抓取网页的一些与大家同享)
网站优化 • 优采云 发表了文章 • 0 个评论 • 113 次浏览 • 2022-04-14 22:19
本文简要分析了爬取网页的一些基本原理,供爬虫分享给大家。基本可以了解网页的几个排名因素:链接建设和网页布局。多多体会,写不好别骂。谢谢!
爬虫的工作原理包括爬取、策略和存储。爬行是爬虫的基本劳动过程,策略是爬虫的智能中心,存储是爬虫劳动的结果。
1:从种子网站开始爬取
基于万维网的蝴蝶形结构和非线性的网络组织结构,会出现爬取顺序的问题,而这种爬取顺序的策略必须保证尽可能多的爬取所有网页。
一般来说,爬行者选择在蝴蝶形状左侧的结构上爬行作为爬行的起点。典型的门户网站主页网站 和 ,每次爬取网页后分析URL。链接是指向其他网页的 URL,可引导爬虫抓取其他网页。(基于此,我们可以初步了解引擎从左到右,从上到下抓取的原因)
a:深度优先遍历
深度优先遍历策略类似于家族继承策略。典型的例子是封建皇帝的继承,通常是长子。如果长子死了,长孙的优先权要高于次子的优先权(这点要仔细分析考虑),如果长子和长孙都去世了,那么次子继承。这种继承中的优先级关系也称为深度优先策略。(从这点我们就可以理解蜘蛛爬列页面的顺序了)
b:广度优先遍历
广度优先也称为广度优先或水平优先。例如,当我们为祖父母、父亲和同龄人提供茶水时,我们首先给最年长的祖父,然后是父母,最后是同龄人。这个策略也被采纳了。使用基于有限宽度的策略有三个主要原因:
1>首页的重要网页往往离种子更近。例如,当我们打开新闻站时,往往是最热门的新闻。随着浏览的不断深入,PV值越来越高,我们看到的网页的重要性越来越低。
2>万维网的实际深度最高可达17层,到某个网页的路径很深,但总有一条很短的路径。
3>广度优先有利于多爬虫的协同爬取(Mozk是基于前人的数据分析和IIS日志分析,暂且,如有不同意见,欢迎讨论交流),合作的多爬虫一般先在站内抢连接,遇到站内。然后外连接开始抓取,抓取非常封闭。
附:链接的优化避免了爬取链接的死循环,也避免了要爬取的资源没有爬取,大量的资源被浪费在无用的工作上。(如何建立合理的内链可以参考小站)。
2:网页抓取优先策略
网页的爬取优先策略也称为“页面选择问题”,通常对重要的网页进行爬取,以保证有限的资源(爬虫、服务器负载)尽可能地照顾到高度重要的网页。点应该很好理解。
那么哪些页面是重要页面呢?
判断网页重要性的因素很多,主要包括链接流行度(知道链接的重要性)、链接重要性和平均深度链接、网站质量、历史权重等主要因素。
链接的受欢迎程度主要取决于反向链接的数量和质量,我们将其定义为 IB(P)。
链接的重要性是 URL 字符串的函数。它只检查字符串本身。例如,“.com”和“home”的URL重要性被认为高于“.cc”和“map”(这是一个例子,不是绝对值)。,就像我们平时默认首页索引一样。**,你也可以定义其他名字,排名是综合因素,com的排名不一定好,只是一个小因素),我们定义为IL( )
平均链接深度,我个人看到的,根据上面首先分析的广度原理计算出整个站点的平均链接深度,然后认为离种子站点越近,重要性越高。我们定义为 ID(P)
我们将网页的重要性定义为 I(P)
所以:
I(p)=X*IB(P)+Y*IL(P)
ID(P)是由广度优先遍历规则保证的,所以不作为重要的指标函数。为了保证爬取重要性高的页面,这样的爬取是完全合理和科学的。
本文第一点是解释点,第二点是分析点。文笔不太好,请多多体验。
SEO的目标是提高网站的质量,提高网站的质量是提高网站的用户体验友好度,提高网站@的最终目的> 用户优化是让SE去做常规工作。青树,以上是莫兹克的拙见。毕竟,SEO是排名的逆向推理过程。不可能万事大吉。这只是对数据的分析。任何信息仅供参考。肖战,Mozk和你一起学习SEO。 查看全部
搜索引擎如何抓取网页(本文简单的分析了爬虫抓取网页的一些与大家同享)
本文简要分析了爬取网页的一些基本原理,供爬虫分享给大家。基本可以了解网页的几个排名因素:链接建设和网页布局。多多体会,写不好别骂。谢谢!
爬虫的工作原理包括爬取、策略和存储。爬行是爬虫的基本劳动过程,策略是爬虫的智能中心,存储是爬虫劳动的结果。
1:从种子网站开始爬取
基于万维网的蝴蝶形结构和非线性的网络组织结构,会出现爬取顺序的问题,而这种爬取顺序的策略必须保证尽可能多的爬取所有网页。
一般来说,爬行者选择在蝴蝶形状左侧的结构上爬行作为爬行的起点。典型的门户网站主页网站 和 ,每次爬取网页后分析URL。链接是指向其他网页的 URL,可引导爬虫抓取其他网页。(基于此,我们可以初步了解引擎从左到右,从上到下抓取的原因)
a:深度优先遍历
深度优先遍历策略类似于家族继承策略。典型的例子是封建皇帝的继承,通常是长子。如果长子死了,长孙的优先权要高于次子的优先权(这点要仔细分析考虑),如果长子和长孙都去世了,那么次子继承。这种继承中的优先级关系也称为深度优先策略。(从这点我们就可以理解蜘蛛爬列页面的顺序了)
b:广度优先遍历
广度优先也称为广度优先或水平优先。例如,当我们为祖父母、父亲和同龄人提供茶水时,我们首先给最年长的祖父,然后是父母,最后是同龄人。这个策略也被采纳了。使用基于有限宽度的策略有三个主要原因:
1>首页的重要网页往往离种子更近。例如,当我们打开新闻站时,往往是最热门的新闻。随着浏览的不断深入,PV值越来越高,我们看到的网页的重要性越来越低。
2>万维网的实际深度最高可达17层,到某个网页的路径很深,但总有一条很短的路径。
3>广度优先有利于多爬虫的协同爬取(Mozk是基于前人的数据分析和IIS日志分析,暂且,如有不同意见,欢迎讨论交流),合作的多爬虫一般先在站内抢连接,遇到站内。然后外连接开始抓取,抓取非常封闭。
附:链接的优化避免了爬取链接的死循环,也避免了要爬取的资源没有爬取,大量的资源被浪费在无用的工作上。(如何建立合理的内链可以参考小站)。
2:网页抓取优先策略
网页的爬取优先策略也称为“页面选择问题”,通常对重要的网页进行爬取,以保证有限的资源(爬虫、服务器负载)尽可能地照顾到高度重要的网页。点应该很好理解。
那么哪些页面是重要页面呢?
判断网页重要性的因素很多,主要包括链接流行度(知道链接的重要性)、链接重要性和平均深度链接、网站质量、历史权重等主要因素。
链接的受欢迎程度主要取决于反向链接的数量和质量,我们将其定义为 IB(P)。
链接的重要性是 URL 字符串的函数。它只检查字符串本身。例如,“.com”和“home”的URL重要性被认为高于“.cc”和“map”(这是一个例子,不是绝对值)。,就像我们平时默认首页索引一样。**,你也可以定义其他名字,排名是综合因素,com的排名不一定好,只是一个小因素),我们定义为IL( )
平均链接深度,我个人看到的,根据上面首先分析的广度原理计算出整个站点的平均链接深度,然后认为离种子站点越近,重要性越高。我们定义为 ID(P)
我们将网页的重要性定义为 I(P)
所以:
I(p)=X*IB(P)+Y*IL(P)
ID(P)是由广度优先遍历规则保证的,所以不作为重要的指标函数。为了保证爬取重要性高的页面,这样的爬取是完全合理和科学的。
本文第一点是解释点,第二点是分析点。文笔不太好,请多多体验。
SEO的目标是提高网站的质量,提高网站的质量是提高网站的用户体验友好度,提高网站@的最终目的> 用户优化是让SE去做常规工作。青树,以上是莫兹克的拙见。毕竟,SEO是排名的逆向推理过程。不可能万事大吉。这只是对数据的分析。任何信息仅供参考。肖战,Mozk和你一起学习SEO。
搜索引擎如何抓取网页(如何只禁止百度搜索引擎抓取收录网页的任何部分。。)
网站优化 • 优采云 发表了文章 • 0 个评论 • 132 次浏览 • 2022-04-14 03:15
一、robots.txt方法
搜索引擎默认遵循 robots.txt 协议。创建 robots.txt 文本文件并将其放在 网站 根目录中。编辑代码如下:
用户代理: *
不允许: /
通过上面的代码,可以告诉搜索引擎不要抓取,取收录this网站,小心使用上面的代码:这会禁止所有搜索引擎访问网站@的任何部分>。
如何只阻止百度搜索引擎收录抓取网页
1、编辑 robots.txt 文件并将标签设计为:
用户代理:百度蜘蛛
不允许: /
以上 robots 文件将禁止所有来自百度的抓取。
先说百度的user-agent,Baiduspider的user-agent是什么?
百度产品使用不同的用户代理:
产品名称对应user-agent
无线搜索百度蜘蛛
图片搜索Baiduspider-image
视频搜索百度蜘蛛-视频
新闻搜索Baiduspider-新闻
百度搜藏百度蜘蛛-favo
百度联盟Baiduspider-cpro
商业搜索Baiduspider-ads
百度蜘蛛上的网络和其他搜索
您可以根据每个产品的不同用户代理设置不同的爬取规则。以下 robots 实现禁止所有从百度爬取,但允许图片搜索爬取 /image/ 目录:
用户代理:百度蜘蛛
不允许: /
用户代理:Baiduspider-image
允许:/图像/
请注意:Baiduspider-cpro和Baiduspider-ads抓取的网页不会被索引,只会执行与客户约定的操作,不符合robots协议。这只能通过联系百度来解决。
如何只阻止谷歌搜索引擎收录抓取网页,如下:
编辑 robots.txt 文件,设计标记为:
用户代理:googlebot
不允许: /
编辑 robots.txt 文件
搜索引擎默认遵循 robots.txt 协议
robots.txt 文件位于 网站 根目录中。
例如,当搜索引擎访问一个网站时,它会首先检查网站的根目录下是否存在robots.txt文件。如果搜索引擎找到这个文件,它将满足于确定它爬取的权限范围。
用户代理:
该项目的值用于描述搜索引擎机器人的名称。在“robots.txt”文件中,如果有多个User-agent记录,则表示多个robots会受到该协议的限制。对于这个文件,至少有一条 User-agent 记录。如果此项的值设置为 *,则协议对任何机器人都有效。在“robots.txt”文件中,“User-agent:*”只能有一条记录。
不允许:
该项目的值用于描述不想被访问的 URL。此 URL 可以是完整路径或部分路径。机器人不会访问任何以 Disallow 开头的 URL。例如,“Disallow:/help”不允许搜索引擎访问 /help.html 和 /help/index.html,而“Disallow:/help/”允许机器人访问 /help.html 但不允许 /help/index 。 html。任何 Disallow 记录为空,表示 网站 的所有部分都被允许访问。“/robots.txt”文件中必须至少有一条 Disallow 记录。如果“/robots.txt”是一个空文件,则 网站 对所有搜索引擎机器人开放。
以下是 robots.txt 用法的几个示例:
用户代理: *
不允许: /
阻止所有搜索引擎访问 网站 的所有部分
用户代理:百度蜘蛛
不允许: /
禁止百度 收录 全站
用户代理:Googlebot
不允许: /
在全站范围内禁止 Google收录
用户代理:Googlebot
不允许:
用户代理: *
不允许: /
禁止除 Google收录 站点范围内的所有搜索引擎
用户代理:百度蜘蛛
不允许:
用户代理: *
不允许: /
禁止除百度以外的所有搜索引擎收录全站
用户代理: *
禁止:/css/
禁止:/admin/
阻止所有搜索引擎访问目录
(比如禁止根目录下的admin和css)
网页代码的第二种方法
在网站首页代码之间,添加一个代码,这个标签防止搜索引擎抓取网站并显示网页快照。
在网站首页代码之间添加,防止百度搜索引擎抓取网站并显示网页截图。
在 网站 主页代码之间,添加它以防止 Google 搜索引擎抓取 网站 并显示网页快照。
另外,当我们的需求很奇怪的时候,比如以下几种情况:
1. 网站我加了robots.txt,还能百度搜吗?
因为搜索引擎索引数据库的更新需要时间。虽然Baiduspider已经停止访问您网站上的网页,但是百度搜索引擎数据库中已经建立的网页索引信息可能需要几个月的时间才能被清除。另请检查您的机器人是否配置正确。如果您的拒绝是收录急需的,也可以通过投诉平台反馈请求处理。
2.我想让网站内容被百度收录,但不保存为快照,怎么办?
百度蜘蛛遵守互联网元机器人协议。您可以使用网页元的设置,使百度显示只对网页进行索引,而不在搜索结果中显示网页的快照。和robots的更新一样,因为搜索引擎索引库的更新需要时间,虽然你已经禁止百度通过网页中的meta在搜索结果中显示网页的快照,但如果在百度中已经建立了网页索引搜索引擎数据库信息,可能需要两到四个星期才能在线生效。
希望能被百度索引,但是不要保存网站快照,下面代码解决:
如果你想阻止所有搜索引擎保存你网页的快照,那么代码如下:
一些常用的代码组合:
: 可以爬取这个页面,也可以继续索引这个页面上的其他链接
: 这个页面不允许被爬取,但是其他链接可以沿着这个页面被爬取和索引
: 可以爬取这个页面,但是不允许沿着这个页面爬取索引中的其他链接
: 不爬取该页面,也不爬取其他链接到该页面的索引 查看全部
搜索引擎如何抓取网页(如何只禁止百度搜索引擎抓取收录网页的任何部分。。)
一、robots.txt方法
搜索引擎默认遵循 robots.txt 协议。创建 robots.txt 文本文件并将其放在 网站 根目录中。编辑代码如下:
用户代理: *
不允许: /
通过上面的代码,可以告诉搜索引擎不要抓取,取收录this网站,小心使用上面的代码:这会禁止所有搜索引擎访问网站@的任何部分>。
如何只阻止百度搜索引擎收录抓取网页
1、编辑 robots.txt 文件并将标签设计为:
用户代理:百度蜘蛛
不允许: /
以上 robots 文件将禁止所有来自百度的抓取。
先说百度的user-agent,Baiduspider的user-agent是什么?
百度产品使用不同的用户代理:
产品名称对应user-agent
无线搜索百度蜘蛛
图片搜索Baiduspider-image
视频搜索百度蜘蛛-视频
新闻搜索Baiduspider-新闻
百度搜藏百度蜘蛛-favo
百度联盟Baiduspider-cpro
商业搜索Baiduspider-ads
百度蜘蛛上的网络和其他搜索
您可以根据每个产品的不同用户代理设置不同的爬取规则。以下 robots 实现禁止所有从百度爬取,但允许图片搜索爬取 /image/ 目录:
用户代理:百度蜘蛛
不允许: /
用户代理:Baiduspider-image
允许:/图像/
请注意:Baiduspider-cpro和Baiduspider-ads抓取的网页不会被索引,只会执行与客户约定的操作,不符合robots协议。这只能通过联系百度来解决。
如何只阻止谷歌搜索引擎收录抓取网页,如下:
编辑 robots.txt 文件,设计标记为:
用户代理:googlebot
不允许: /
编辑 robots.txt 文件
搜索引擎默认遵循 robots.txt 协议
robots.txt 文件位于 网站 根目录中。
例如,当搜索引擎访问一个网站时,它会首先检查网站的根目录下是否存在robots.txt文件。如果搜索引擎找到这个文件,它将满足于确定它爬取的权限范围。
用户代理:
该项目的值用于描述搜索引擎机器人的名称。在“robots.txt”文件中,如果有多个User-agent记录,则表示多个robots会受到该协议的限制。对于这个文件,至少有一条 User-agent 记录。如果此项的值设置为 *,则协议对任何机器人都有效。在“robots.txt”文件中,“User-agent:*”只能有一条记录。
不允许:
该项目的值用于描述不想被访问的 URL。此 URL 可以是完整路径或部分路径。机器人不会访问任何以 Disallow 开头的 URL。例如,“Disallow:/help”不允许搜索引擎访问 /help.html 和 /help/index.html,而“Disallow:/help/”允许机器人访问 /help.html 但不允许 /help/index 。 html。任何 Disallow 记录为空,表示 网站 的所有部分都被允许访问。“/robots.txt”文件中必须至少有一条 Disallow 记录。如果“/robots.txt”是一个空文件,则 网站 对所有搜索引擎机器人开放。
以下是 robots.txt 用法的几个示例:
用户代理: *
不允许: /
阻止所有搜索引擎访问 网站 的所有部分
用户代理:百度蜘蛛
不允许: /
禁止百度 收录 全站
用户代理:Googlebot
不允许: /
在全站范围内禁止 Google收录
用户代理:Googlebot
不允许:
用户代理: *
不允许: /
禁止除 Google收录 站点范围内的所有搜索引擎
用户代理:百度蜘蛛
不允许:
用户代理: *
不允许: /
禁止除百度以外的所有搜索引擎收录全站
用户代理: *
禁止:/css/
禁止:/admin/
阻止所有搜索引擎访问目录
(比如禁止根目录下的admin和css)
网页代码的第二种方法
在网站首页代码之间,添加一个代码,这个标签防止搜索引擎抓取网站并显示网页快照。
在网站首页代码之间添加,防止百度搜索引擎抓取网站并显示网页截图。
在 网站 主页代码之间,添加它以防止 Google 搜索引擎抓取 网站 并显示网页快照。
另外,当我们的需求很奇怪的时候,比如以下几种情况:
1. 网站我加了robots.txt,还能百度搜吗?
因为搜索引擎索引数据库的更新需要时间。虽然Baiduspider已经停止访问您网站上的网页,但是百度搜索引擎数据库中已经建立的网页索引信息可能需要几个月的时间才能被清除。另请检查您的机器人是否配置正确。如果您的拒绝是收录急需的,也可以通过投诉平台反馈请求处理。
2.我想让网站内容被百度收录,但不保存为快照,怎么办?
百度蜘蛛遵守互联网元机器人协议。您可以使用网页元的设置,使百度显示只对网页进行索引,而不在搜索结果中显示网页的快照。和robots的更新一样,因为搜索引擎索引库的更新需要时间,虽然你已经禁止百度通过网页中的meta在搜索结果中显示网页的快照,但如果在百度中已经建立了网页索引搜索引擎数据库信息,可能需要两到四个星期才能在线生效。
希望能被百度索引,但是不要保存网站快照,下面代码解决:
如果你想阻止所有搜索引擎保存你网页的快照,那么代码如下:
一些常用的代码组合:
: 可以爬取这个页面,也可以继续索引这个页面上的其他链接
: 这个页面不允许被爬取,但是其他链接可以沿着这个页面被爬取和索引
: 可以爬取这个页面,但是不允许沿着这个页面爬取索引中的其他链接
: 不爬取该页面,也不爬取其他链接到该页面的索引
搜索引擎如何抓取网页(学SEO优化就上《SEO自学网》一个拒绝搜索引擎收录网站 )
网站优化 • 优采云 发表了文章 • 0 个评论 • 70 次浏览 • 2022-04-14 01:11
)
在“SEO自学网”学习SEO优化
新建一个网站后,只要搜索引擎蜘蛛抓取到的网站内容不是很差,那么搜索引擎很有可能收录我们的网站,如果我因为某种原因不想让搜索引擎收录网站怎么办?
事实㊤拒绝搜索引擎收录网站可以使用robots.txt(什么是robots.txt)来屏蔽搜索引擎蜘蛛,仅供参考
Robots是搜索引擎必须遵守的互联网协议,所以可以通过robots拒绝所有搜索引擎收录,代码如㊦:
用户代理:*
禁止:/
㊤旁边的两行代码表示禁止所有搜索引擎(User-agent: *)抓取所有内容(Disallow: /)
当然也可以用㊦码禁止百度收录:(如果要拒绝其他搜索引擎,请将user-agent:后面的内容替换成其他搜索引擎蜘蛛的㊔名称,各大搜索引擎蜘蛛的名字可以参考:
)
用户代理:baiduspider
禁止:/
如果您不希望搜索引擎拍摄快照,您可以这样做:
将此代码添加到头部㊥
如果您希望搜索引擎对网页进行索引并禁止跟踪,您可以这样做:
所以我们需要明确是禁止搜索引擎收录网站还是拒绝搜索引擎创建快照,然后选择合适的方法
查看全部
搜索引擎如何抓取网页(学SEO优化就上《SEO自学网》一个拒绝搜索引擎收录网站
)
在“SEO自学网”学习SEO优化
新建一个网站后,只要搜索引擎蜘蛛抓取到的网站内容不是很差,那么搜索引擎很有可能收录我们的网站,如果我因为某种原因不想让搜索引擎收录网站怎么办?
事实㊤拒绝搜索引擎收录网站可以使用robots.txt(什么是robots.txt)来屏蔽搜索引擎蜘蛛,仅供参考
Robots是搜索引擎必须遵守的互联网协议,所以可以通过robots拒绝所有搜索引擎收录,代码如㊦:
用户代理:*
禁止:/
㊤旁边的两行代码表示禁止所有搜索引擎(User-agent: *)抓取所有内容(Disallow: /)
当然也可以用㊦码禁止百度收录:(如果要拒绝其他搜索引擎,请将user-agent:后面的内容替换成其他搜索引擎蜘蛛的㊔名称,各大搜索引擎蜘蛛的名字可以参考:
)
用户代理:baiduspider
禁止:/
如果您不希望搜索引擎拍摄快照,您可以这样做:
将此代码添加到头部㊥
如果您希望搜索引擎对网页进行索引并禁止跟踪,您可以这样做:
所以我们需要明确是禁止搜索引擎收录网站还是拒绝搜索引擎创建快照,然后选择合适的方法
搜索引擎如何抓取网页(2021-08-13用python如何实现一个站内搜索引擎?)
网站优化 • 优采云 发表了文章 • 0 个评论 • 106 次浏览 • 2022-04-14 01:07
2021-08-13
如何用python实现一个现场搜索引擎?
首先考虑一下搜索引擎的工作流程:
1、网页采集。以深度或广度优先的方式搜索某个网站,保存所有网页,并使用定期和增量采集的方式进行网页维护。
2、创建一个索引库。首先,过滤掉重复的网页,尽管它们有不同的 URL;然后,提取网页的正文;最后,分割正文并建立索引。索引必须始终有顺序,并且使用 pagerank 算法为每个页面添加权重。
3、提供搜索服务。首先,对查询词进行切分;然后,对索引结果进行排序,将原来的权重和用户的查询历史结合起来,作为新的索引顺序;最后,显示文档摘要。
完整的过程如下:
------------------------------------------------ 以下文字引自万维网网络自动搜索引擎(技术报告)邓雄(Johnny Deng)2006.12
“网络蜘蛛”从互联网抓取网页,将网页发送到“网页数据库”,从网页“提取URL”,将URL发送到“URL数据库”,“蜘蛛控制”获取URL网页,控制“网络蜘蛛”爬取其他页面,重复循环,直到所有页面都被爬完。
系统从“网页数据库”中获取文本信息,发送到“文本索引”模块进行索引,形成“索引数据库”。同时进行“链接信息提取”,将链接信息(包括锚文本、链接本身等信息)送入“链接数据库”,为“网页评分”提供依据。
“用户”向“查询服务器”提交查询请求,服务器在“索引数据库”中搜索相关网页,而“网页评分”将查询请求和链接信息结合起来,对查询的相关性进行评估。搜索结果。查询服务器”按相关性排序,提取关键词的内容摘要,整理最终页面返回给“用户”。
---------------------- 报价结束
写一个搜索引擎的想法来自于我正在学习python,想用它来驱动自己。
目前思路有三个模块:网络爬虫(广度优先搜索)、网络文本提取(cx-extractor)、中文分词(smallseg)。
网络爬虫
广度优先搜索,在新浪抓取10000个页面(url中带'/'的页面)
爬取:urllib2.urlopen()
解析:htmllib.HTMLParser
存储:redis
每个 URL 对应一个 IDSEQ 序列(从 1000000 递增)
URL:IDSEQ 存储 URL
PAGE:IDSEQ 存储了URL对应的HTML页面的源代码
URLSET:IDSEQ 每个 URL 对应一组指向它的 URL (IDSEQ)
代码显示如下:
查看代码
1 #!/usr/bin/python
2 from spdUtility import PriorityQueue,Parser
3 import urllib2
4 import sys
5 import os
6 import inspect
7 import time
8 g_url = 'http://www.sina.com.cn'
9 g_key = 'www'
10 """
11 def line():
12 try:
13 raise Exception
14 except:
15 return sys.exc_info()[2].tb_frame.f_back.f_lineno"""
16
17 def updatePriQueue(priQueue, url):
18 extraPrior = url.endswith('.html') and 2 or 0
19 extraMyBlog = g_key in url and 5 or 0
20 item = priQueue.getitem(url)
21 if item:
22 newitem = (item[0]+1+extraPrior+extraMyBlog, item[1])
23 priQueue.remove(item)
24 priQueue.push(newitem)
25 else :
26 priQueue.push( (1+extraPrior+extraMyBlog,url) )
27
28 def getmainurl(url):
29 ix = url.find('/',len('http://') )
30 if ix > 0 :
31 return url[:ix]
32 else :
33 return url
34 def analyseHtml(url, html, priQueue, downlist):
35 p = Parser()
36 try :
37 p.feed(html)
38 p.close()
39 except:
40 return
41 mainurl = getmainurl(url)
42 print mainurl
43 for (k, v) in p.anchors.items():
44 for u in v :
45 if not u.startswith('http://'):
46 u = mainurl + u
47 if not downlist.count(u):
48 updatePriQueue( priQueue, u)
49
50 def downloadUrl(id, url, priQueue, downlist,downFolder):
51 downFileName = downFolder+'/%d.html' % (id,)
52 print 'downloading', url, 'as', downFileName, time.ctime(),
53 try:
54 fp = urllib2.urlopen(url)
55 except:
56 print '[ failed ]'
57 return False
58 else :
59 print '[ success ]'
60 downlist.push( url )
61 op = open(downFileName, "wb")
62 html = fp.read()
63 op.write( html )
64 op.close()
65 fp.close()
66 analyseHtml(url, html, priQueue, downlist)
67 return True
68
69 def spider(beginurl, pages, downFolder):
70 priQueue = PriorityQueue()
71 downlist = PriorityQueue()
72 priQueue.push( (1,beginurl) )
73 i = 0
74 while not priQueue.empty() and i threshold and i+30 and g_HTMLBlock[i+2]>0 and g_HTMLBlock[i+3]>0:
28 nBegin = i
29 break
30 else:
31 return None
32 for i in range(nBegin+1, nMaxSize):
33 if g_HTMLBlock[i]==0 and i+1 1:
40 f = file(sys.argv[1], 'r')
41 global g_HTML
42 global g_HTMLLine
43 global g_HTMLBlock
44 g_HTML = f.read()
45 PreProcess()
46 g_HTMLLine = [i.strip() for i in g_HTML.splitlines()] #先分割成行list,再过滤掉每行前后的空字符
47 HTMLLength = [len(i) for i in g_HTMLLine] #计算每行的长度
48 g_HTMLBlock = [HTMLLength[i] + HTMLLength[i+1] + HTMLLength[i+2] for i in range(0, len(g_HTMLLine)-3)] #计算每块的长度
49 print GetContent(200)
50
以上为演示程序,实际使用需要增加存储功能。
仍然使用redis存储,读取所有页面页面(keys'PAGE:*'),提取文本,判断文本是否已经在容器中(排除不同url的重复页面),如果在容器中,则进行下一步循环,如果不在容器中,则将其添加到容器中并存储在 CONTENT:IDSEQ 中。
代码显示如下:
查看代码
<p> 1 #!/usr/bin/python
2 #coding=utf-8
3 #根据 陈鑫《基于行块分布函数的通用网页正文抽取算法》
4 import re
5 import sys
6 import redis
7 import bisect
8 def PreProcess():
9 global g_HTML
10 _doctype = re.compile(r'', re.I|re.S)
11 _comment = re.compile(r'', re.S)
12 _javascript = re.compile(r'.*?', re.I|re.S)
13 _css = re.compile(r'.*?', re.I|re.S)
14 _other_tag = re.compile(r'', re.S)
15 _special_char = re.compile(r'&.{1,5};|&#.{1,5};')
16 g_HTML = _doctype.sub('', g_HTML)
17 g_HTML = _comment.sub('', g_HTML)
18 g_HTML = _javascript.sub('', g_HTML)
19 g_HTML = _css.sub('', g_HTML)
20 g_HTML = _other_tag.sub('', g_HTML)
21 g_HTML = _special_char.sub('', g_HTML)
22 def GetContent(threshold):
23 global g_HTMLBlock
24 nMaxSize = len(g_HTMLBlock)
25 nBegin = 0
26 nEnd = 0
27 for i in range(0, nMaxSize):
28 if g_HTMLBlock[i]>threshold and i+30 and g_HTMLBlock[i+2]>0 and g_HTMLBlock[i+3]>0:
29 nBegin = i
30 break
31 else:
32 return None
33 for i in range(nBegin+1, nMaxSize):
34 if g_HTMLBlock[i]==0 and i+1 查看全部
搜索引擎如何抓取网页(2021-08-13用python如何实现一个站内搜索引擎?)
2021-08-13
如何用python实现一个现场搜索引擎?
首先考虑一下搜索引擎的工作流程:
1、网页采集。以深度或广度优先的方式搜索某个网站,保存所有网页,并使用定期和增量采集的方式进行网页维护。
2、创建一个索引库。首先,过滤掉重复的网页,尽管它们有不同的 URL;然后,提取网页的正文;最后,分割正文并建立索引。索引必须始终有顺序,并且使用 pagerank 算法为每个页面添加权重。
3、提供搜索服务。首先,对查询词进行切分;然后,对索引结果进行排序,将原来的权重和用户的查询历史结合起来,作为新的索引顺序;最后,显示文档摘要。
完整的过程如下:
------------------------------------------------ 以下文字引自万维网网络自动搜索引擎(技术报告)邓雄(Johnny Deng)2006.12
“网络蜘蛛”从互联网抓取网页,将网页发送到“网页数据库”,从网页“提取URL”,将URL发送到“URL数据库”,“蜘蛛控制”获取URL网页,控制“网络蜘蛛”爬取其他页面,重复循环,直到所有页面都被爬完。
系统从“网页数据库”中获取文本信息,发送到“文本索引”模块进行索引,形成“索引数据库”。同时进行“链接信息提取”,将链接信息(包括锚文本、链接本身等信息)送入“链接数据库”,为“网页评分”提供依据。
“用户”向“查询服务器”提交查询请求,服务器在“索引数据库”中搜索相关网页,而“网页评分”将查询请求和链接信息结合起来,对查询的相关性进行评估。搜索结果。查询服务器”按相关性排序,提取关键词的内容摘要,整理最终页面返回给“用户”。
---------------------- 报价结束
写一个搜索引擎的想法来自于我正在学习python,想用它来驱动自己。
目前思路有三个模块:网络爬虫(广度优先搜索)、网络文本提取(cx-extractor)、中文分词(smallseg)。
网络爬虫
广度优先搜索,在新浪抓取10000个页面(url中带'/'的页面)
爬取:urllib2.urlopen()
解析:htmllib.HTMLParser
存储:redis
每个 URL 对应一个 IDSEQ 序列(从 1000000 递增)
URL:IDSEQ 存储 URL
PAGE:IDSEQ 存储了URL对应的HTML页面的源代码
URLSET:IDSEQ 每个 URL 对应一组指向它的 URL (IDSEQ)
代码显示如下:
查看代码
1 #!/usr/bin/python
2 from spdUtility import PriorityQueue,Parser
3 import urllib2
4 import sys
5 import os
6 import inspect
7 import time
8 g_url = 'http://www.sina.com.cn'
9 g_key = 'www'
10 """
11 def line():
12 try:
13 raise Exception
14 except:
15 return sys.exc_info()[2].tb_frame.f_back.f_lineno"""
16
17 def updatePriQueue(priQueue, url):
18 extraPrior = url.endswith('.html') and 2 or 0
19 extraMyBlog = g_key in url and 5 or 0
20 item = priQueue.getitem(url)
21 if item:
22 newitem = (item[0]+1+extraPrior+extraMyBlog, item[1])
23 priQueue.remove(item)
24 priQueue.push(newitem)
25 else :
26 priQueue.push( (1+extraPrior+extraMyBlog,url) )
27
28 def getmainurl(url):
29 ix = url.find('/',len('http://') )
30 if ix > 0 :
31 return url[:ix]
32 else :
33 return url
34 def analyseHtml(url, html, priQueue, downlist):
35 p = Parser()
36 try :
37 p.feed(html)
38 p.close()
39 except:
40 return
41 mainurl = getmainurl(url)
42 print mainurl
43 for (k, v) in p.anchors.items():
44 for u in v :
45 if not u.startswith('http://'):
46 u = mainurl + u
47 if not downlist.count(u):
48 updatePriQueue( priQueue, u)
49
50 def downloadUrl(id, url, priQueue, downlist,downFolder):
51 downFileName = downFolder+'/%d.html' % (id,)
52 print 'downloading', url, 'as', downFileName, time.ctime(),
53 try:
54 fp = urllib2.urlopen(url)
55 except:
56 print '[ failed ]'
57 return False
58 else :
59 print '[ success ]'
60 downlist.push( url )
61 op = open(downFileName, "wb")
62 html = fp.read()
63 op.write( html )
64 op.close()
65 fp.close()
66 analyseHtml(url, html, priQueue, downlist)
67 return True
68
69 def spider(beginurl, pages, downFolder):
70 priQueue = PriorityQueue()
71 downlist = PriorityQueue()
72 priQueue.push( (1,beginurl) )
73 i = 0
74 while not priQueue.empty() and i threshold and i+30 and g_HTMLBlock[i+2]>0 and g_HTMLBlock[i+3]>0:
28 nBegin = i
29 break
30 else:
31 return None
32 for i in range(nBegin+1, nMaxSize):
33 if g_HTMLBlock[i]==0 and i+1 1:
40 f = file(sys.argv[1], 'r')
41 global g_HTML
42 global g_HTMLLine
43 global g_HTMLBlock
44 g_HTML = f.read()
45 PreProcess()
46 g_HTMLLine = [i.strip() for i in g_HTML.splitlines()] #先分割成行list,再过滤掉每行前后的空字符
47 HTMLLength = [len(i) for i in g_HTMLLine] #计算每行的长度
48 g_HTMLBlock = [HTMLLength[i] + HTMLLength[i+1] + HTMLLength[i+2] for i in range(0, len(g_HTMLLine)-3)] #计算每块的长度
49 print GetContent(200)
50
以上为演示程序,实际使用需要增加存储功能。
仍然使用redis存储,读取所有页面页面(keys'PAGE:*'),提取文本,判断文本是否已经在容器中(排除不同url的重复页面),如果在容器中,则进行下一步循环,如果不在容器中,则将其添加到容器中并存储在 CONTENT:IDSEQ 中。
代码显示如下:
查看代码
<p> 1 #!/usr/bin/python
2 #coding=utf-8
3 #根据 陈鑫《基于行块分布函数的通用网页正文抽取算法》
4 import re
5 import sys
6 import redis
7 import bisect
8 def PreProcess():
9 global g_HTML
10 _doctype = re.compile(r'', re.I|re.S)
11 _comment = re.compile(r'', re.S)
12 _javascript = re.compile(r'.*?', re.I|re.S)
13 _css = re.compile(r'.*?', re.I|re.S)
14 _other_tag = re.compile(r'', re.S)
15 _special_char = re.compile(r'&.{1,5};|&#.{1,5};')
16 g_HTML = _doctype.sub('', g_HTML)
17 g_HTML = _comment.sub('', g_HTML)
18 g_HTML = _javascript.sub('', g_HTML)
19 g_HTML = _css.sub('', g_HTML)
20 g_HTML = _other_tag.sub('', g_HTML)
21 g_HTML = _special_char.sub('', g_HTML)
22 def GetContent(threshold):
23 global g_HTMLBlock
24 nMaxSize = len(g_HTMLBlock)
25 nBegin = 0
26 nEnd = 0
27 for i in range(0, nMaxSize):
28 if g_HTMLBlock[i]>threshold and i+30 and g_HTMLBlock[i+2]>0 and g_HTMLBlock[i+3]>0:
29 nBegin = i
30 break
31 else:
32 return None
33 for i in range(nBegin+1, nMaxSize):
34 if g_HTMLBlock[i]==0 and i+1
搜索引擎如何抓取网页(企业可以做些什么来让他们的网站脱颖而出优化是通往成功的捷径)
网站优化 • 优采云 发表了文章 • 0 个评论 • 188 次浏览 • 2022-04-14 01:05
随着网络上各类网站的增多,很多网站的创业团队和中小企业被埋在众多网站中,难以脱颖而出,吸引来自互联网的流量。那么企业可以做些什么来让他们的 网站 脱颖而出呢?
这时候就需要提一下搜索引擎优化的概念了。一般来说,搜索引擎营销就是让你的网站在百度等搜索引擎中可用。有更好的排名SEO,高曝光率。这种优化方式现在是各大公司使用的法宝。很多跨国公司利用SEO,让他们的网站快速出现在搜索者面前,这样他们的页面被浏览的机会自然会增加。因此,学习如何做好SEO是成功的捷径,下面就来看看怎么做。
1.什么是搜索引擎优化?
搜索引擎优化又称SEO搜索引擎优化,就是通过分析搜索排名规则,了解各种搜索引擎如何进行搜索,如何抓取互联网页面,如何确定具体的关键词方法。一种对搜索结果进行排名的技术。搜索引擎采用易于被搜索引用的方式,有针对性地优化网站,提高网站在搜索引擎中的自然排名,吸引更多用户访问网站,增加网站的流量,提高网站的销售能力和知名度。能力,从而提升网站的品牌效应。
2.为什么 SEO 效果很好?
现在是互联网时代,全球数十亿人通过互联网了解更多信息,因此拥有如此庞大的用户群,很多公司都建立了自己的官方网站来吸引客户。不过随着市场竞争的激烈,自然而然地出现了很多类似的网站。基于这种情况,搜索引擎会对用户搜索到的信息进行排名。如果您的 网站 在搜索排名中较低,则可以获取有关用户的信息。机会自然会减少。
这个时候,如果你知道如何为搜索引擎优化你的网页,你就可以抓住这个宣传的好机会,久而久之,你就能成功打造品牌。
3.搜索引擎优化教学
SEO是搜索引擎根据网站标题、网站内容和网站结构搜索信息时计算出来的结果。优化的方向基本在以下几个方面:
(1)增加网站内页占比:“在线”可以通过你网页内页的关键词累积。一般来说,搜索内容的次数在您的网页上搜索到的 SEO 排名越多,排名就越高。
(2)Split关键词:拆分自己网页的关键词,拆分后的关键词会匹配搜索内容关键词优化,让你的网页更好的匹配搜索。
(3)链接权重关系:你的网页链接到的以锚文本为搜索词的链接越多,你的网页与搜索内容的相关性就越高。
(4)网站图像的 ALT 标记:将 ALT 标记添加到 网站 上的图像有助于搜索引擎在搜索相关内容时索引您的 网站。
(5)在“设置”中填写关键词:在线网站编辑器左上角的“设置”,可以自由设置你的网站SEO内容,包括标题、关键词、描述等,以使您的 网站 排名更好。
总而言之,小白也能做好SEO,关键是先了解这方面的知识。按照上面的方法,你也可以制作一个好的网站。 查看全部
搜索引擎如何抓取网页(企业可以做些什么来让他们的网站脱颖而出优化是通往成功的捷径)
随着网络上各类网站的增多,很多网站的创业团队和中小企业被埋在众多网站中,难以脱颖而出,吸引来自互联网的流量。那么企业可以做些什么来让他们的 网站 脱颖而出呢?
这时候就需要提一下搜索引擎优化的概念了。一般来说,搜索引擎营销就是让你的网站在百度等搜索引擎中可用。有更好的排名SEO,高曝光率。这种优化方式现在是各大公司使用的法宝。很多跨国公司利用SEO,让他们的网站快速出现在搜索者面前,这样他们的页面被浏览的机会自然会增加。因此,学习如何做好SEO是成功的捷径,下面就来看看怎么做。
1.什么是搜索引擎优化?
搜索引擎优化又称SEO搜索引擎优化,就是通过分析搜索排名规则,了解各种搜索引擎如何进行搜索,如何抓取互联网页面,如何确定具体的关键词方法。一种对搜索结果进行排名的技术。搜索引擎采用易于被搜索引用的方式,有针对性地优化网站,提高网站在搜索引擎中的自然排名,吸引更多用户访问网站,增加网站的流量,提高网站的销售能力和知名度。能力,从而提升网站的品牌效应。
2.为什么 SEO 效果很好?
现在是互联网时代,全球数十亿人通过互联网了解更多信息,因此拥有如此庞大的用户群,很多公司都建立了自己的官方网站来吸引客户。不过随着市场竞争的激烈,自然而然地出现了很多类似的网站。基于这种情况,搜索引擎会对用户搜索到的信息进行排名。如果您的 网站 在搜索排名中较低,则可以获取有关用户的信息。机会自然会减少。
这个时候,如果你知道如何为搜索引擎优化你的网页,你就可以抓住这个宣传的好机会,久而久之,你就能成功打造品牌。
3.搜索引擎优化教学
SEO是搜索引擎根据网站标题、网站内容和网站结构搜索信息时计算出来的结果。优化的方向基本在以下几个方面:
(1)增加网站内页占比:“在线”可以通过你网页内页的关键词累积。一般来说,搜索内容的次数在您的网页上搜索到的 SEO 排名越多,排名就越高。
(2)Split关键词:拆分自己网页的关键词,拆分后的关键词会匹配搜索内容关键词优化,让你的网页更好的匹配搜索。
(3)链接权重关系:你的网页链接到的以锚文本为搜索词的链接越多,你的网页与搜索内容的相关性就越高。
(4)网站图像的 ALT 标记:将 ALT 标记添加到 网站 上的图像有助于搜索引擎在搜索相关内容时索引您的 网站。
(5)在“设置”中填写关键词:在线网站编辑器左上角的“设置”,可以自由设置你的网站SEO内容,包括标题、关键词、描述等,以使您的 网站 排名更好。
总而言之,小白也能做好SEO,关键是先了解这方面的知识。按照上面的方法,你也可以制作一个好的网站。
搜索引擎如何抓取网页( SEO编辑需要明确描述自己网站的HTML标记的正确使用)
网站优化 • 优采云 发表了文章 • 0 个评论 • 88 次浏览 • 2022-04-13 20:06
SEO编辑需要明确描述自己网站的HTML标记的正确使用)
SEO小编相信每个站长都知道蜘蛛会在网站的HTML代码中爬取,爬取网站的内容,然后进一步反馈给搜索引擎,从而得到分数,给出排名. 因此,在这些过程中,SEO编辑需要清楚地描述他们的网站的核心主题,也就是俗称的标题关键词。SEO 编辑可以使用某些 HTML 标签来进一步吸引蜘蛛,让它们更好地理解关键字并获得良好的搜索引擎排名。因此,合理的标签可以让网站中的关键词得到更多搜索引擎的关注。网站的排名很重要,无论是首页、栏目还是内容页。也有笔者在这里为误会“ml”的站长的其他意思表示歉意。这里,
过去,作者观察了很多网站,研究网页中的HTML标记。一般来说,一些不太常见的效果也不错。
如何让搜索引擎蜘蛛有利于爬行?网页中不可或缺的 HTML 标签
总结 HTML 标签的正确使用:
1、Title关键词:SEO编辑知道title关键词是网站的重要组成部分,但是title标签也是tag的重要组成部分,所以一个好的title可以非常简洁有效地表达和总结了网站的内容。所以对于布局的标题,显示名称必须完全匹配,也可以使用单词匹配。这在优化标题方面非常有效。
在猎游云的SEO编辑中对很多网站的总结中,我看到很多站长都会用排版来写标题,比如对于作者当时开始做的网站,标题如“图片|非主流图片|个性化图片-易经轩”,主要用于编写完全匹配的标题关键字,然后对标题关键字进行布局。但是,这种方法也有很多缺点,比如可读性差,没有使用一些标准的分隔符。这里可以参考新浪、百度、腾讯等大型网站头条写法,不仅受搜索引擎欢迎,也非常适合用户体验。
2、关键词密度:因为关键词密度对于不同的搜索引擎也是不一样的,这点在优化中经常被忽略,并不是搜索引擎提供良好排名的重要因素。只要我们把握一个合理的关键词密度,就不会造成不必要的灾难,如果引入的话。
3、说明:用户在网站上工作时,是用户阅读特定内容的重要标签之一,类似于自助云SEO。它的主要作用是总结网站的内容,让用户知道用户在搜索引擎中搜索了一些关键词,可以看到上面的描述也是这个领域的一个重要路标,Engine指导SE和UE可以提供给搜索参考引擎。因此,我们应该充分了解描述标签的重要性,但要注意描述的时间必须简单明了,字数必须在搜索结果的范围内。
4、H标签:我认为这是网站管理员优化title关键字的常用且有效的方法。我知道在 H 标签上,权重是 h1、h2、h3 等等。好处是方便搜索引擎把握一般意义上的内容,从而突出重要内容关键词,然后给予更高的权重。但是在制作H标签的时候,要注意不要使用H标签上的标记,还要注意页面的次数,不能太多。
总结:关键词的巧妙运用和网站这些标签的合理布局,可以让搜索引擎更有效的解读邦云优秀的SEO编辑网站和内容,推广对排名也有一定的影响。当然,对于这些,只是基础知识,搜索引擎排名优化远不止这些,所以SEO编辑们还有更多的SEO优化知识可以探索。
上一篇:网站排名的秘诀,教你如何提升网站用户的搜索排名 查看全部
搜索引擎如何抓取网页(
SEO编辑需要明确描述自己网站的HTML标记的正确使用)

SEO小编相信每个站长都知道蜘蛛会在网站的HTML代码中爬取,爬取网站的内容,然后进一步反馈给搜索引擎,从而得到分数,给出排名. 因此,在这些过程中,SEO编辑需要清楚地描述他们的网站的核心主题,也就是俗称的标题关键词。SEO 编辑可以使用某些 HTML 标签来进一步吸引蜘蛛,让它们更好地理解关键字并获得良好的搜索引擎排名。因此,合理的标签可以让网站中的关键词得到更多搜索引擎的关注。网站的排名很重要,无论是首页、栏目还是内容页。也有笔者在这里为误会“ml”的站长的其他意思表示歉意。这里,
过去,作者观察了很多网站,研究网页中的HTML标记。一般来说,一些不太常见的效果也不错。

如何让搜索引擎蜘蛛有利于爬行?网页中不可或缺的 HTML 标签
总结 HTML 标签的正确使用:
1、Title关键词:SEO编辑知道title关键词是网站的重要组成部分,但是title标签也是tag的重要组成部分,所以一个好的title可以非常简洁有效地表达和总结了网站的内容。所以对于布局的标题,显示名称必须完全匹配,也可以使用单词匹配。这在优化标题方面非常有效。
在猎游云的SEO编辑中对很多网站的总结中,我看到很多站长都会用排版来写标题,比如对于作者当时开始做的网站,标题如“图片|非主流图片|个性化图片-易经轩”,主要用于编写完全匹配的标题关键字,然后对标题关键字进行布局。但是,这种方法也有很多缺点,比如可读性差,没有使用一些标准的分隔符。这里可以参考新浪、百度、腾讯等大型网站头条写法,不仅受搜索引擎欢迎,也非常适合用户体验。
2、关键词密度:因为关键词密度对于不同的搜索引擎也是不一样的,这点在优化中经常被忽略,并不是搜索引擎提供良好排名的重要因素。只要我们把握一个合理的关键词密度,就不会造成不必要的灾难,如果引入的话。
3、说明:用户在网站上工作时,是用户阅读特定内容的重要标签之一,类似于自助云SEO。它的主要作用是总结网站的内容,让用户知道用户在搜索引擎中搜索了一些关键词,可以看到上面的描述也是这个领域的一个重要路标,Engine指导SE和UE可以提供给搜索参考引擎。因此,我们应该充分了解描述标签的重要性,但要注意描述的时间必须简单明了,字数必须在搜索结果的范围内。
4、H标签:我认为这是网站管理员优化title关键字的常用且有效的方法。我知道在 H 标签上,权重是 h1、h2、h3 等等。好处是方便搜索引擎把握一般意义上的内容,从而突出重要内容关键词,然后给予更高的权重。但是在制作H标签的时候,要注意不要使用H标签上的标记,还要注意页面的次数,不能太多。
总结:关键词的巧妙运用和网站这些标签的合理布局,可以让搜索引擎更有效的解读邦云优秀的SEO编辑网站和内容,推广对排名也有一定的影响。当然,对于这些,只是基础知识,搜索引擎排名优化远不止这些,所以SEO编辑们还有更多的SEO优化知识可以探索。
上一篇:网站排名的秘诀,教你如何提升网站用户的搜索排名
搜索引擎如何抓取网页(SEO时会遇到各种问题怎么办?提高需要抓取页面的收录量)
网站优化 • 优采云 发表了文章 • 0 个评论 • 90 次浏览 • 2022-04-13 16:14
我们在做SEO的时候会遇到各种问题,比如接管一个网站,由于之前的SEO工作出错,导致网站大量不相关的页面被爬取,以及然后再加上更新力度不够,网站就没有分量了。为此,我们需要对网站进行梳理,增加需要爬取的收录数量。
那么,如何控制搜索引擎抓取特定的 网站 页面?
一.屏蔽不需要爬取的页面
首先,我们需要屏蔽不需要爬行的机器人,防止体重分散。当然,我们还需要使用Nofollow来筛选页面包括:联系方式、关于我们等,以拦截蜘蛛和聚合权重。
二.提高网站中的页面可见性
然后,我们将改进本文中指定页面的收录。我们一般的做法是先增加网站中指定页面的展示率,例如:页面A,我们不仅要让它出现在首页的文章更新栏,而且我们也让它出现在侧边栏,因为通常网站的侧边栏是全站通用的,我们可以设置侧边栏不同的显示栏目,包括:最新推荐文章、关注最多文章等,不过也不容易过分。侧边栏一般出现2-3次,防止过度优化。当然,我们也可以通过显示网站中排名靠前的页面的链接来提高页面的知名度。
当然,我们以文章页面为例,因为一般排名在网站的页面是首页和文章页面。当我们需要对特定页面进行排名时,原因也是一样的,只是链接显示的位置不如文章页面显示的那么自然。我们可以通过开栏增加链接或者直接修改页面代码,效果是一样的。
三.加强相关内链
增加内部链接也会提升指定页面的收录。一般的做法是将网站中权重较高的页面指向需要收录的页面。排名以排名为准。如果没有排名,可以通过已经收录的页面指向指定页面。
看到这里,你可能会觉得这和上一个不太一样。这是一个解释。提高显示率就是显示指定页面的标题,提高内部链接点就是通过其他页面中的锚文本指向指定页面。页面和锚文本是页面的关键词,也可以是相关的同义词,增加页面的多样性,同时也满足未来指定页面的排名需求。
四.使用外部链接作为支持
使用外部链接作为支持是改进指定页面的一种相对快速的方法收录。比如我们做多个高质量的外链指向指定页面,相信用不了多久页面就会收录,同时排名还可以,但是要注意外链的相关性,低相关性的外链的作用要低很多,而且这种方法不适合大批量,我们知道外链的成本越来越高。如果使用大量的外部链接,优化的成本会增加,但这是一个优化策略问题。请自行决定哪个更好或更差。
五.熊掌好投稿
当然,说了这么多,我们还是不要忽略最基本的方法,百度熊掌。
熊掌目前还剩很少的SEO功能,好在还有快速收录功能,我们可以通过它的投稿推广收录,包括天级收录,每小时< @收录.
总结:如何控制搜索引擎,爬取和制定网站页面,我们这里讨论一下,以上内容仅供参考。
蝙蝠侠IT /h/969.html 转载需要授权! 查看全部
搜索引擎如何抓取网页(SEO时会遇到各种问题怎么办?提高需要抓取页面的收录量)
我们在做SEO的时候会遇到各种问题,比如接管一个网站,由于之前的SEO工作出错,导致网站大量不相关的页面被爬取,以及然后再加上更新力度不够,网站就没有分量了。为此,我们需要对网站进行梳理,增加需要爬取的收录数量。

那么,如何控制搜索引擎抓取特定的 网站 页面?
一.屏蔽不需要爬取的页面
首先,我们需要屏蔽不需要爬行的机器人,防止体重分散。当然,我们还需要使用Nofollow来筛选页面包括:联系方式、关于我们等,以拦截蜘蛛和聚合权重。
二.提高网站中的页面可见性
然后,我们将改进本文中指定页面的收录。我们一般的做法是先增加网站中指定页面的展示率,例如:页面A,我们不仅要让它出现在首页的文章更新栏,而且我们也让它出现在侧边栏,因为通常网站的侧边栏是全站通用的,我们可以设置侧边栏不同的显示栏目,包括:最新推荐文章、关注最多文章等,不过也不容易过分。侧边栏一般出现2-3次,防止过度优化。当然,我们也可以通过显示网站中排名靠前的页面的链接来提高页面的知名度。
当然,我们以文章页面为例,因为一般排名在网站的页面是首页和文章页面。当我们需要对特定页面进行排名时,原因也是一样的,只是链接显示的位置不如文章页面显示的那么自然。我们可以通过开栏增加链接或者直接修改页面代码,效果是一样的。
三.加强相关内链
增加内部链接也会提升指定页面的收录。一般的做法是将网站中权重较高的页面指向需要收录的页面。排名以排名为准。如果没有排名,可以通过已经收录的页面指向指定页面。
看到这里,你可能会觉得这和上一个不太一样。这是一个解释。提高显示率就是显示指定页面的标题,提高内部链接点就是通过其他页面中的锚文本指向指定页面。页面和锚文本是页面的关键词,也可以是相关的同义词,增加页面的多样性,同时也满足未来指定页面的排名需求。
四.使用外部链接作为支持
使用外部链接作为支持是改进指定页面的一种相对快速的方法收录。比如我们做多个高质量的外链指向指定页面,相信用不了多久页面就会收录,同时排名还可以,但是要注意外链的相关性,低相关性的外链的作用要低很多,而且这种方法不适合大批量,我们知道外链的成本越来越高。如果使用大量的外部链接,优化的成本会增加,但这是一个优化策略问题。请自行决定哪个更好或更差。
五.熊掌好投稿
当然,说了这么多,我们还是不要忽略最基本的方法,百度熊掌。
熊掌目前还剩很少的SEO功能,好在还有快速收录功能,我们可以通过它的投稿推广收录,包括天级收录,每小时< @收录.
总结:如何控制搜索引擎,爬取和制定网站页面,我们这里讨论一下,以上内容仅供参考。
蝙蝠侠IT /h/969.html 转载需要授权!
搜索引擎如何抓取网页(搜索引擎是如何理解一个页面的内容的?(图))
网站优化 • 优采云 发表了文章 • 0 个评论 • 112 次浏览 • 2022-04-13 14:36
在做SEO的过程中,我们知道每个SEO的具体排名是页面上需要定位的关键词,但是在实际中,你要对一个关键词进行排名A,而在搜索引擎评论中,排名B是可能的。
这是普遍现象,不是我们想的那样。因此,在进行SEO的过程中,我们需要正确理解搜索引擎是如何理解一个页面的。
那么,搜索引擎如何理解一个页面呢?
根据搜索引擎的工作原理,我们将进一步解释如下:
1、正在爬行
首先,当搜索引擎识别出一个页面时,它最初会发布自己的爬虫来抓取和抓取互联网上海量的URL,然后将它们采集到一个库中进行进一步的分析。
因此,在构建网站,尤其是新建站点时,一定要更新整个站点的服务器缓存,避免robots协议,阻止蜘蛛爬取。如果是这样的话,搜索引擎基本上就无法正常索引页面了。
2、网站框架
当搜索引擎蜘蛛能够正常访问和爬取一个页面时,它会重点爬取以下内容:
①网站导航
从整个网站的角度来看,SEO导航起到了引导作用。辅助用户更好地查询网站相关信息,辅助搜索引擎定位站点的行业垂直度。
所以在做全站布局的时候,首页的导航是非常重要的,应该重点从相关性的角度来衡量这个因素。
②列表分类
与网站导航相比,列表分类让网站有一个清晰的分类,让潜在用户可以快速查询相关的关键词内容并保持井井有条。
其中,列表类别网站的内容更新频率将直接影响该页面在搜索引擎心中的地位。
③ 底部导航
网站的底部导航经常用来判断一个页面是什么类型的网站,是企业站还是信息站,它的出现让网站看起来更丰满,而且为目标用户提供更多选择。
延迟页面的停留时间,对于一些SEO专家来说,聚合的页面列表往往会放在这个位置,以提高页面的收录的体积和重要性。
3、页面标签
我们知道,搜索引擎在抓取页面时,通常会遵循一定的逻辑顺序。对方在查看了首页的导航和列表后,就会开始认真地爬取内容页面,甚至一天之内就会多次访问。
其中,搜索引擎试图通过以下因素进一步识别页面主题:
①TDK
②H标签
当然,在SEO过程中,还有很多标签起到了积极的作用,而以上两个标签尤为重要,值得进一步考虑。
4、内容分词
然而,搜索引擎并不是那么简单,它是一个复杂的计算过程。提取出页面的基本标识后,搜索引擎开始进入深入分析的步骤,主要包括:利用中文分词技术对网页的核心主题内容进行拆分,将整个内容分成短语。
根据倒排索引策略,存储在索引库中以备不时之需。
5、外部链接
在做SEO的过程中,你可能经常会听到SEO人员讨论站内优化和站外优化。毫无疑问,搜索引擎对一个页面的理解不仅是从网站上的标志来判断的。
它还根据其外部评论来判断页面的价值,其中最常见的是链接锚文本的形式。
因此,如果你想为一个页面找到关键词,你可以尝试使用反向链接的相关性来通知搜索引擎。
此 文章 转载于 查看全部
搜索引擎如何抓取网页(搜索引擎是如何理解一个页面的内容的?(图))
在做SEO的过程中,我们知道每个SEO的具体排名是页面上需要定位的关键词,但是在实际中,你要对一个关键词进行排名A,而在搜索引擎评论中,排名B是可能的。
这是普遍现象,不是我们想的那样。因此,在进行SEO的过程中,我们需要正确理解搜索引擎是如何理解一个页面的。
那么,搜索引擎如何理解一个页面呢?
根据搜索引擎的工作原理,我们将进一步解释如下:
1、正在爬行
首先,当搜索引擎识别出一个页面时,它最初会发布自己的爬虫来抓取和抓取互联网上海量的URL,然后将它们采集到一个库中进行进一步的分析。
因此,在构建网站,尤其是新建站点时,一定要更新整个站点的服务器缓存,避免robots协议,阻止蜘蛛爬取。如果是这样的话,搜索引擎基本上就无法正常索引页面了。
2、网站框架
当搜索引擎蜘蛛能够正常访问和爬取一个页面时,它会重点爬取以下内容:
①网站导航
从整个网站的角度来看,SEO导航起到了引导作用。辅助用户更好地查询网站相关信息,辅助搜索引擎定位站点的行业垂直度。
所以在做全站布局的时候,首页的导航是非常重要的,应该重点从相关性的角度来衡量这个因素。
②列表分类
与网站导航相比,列表分类让网站有一个清晰的分类,让潜在用户可以快速查询相关的关键词内容并保持井井有条。
其中,列表类别网站的内容更新频率将直接影响该页面在搜索引擎心中的地位。
③ 底部导航
网站的底部导航经常用来判断一个页面是什么类型的网站,是企业站还是信息站,它的出现让网站看起来更丰满,而且为目标用户提供更多选择。
延迟页面的停留时间,对于一些SEO专家来说,聚合的页面列表往往会放在这个位置,以提高页面的收录的体积和重要性。
3、页面标签
我们知道,搜索引擎在抓取页面时,通常会遵循一定的逻辑顺序。对方在查看了首页的导航和列表后,就会开始认真地爬取内容页面,甚至一天之内就会多次访问。
其中,搜索引擎试图通过以下因素进一步识别页面主题:
①TDK
②H标签
当然,在SEO过程中,还有很多标签起到了积极的作用,而以上两个标签尤为重要,值得进一步考虑。
4、内容分词
然而,搜索引擎并不是那么简单,它是一个复杂的计算过程。提取出页面的基本标识后,搜索引擎开始进入深入分析的步骤,主要包括:利用中文分词技术对网页的核心主题内容进行拆分,将整个内容分成短语。
根据倒排索引策略,存储在索引库中以备不时之需。
5、外部链接
在做SEO的过程中,你可能经常会听到SEO人员讨论站内优化和站外优化。毫无疑问,搜索引擎对一个页面的理解不仅是从网站上的标志来判断的。
它还根据其外部评论来判断页面的价值,其中最常见的是链接锚文本的形式。
因此,如果你想为一个页面找到关键词,你可以尝试使用反向链接的相关性来通知搜索引擎。
此 文章 转载于
搜索引擎如何抓取网页(的是《网络爬虫如何采集页面》的SEO技术分享)
网站优化 • 优采云 发表了文章 • 0 个评论 • 119 次浏览 • 2022-04-13 14:28
信息采集是搜索引擎工作的重要组成部分,其中网络爬虫起着非常重要的作用。
今天,智盟科技小编为大家带来《如何爬网采集Page》。希望本次SEO技术分享对您有所帮助。
一、网络信息中的网络爬虫任务采集
网络信息采集中网络爬虫的两个任务:
① 发现网址
网络爬虫的任务之一是发现 URL,通常从一些种子 网站 开始。
② 下载页面
一般搜索引擎的网络爬虫找到网址后会判断链接是否为收录,是否与已有的收录链接高度相似,是否为优质内容,如何很多 原创 是。等到您决定是否需要下载此页面。
二、消息中的网络爬虫策略采集
通常网络爬虫使用以下方法获取信息采集:
① 从一组种子开始网站
网络爬虫从预先选择的一批种子网站开始抓取和抓取,这些种子通常是最权威的网站。通常一旦页面被下载,页面被解析以找到链接的标签,如果它收录可爬取的URL链接,它可能会继续沿着该链接爬取。锚文本链接是这个页面对另一个页面的描述,而纯文本链接没有这个描述,所以效果差一点在情理之中。
② 网络爬虫使用多线程
如果是单线程,效率会很低,因为会花费大量时间等待服务器响应,所以启用多线程来提高信息采集的效率。
多线程一次可能会爬几百个页面,这对搜索引擎来说是好事,但对别人的网站却不一定是好事,比如可能会导致对方服务器拥塞, make some real users 网站 无法正常访问。
③ 网络爬虫的爬取策略
网络爬虫不会同时从同一个网络服务器爬取多个页面,每次爬取都会有一定的时间间隔。使用这种策略时,请求队列必须非常大,才能不降低抓取效率。
例如,一个网络爬虫每秒可以爬取 1000 个页面,在同一个 网站 上每次爬取的间隔是 10 秒,那么队列应该是来自 10000 个不同服务器的 URL。
通常,如果您发现搜索引擎的抓取频率过高,您可以在官网进行调整或反馈。如果您不想让搜索引擎抓取部分页面或整个网站,则需要在网站根目录下设置robots.txt文件即可。以上内容由智盟科技小编提供,仅供参考! 查看全部
搜索引擎如何抓取网页(的是《网络爬虫如何采集页面》的SEO技术分享)
信息采集是搜索引擎工作的重要组成部分,其中网络爬虫起着非常重要的作用。
今天,智盟科技小编为大家带来《如何爬网采集Page》。希望本次SEO技术分享对您有所帮助。
一、网络信息中的网络爬虫任务采集
网络信息采集中网络爬虫的两个任务:
① 发现网址
网络爬虫的任务之一是发现 URL,通常从一些种子 网站 开始。
② 下载页面
一般搜索引擎的网络爬虫找到网址后会判断链接是否为收录,是否与已有的收录链接高度相似,是否为优质内容,如何很多 原创 是。等到您决定是否需要下载此页面。
二、消息中的网络爬虫策略采集
通常网络爬虫使用以下方法获取信息采集:
① 从一组种子开始网站
网络爬虫从预先选择的一批种子网站开始抓取和抓取,这些种子通常是最权威的网站。通常一旦页面被下载,页面被解析以找到链接的标签,如果它收录可爬取的URL链接,它可能会继续沿着该链接爬取。锚文本链接是这个页面对另一个页面的描述,而纯文本链接没有这个描述,所以效果差一点在情理之中。
② 网络爬虫使用多线程
如果是单线程,效率会很低,因为会花费大量时间等待服务器响应,所以启用多线程来提高信息采集的效率。
多线程一次可能会爬几百个页面,这对搜索引擎来说是好事,但对别人的网站却不一定是好事,比如可能会导致对方服务器拥塞, make some real users 网站 无法正常访问。
③ 网络爬虫的爬取策略
网络爬虫不会同时从同一个网络服务器爬取多个页面,每次爬取都会有一定的时间间隔。使用这种策略时,请求队列必须非常大,才能不降低抓取效率。
例如,一个网络爬虫每秒可以爬取 1000 个页面,在同一个 网站 上每次爬取的间隔是 10 秒,那么队列应该是来自 10000 个不同服务器的 URL。
通常,如果您发现搜索引擎的抓取频率过高,您可以在官网进行调整或反馈。如果您不想让搜索引擎抓取部分页面或整个网站,则需要在网站根目录下设置robots.txt文件即可。以上内容由智盟科技小编提供,仅供参考!
搜索引擎如何抓取网页(百度搜狗360搜索引擎使用蜘蛛爬网和索引网页搜寻页面内容)
网站优化 • 优采云 发表了文章 • 0 个评论 • 254 次浏览 • 2022-04-13 03:30
百度搜狗 360 搜索引擎使用蜘蛛来抓取和索引网页。抓取页面内容是搜索引擎工作方式的第一步。了解搜索引擎如何抓取网页可以帮助蜘蛛和爬虫抓取更多页面并提高您在 网站 的排名。以下内容由战神小编独家发布。
蜘蛛,也称为网络蜘蛛,是按照一定的规则对网页进行爬取的程序或脚本。
如果一个蜘蛛要爬取网站的内容,它需要有一个爬取入口。如果没有条目,他们将无法抓取 网站。因此,在建立网站之后,我们必须向搜索引擎提供网站的入口,以便蜘蛛程序可以跟随链接到达网站的每个角落,并且之后达到某些条件之前不会停止。停止条件的设置通常由时间或数量决定,也可以通过链接数来限制蜘蛛的爬行。同时,页面信息的重要性也将决定爬虫是否会检索到该页面。
在搜索引擎中,一些网站s非常受蜘蛛的欢迎,而这些网站s也将成为蜘蛛和爬行动物的起点。通常,这种类型的 网站 具有一定程度的可见性和导航性,使其成为种子 网站 的理想选择。所以,在优化网站的时候,可以把自己的网站提交到分类中,对爬虫爬虫都有好处。
网站更新频率直接影响蜘蛛的抓取频率。如果这个网站每天定时定量更新,那么这段时间蜘蛛也会进入这个网站进行爬取。
每当 Spider 抓取 网站 内容时,它都会存储该内容。如果第二次爬取发现与前一次爬取相同的页面,则 网站 尚未更新。经过长时间的爬取,蜘蛛爬虫会对网站页面的更新频率有一定的了解。对于一些不经常更新的网站,爬虫也会放弃爬取。如果网站更新频繁,爬虫会频繁进入网站,以便抓取网站上的新链接,从而提高网站的排名。
因此,在网站优化的过程中,网站的内容要经常更新,以增加网站被爬取的频率。搜索引擎爬虫在爬取网页后会将网页存储在原创数据库中。一段时间后,搜索引擎会相应地处理原创数据库中的页面。
以上就是《百度搜狗360搜索引擎如何爬取我们的网站页面?》的全部内容。如有其他问题,请咨询战神小编。 查看全部
搜索引擎如何抓取网页(百度搜狗360搜索引擎使用蜘蛛爬网和索引网页搜寻页面内容)
百度搜狗 360 搜索引擎使用蜘蛛来抓取和索引网页。抓取页面内容是搜索引擎工作方式的第一步。了解搜索引擎如何抓取网页可以帮助蜘蛛和爬虫抓取更多页面并提高您在 网站 的排名。以下内容由战神小编独家发布。
蜘蛛,也称为网络蜘蛛,是按照一定的规则对网页进行爬取的程序或脚本。
如果一个蜘蛛要爬取网站的内容,它需要有一个爬取入口。如果没有条目,他们将无法抓取 网站。因此,在建立网站之后,我们必须向搜索引擎提供网站的入口,以便蜘蛛程序可以跟随链接到达网站的每个角落,并且之后达到某些条件之前不会停止。停止条件的设置通常由时间或数量决定,也可以通过链接数来限制蜘蛛的爬行。同时,页面信息的重要性也将决定爬虫是否会检索到该页面。
在搜索引擎中,一些网站s非常受蜘蛛的欢迎,而这些网站s也将成为蜘蛛和爬行动物的起点。通常,这种类型的 网站 具有一定程度的可见性和导航性,使其成为种子 网站 的理想选择。所以,在优化网站的时候,可以把自己的网站提交到分类中,对爬虫爬虫都有好处。
网站更新频率直接影响蜘蛛的抓取频率。如果这个网站每天定时定量更新,那么这段时间蜘蛛也会进入这个网站进行爬取。

每当 Spider 抓取 网站 内容时,它都会存储该内容。如果第二次爬取发现与前一次爬取相同的页面,则 网站 尚未更新。经过长时间的爬取,蜘蛛爬虫会对网站页面的更新频率有一定的了解。对于一些不经常更新的网站,爬虫也会放弃爬取。如果网站更新频繁,爬虫会频繁进入网站,以便抓取网站上的新链接,从而提高网站的排名。
因此,在网站优化的过程中,网站的内容要经常更新,以增加网站被爬取的频率。搜索引擎爬虫在爬取网页后会将网页存储在原创数据库中。一段时间后,搜索引擎会相应地处理原创数据库中的页面。
以上就是《百度搜狗360搜索引擎如何爬取我们的网站页面?》的全部内容。如有其他问题,请咨询战神小编。
搜索引擎如何抓取网页(IDC:天之道,其犹张弓欤,损之,不足者补不足)
网站优化 • 优采云 发表了文章 • 0 个评论 • 76 次浏览 • 2022-04-20 18:01
中国IDC圈8月17日报道:天之道,还是弓吗?高者压之,低者举之,其余者损之,不足者补之。人之道不一样,失去的还不够多。谁能有盈为天下,唯有道。 (道法自然) 自然规律如箭。弓高时下压(高者压住),弓低时上提(低者抬起)。用多余的东西来弥补不足。人之道(法)并非如此。它是失去足够的服务过剩。什么样的人可以用自己的盈余服务世界?只有义人。所以,圣人靠自己的行动,不靠成功,也不想在众人面前立一个德行,以平天下。搜索遵循这样一个规则。
据统计,近似重复网页的数量占网页总数的比例高达29%,而相同的网页约占所有网页的22%,即有相当大的比例Internet 页面中的内容 有许多类型的重复网页完全相同或大致相似。这些重复的网页有些是没有任何变化的副本,有些是在内容上略有修改的,比如同一个文章的不同版本,一个新的,一个旧的,有的只是网页格式不同(例如HTML ,后记)。内容重复可以归结为以下4种。
· 类型1:如果两个文档的内容和布局没有差异,则重复可以称为完全重复的页面。
·类型2:如果两个文档的内容相同,但布局格式不同,则称为内容重复页。
·类型3:如果两个文档具有相同的重要内容和相同的布局格式,则称为布局重复页面。
·类型4:如果两个文档的某些重要内容相同,但布局格式不同,则称为部分重复页面。
所谓网页近重复发现,就是通过技术手段,快速、全面地发现这些重复信息。如何快速、准确地发现这些内容相似的网页,成为提升搜索引擎服务质量的关键技术之一。
查找相同或几乎重复的页面对搜索引擎有很多好处。
1.首先,如果我们能找到这些重复的网页并将它们从数据库中删除,我们可以节省一些存储空间,然后我们可以利用这部分空间来存储更有效的网页内容,同时也提高了搜索引擎的搜索质量和用户体验。
2.其次,如果我们可以通过分析过去采集的信息提前发现重复的网页,就可以在以后的网页采集过程中避免这些网页,从而提高网页的采集速度研究表明,重复网页不会随时间发生太大变化,因此从重复页面集合中选择一些页面进行索引是有效的。
3. 另外,如果某个网页的镜像度高,往往是其内容受欢迎程度的间接体现,说明该网页比较重要。优先级,当搜索引擎系统响应用户的检索请求并对输出结果进行排序时,应赋予更高的权重。
4. 从另一个角度来说,如果用户点击了死链接,可以将用户引导到内容相同的页面,可以有效增加用户的检索体验。因此,及时发现近似重复的网页有利于提高搜索引擎系统的服务质量。
实际的搜索引擎通常在爬虫阶段执行近似重复检测。下图展示了搜索引擎中近似重复检测任务的流程。当爬虫爬取一个新的网页时,需要和已经建入索引的网页重复判断。如果判断为近似重复网页,则直接丢弃。如果发现是全新的内容,将被添加到网页索引中。 查看全部
搜索引擎如何抓取网页(IDC:天之道,其犹张弓欤,损之,不足者补不足)
中国IDC圈8月17日报道:天之道,还是弓吗?高者压之,低者举之,其余者损之,不足者补之。人之道不一样,失去的还不够多。谁能有盈为天下,唯有道。 (道法自然) 自然规律如箭。弓高时下压(高者压住),弓低时上提(低者抬起)。用多余的东西来弥补不足。人之道(法)并非如此。它是失去足够的服务过剩。什么样的人可以用自己的盈余服务世界?只有义人。所以,圣人靠自己的行动,不靠成功,也不想在众人面前立一个德行,以平天下。搜索遵循这样一个规则。
据统计,近似重复网页的数量占网页总数的比例高达29%,而相同的网页约占所有网页的22%,即有相当大的比例Internet 页面中的内容 有许多类型的重复网页完全相同或大致相似。这些重复的网页有些是没有任何变化的副本,有些是在内容上略有修改的,比如同一个文章的不同版本,一个新的,一个旧的,有的只是网页格式不同(例如HTML ,后记)。内容重复可以归结为以下4种。
· 类型1:如果两个文档的内容和布局没有差异,则重复可以称为完全重复的页面。
·类型2:如果两个文档的内容相同,但布局格式不同,则称为内容重复页。
·类型3:如果两个文档具有相同的重要内容和相同的布局格式,则称为布局重复页面。
·类型4:如果两个文档的某些重要内容相同,但布局格式不同,则称为部分重复页面。
所谓网页近重复发现,就是通过技术手段,快速、全面地发现这些重复信息。如何快速、准确地发现这些内容相似的网页,成为提升搜索引擎服务质量的关键技术之一。
查找相同或几乎重复的页面对搜索引擎有很多好处。
1.首先,如果我们能找到这些重复的网页并将它们从数据库中删除,我们可以节省一些存储空间,然后我们可以利用这部分空间来存储更有效的网页内容,同时也提高了搜索引擎的搜索质量和用户体验。
2.其次,如果我们可以通过分析过去采集的信息提前发现重复的网页,就可以在以后的网页采集过程中避免这些网页,从而提高网页的采集速度研究表明,重复网页不会随时间发生太大变化,因此从重复页面集合中选择一些页面进行索引是有效的。
3. 另外,如果某个网页的镜像度高,往往是其内容受欢迎程度的间接体现,说明该网页比较重要。优先级,当搜索引擎系统响应用户的检索请求并对输出结果进行排序时,应赋予更高的权重。
4. 从另一个角度来说,如果用户点击了死链接,可以将用户引导到内容相同的页面,可以有效增加用户的检索体验。因此,及时发现近似重复的网页有利于提高搜索引擎系统的服务质量。
实际的搜索引擎通常在爬虫阶段执行近似重复检测。下图展示了搜索引擎中近似重复检测任务的流程。当爬虫爬取一个新的网页时,需要和已经建入索引的网页重复判断。如果判断为近似重复网页,则直接丢弃。如果发现是全新的内容,将被添加到网页索引中。
搜索引擎如何抓取网页(百度更新搜索引擎抓取系统基本框架、中涉及的网络协议、抓取的基本过程)
网站优化 • 优采云 发表了文章 • 0 个评论 • 103 次浏览 • 2022-04-18 22:41
百度昨天更新了爬虫系统的基本框架、爬虫涉及的网络协议、搜索引擎爬虫系统中爬取的基本流程。
原文如下:
随着互联网信息的爆炸式增长,如何有效地获取和利用这些信息是搜索引擎工作的首要环节。数据爬取系统作为整个搜索系统的上游,主要负责互联网信息的采集、保存和更新。它像蜘蛛一样在网络中爬行,因此通常被称为“蜘蛛”。比如我们常用的几种常见的搜索引擎蜘蛛被称为:Baiduspdier、Googlebot、SogouWebSpider等。
蜘蛛爬取系统是搜索引擎数据来源的重要保障。如果把网络理解为一个有向图,那么蜘蛛的工作过程可以认为是对这个有向图的遍历。从一些重要的种子URL开始,通过页面上的超链接关系,不断发现新的URL并进行爬取,从而尽可能多地爬取有价值的网页。对于百度这样的大型爬虫系统,由于网页随时都有被修改、删除或者新的超链接出现的可能,所以需要不断更新爬虫过去爬过的页面,维护一个URL库和页面库。
1、蜘蛛抓取系统基本框架
下面是蜘蛛爬取系统的基本框架图,包括链接存储系统、链接选择系统、dns解析服务系统、爬取调度系统、网页分析系统、链接提取系统、链接分析系统、网页存储系统。
2、蜘蛛爬取过程中涉及的网络协议
搜索引擎和资源提供者之间存在相互依赖的关系。其中,搜索引擎需要站长为其提供资源,否则搜索引擎无法满足用户检索需求;站长需要通过搜索引擎来推广自己的内容,以获得更多的信息。广大观众。蜘蛛爬取系统直接涉及互联网资源提供者的利益。为了实现搜索引擎和站长的双赢,双方在爬取过程中都必须遵守一定的规范,以方便双方的数据处理和对接。这个过程所遵循的规范,就是我们日常生活中所说的一些网络协议。这是一个简短的列表:
HTTP 协议:超文本传输协议,是 Internet 上使用最广泛的网络协议,是客户端和服务器请求和响应的标准。客户端一般指的是最终用户,服务器指的是网站。最终用户通过浏览器、蜘蛛等方式向服务器的指定端口发送http请求,发送http请求会返回相应的http头信息,包括是否成功、服务器类型、网页最后更新时间. 查看全部
搜索引擎如何抓取网页(百度更新搜索引擎抓取系统基本框架、中涉及的网络协议、抓取的基本过程)
百度昨天更新了爬虫系统的基本框架、爬虫涉及的网络协议、搜索引擎爬虫系统中爬取的基本流程。
原文如下:
随着互联网信息的爆炸式增长,如何有效地获取和利用这些信息是搜索引擎工作的首要环节。数据爬取系统作为整个搜索系统的上游,主要负责互联网信息的采集、保存和更新。它像蜘蛛一样在网络中爬行,因此通常被称为“蜘蛛”。比如我们常用的几种常见的搜索引擎蜘蛛被称为:Baiduspdier、Googlebot、SogouWebSpider等。
蜘蛛爬取系统是搜索引擎数据来源的重要保障。如果把网络理解为一个有向图,那么蜘蛛的工作过程可以认为是对这个有向图的遍历。从一些重要的种子URL开始,通过页面上的超链接关系,不断发现新的URL并进行爬取,从而尽可能多地爬取有价值的网页。对于百度这样的大型爬虫系统,由于网页随时都有被修改、删除或者新的超链接出现的可能,所以需要不断更新爬虫过去爬过的页面,维护一个URL库和页面库。
1、蜘蛛抓取系统基本框架
下面是蜘蛛爬取系统的基本框架图,包括链接存储系统、链接选择系统、dns解析服务系统、爬取调度系统、网页分析系统、链接提取系统、链接分析系统、网页存储系统。
2、蜘蛛爬取过程中涉及的网络协议
搜索引擎和资源提供者之间存在相互依赖的关系。其中,搜索引擎需要站长为其提供资源,否则搜索引擎无法满足用户检索需求;站长需要通过搜索引擎来推广自己的内容,以获得更多的信息。广大观众。蜘蛛爬取系统直接涉及互联网资源提供者的利益。为了实现搜索引擎和站长的双赢,双方在爬取过程中都必须遵守一定的规范,以方便双方的数据处理和对接。这个过程所遵循的规范,就是我们日常生活中所说的一些网络协议。这是一个简短的列表:
HTTP 协议:超文本传输协议,是 Internet 上使用最广泛的网络协议,是客户端和服务器请求和响应的标准。客户端一般指的是最终用户,服务器指的是网站。最终用户通过浏览器、蜘蛛等方式向服务器的指定端口发送http请求,发送http请求会返回相应的http头信息,包括是否成功、服务器类型、网页最后更新时间.
搜索引擎如何抓取网页(如何禁止百度搜索引擎收录抓取网页网页帮助帮助?)
网站优化 • 优采云 发表了文章 • 0 个评论 • 71 次浏览 • 2022-04-18 21:30
如果你的网站涉及个人隐私或非公开网页的保密,如何告诉搜索引擎禁止收录爬取,侯庆龙将通过以下方法进行讲解,希望你能做到不想被搜索引擎搜索到收录Grab网站 帮忙。
第一种,robots.txt方法
搜索引擎默认遵循 robots.txt 协议。创建 robots.txt 文本文件并将其放在 网站 根目录中。编辑代码如下:
用户代理:*
禁止:
通过代码,您可以告诉搜索引擎不要抓取收录this网站。
二、网页代码
在网站首页代码之间,添加一个代码,该标签禁止搜索引擎抓取网站并显示网页截图。
如何阻止百度搜索引擎收录抓取网页
1、编辑robots.txt文件,设计标记为:
用户代理:百度蜘蛛
禁止:/
2、在网站首页代码之间添加,防止百度搜索引擎抓取网站并显示网页截图。
3、联系百度管理,邮箱是:,发邮件到网站的联系人邮箱,如实说明删除网页截图。经百度验证,网页将停止收录抓取。
4、登录百度自己的“百度快照”帖和“百度投诉”帖,发帖说明删除页面快照的原因收录网站,百度管理人员的时候,看到了就会处理。
如何阻止 Google 搜索引擎收录抓取网络
1、编辑robots.txt文件,设计标记为:
用户代理:googlebot
禁止:/
2、在网站首页代码之间添加,防止谷歌搜索引擎抓取网站并显示网页截图。
转载地址: 查看全部
搜索引擎如何抓取网页(如何禁止百度搜索引擎收录抓取网页网页帮助帮助?)
如果你的网站涉及个人隐私或非公开网页的保密,如何告诉搜索引擎禁止收录爬取,侯庆龙将通过以下方法进行讲解,希望你能做到不想被搜索引擎搜索到收录Grab网站 帮忙。
第一种,robots.txt方法
搜索引擎默认遵循 robots.txt 协议。创建 robots.txt 文本文件并将其放在 网站 根目录中。编辑代码如下:
用户代理:*
禁止:
通过代码,您可以告诉搜索引擎不要抓取收录this网站。
二、网页代码
在网站首页代码之间,添加一个代码,该标签禁止搜索引擎抓取网站并显示网页截图。
如何阻止百度搜索引擎收录抓取网页
1、编辑robots.txt文件,设计标记为:
用户代理:百度蜘蛛
禁止:/
2、在网站首页代码之间添加,防止百度搜索引擎抓取网站并显示网页截图。
3、联系百度管理,邮箱是:,发邮件到网站的联系人邮箱,如实说明删除网页截图。经百度验证,网页将停止收录抓取。
4、登录百度自己的“百度快照”帖和“百度投诉”帖,发帖说明删除页面快照的原因收录网站,百度管理人员的时候,看到了就会处理。
如何阻止 Google 搜索引擎收录抓取网络
1、编辑robots.txt文件,设计标记为:
用户代理:googlebot
禁止:/
2、在网站首页代码之间添加,防止谷歌搜索引擎抓取网站并显示网页截图。
转载地址:
搜索引擎如何抓取网页(一个完整的网络爬虫基础框架如下图所示:整个架构)
网站优化 • 优采云 发表了文章 • 0 个评论 • 138 次浏览 • 2022-04-18 21:28
一个完整的网络爬虫基础框架如下图所示:
整个架构由以下过程组成:
1)需求方提供需要爬取的种子URL列表,根据提供的URL列表和对应的优先级(先到先得)建立待爬取的URL队列;
2)网页抓取是按照要抓取的URL队列的顺序进行的;
3)将获取到的网页内容和信息下载到本地网络库,并创建爬取的URL列表(用于去重和判断爬取过程);
4)将爬取的网页放入待爬取的URL队列中,进行循环爬取操作;
2. 网络爬虫爬取策略
在爬虫系统中,待爬取的 URL 队列是一个重要的部分。待爬取URL队列中的URL排列顺序也是一个很重要的问题,因为它涉及到先爬到哪个页面,再爬到哪个页面的问题。确定这些 URL 排列顺序的方法称为爬取策略。下面重点介绍几种常见的爬取策略:
1)深度优先遍历策略
深度优先遍历策略很好理解,和我们有向图中的深度优先遍历一样,因为网络本身就是一个图模型。深度优先遍历的思路是从一个起始网页开始爬取,然后根据链接一个一个的爬取,直到不能再深度爬取,然后返回上一页继续关注链接。
有向图中的深度优先搜索示例如下所示:
上图左图是有向图的示意图,右图是深度优先遍历的搜索过程示意图。深度优先遍历的结果是:
2)广度优先搜索策略
广度优先搜索和深度优先搜索的工作方式完全相反。这个想法是将在新下载的网页中找到的链接直接插入到要抓取的 URL 队列的末尾。也就是说,网络爬虫会先爬取起始网页链接的所有网页,然后选择其中一个链接的网页,继续爬取该网页链接的所有网页。
上图是上例有向图的广度优先搜索流程图,其遍历结果为:
v1→v2→v3→v4→v5→v6→v7→v8
从树的结构来看,图的广度优先遍历就是树的层次遍历。
3)反向链接搜索策略
反向链接数是指从其他网页指向一个网页的链接数。反向链接的数量表示网页内容被他人推荐的程度。因此,在很多情况下,搜索引擎的爬取系统会使用这个指标来评估网页的重要性,从而确定不同网页的爬取顺序。
在真实的网络环境中,由于广告链接和作弊链接的存在,反向链接的数量并不能完全等同于他人的重要性。因此,搜索引擎倾向于考虑一些可靠的反向链接计数。
4)大网站优先策略
所有待爬取的URL队列中的网页都按照它们所属的网站进行分类。网站需要下载的页面较多,请先下载。这种策略也称为大站点优先策略。
5)其他搜索策略
一些比较常用的爬虫搜索侧率还包括Partial PageRank搜索策略(根据PageRank分数确定下一个抓取的URL),OPIC搜索策略(也是一种重要性)。最后必须指出的一点是,我们可以根据自己的需要来设置网页的抓取间隔,这样可以保证我们一些基本的大网站或者活跃的网站内容不会被漏掉。
3. 网络爬虫更新策略
互联网实时变化并且非常动态。网页更新策略主要决定何时更新之前已经下载的页面。常见的更新策略有以下三种:
1)历史参考政策
顾名思义,它根据页面过去的历史更新数据来预测未来页面何时会发生变化。通常,预测是通过泊松过程建模来进行的。
2)用户体验策略
尽管搜索引擎可以为某个查询返回大量结果,但用户通常只关注结果的前几页。因此,爬虫系统可以优先更新那些实际在查询结果前几页的页面,然后再更新后面的那些页面。这个更新策略也需要用到历史信息。UX 策略保留网页的多个历史版本,并根据每个过去内容更改对搜索质量的影响得出一个平均值,并以此值作为决定何时重新抓取的基础。
3)聚类抽样策略
上面提到的两种更新策略都有一个前提:需要网页的历史信息。这种方式存在两个问题:第一,如果系统为每个系统保存多个版本的历史信息,无疑会增加很多系统负担;第二,如果新网页完全没有历史信息,就无法确定更新策略。
该策略认为网页具有许多属性,具有相似属性的网页可以认为具有相似的更新频率。计算某一类别网页的更新频率,只需对该类别的网页进行采样,并将其更新周期作为整个类别的更新周期。基本思路如下:
4. 分布式抓取系统结构
一般来说,爬虫系统需要处理整个互联网上数以亿计的网页。单个爬虫不可能完成这样的任务。通常需要多个爬虫程序一起处理它们。一般来说,爬虫系统往往是分布式的三层结构。如图所示:
最底层是分布在不同地理位置的数据中心。每个数据中心有多个爬虫服务器,每个爬虫服务器可能部署多套爬虫程序。这样就构成了一个基本的分布式爬虫系统。
对于数据中心中的不同服务器,有几种方法可以协同工作:
1)主从
主从基本结构如图:
对于主从类型,有一个专门的主服务器来维护要爬取的URL队列,负责每次将URL分发给不同的从服务器,从服务器负责实际的网页下载工作。Master服务器除了维护要爬取的URL队列和分发URL外,还负责调解每个Slave服务器的负载。为了避免一些从服务器过于空闲或过度工作。
在这种模式下,Master往往会成为系统的瓶颈。
2)点对点
等价的基本结构如图所示:
在这种模式下,所有爬虫服务器之间的分工没有区别。每个爬取服务器可以从待爬取的URL队列中获取URL,然后计算该URL主域名的哈希值H,进而计算H mod m(其中m为服务器数量,上图为例如,m 对于 3),计算出来的数字是处理 URL 的主机号。
例子:假设对于URL,计算器hash值H=8,m=3,那么H mod m=2,那么编号为2的服务器会抓取该链接。假设此时服务器 0 获取了 URL,它会将 URL 传输到服务器 2,服务器 2 将获取它。
这种模式有一个问题,当一个服务器死掉或添加一个新服务器时,所有 URL 的哈希余数的结果都会改变。也就是说,这种方法不能很好地扩展。针对这种情况,提出了另一种改进方案。这种改进的方案是一致的散列以确定服务器划分。其基本结构如图所示:
一致散列对 URL 的主域名进行散列,并将其映射到 0-232 范围内的数字。这个范围平均分配给m台服务器,根据主URL域名的hash运算值的范围来确定要爬取哪个服务器。
如果某台服务器出现问题,本应负责该服务器的网页将由下一个服务器顺时针获取。在这种情况下,即使一台服务器出现问题,也不会影响其他工作。
5. 参考资料
[1] wawlian:网络爬虫基本原理(一)(二);
[2] guisu:搜索引擎——网络爬虫;
[3]《这就是搜索引擎:核心技术详解》。 查看全部
搜索引擎如何抓取网页(一个完整的网络爬虫基础框架如下图所示:整个架构)
一个完整的网络爬虫基础框架如下图所示:

整个架构由以下过程组成:
1)需求方提供需要爬取的种子URL列表,根据提供的URL列表和对应的优先级(先到先得)建立待爬取的URL队列;
2)网页抓取是按照要抓取的URL队列的顺序进行的;
3)将获取到的网页内容和信息下载到本地网络库,并创建爬取的URL列表(用于去重和判断爬取过程);
4)将爬取的网页放入待爬取的URL队列中,进行循环爬取操作;
2. 网络爬虫爬取策略
在爬虫系统中,待爬取的 URL 队列是一个重要的部分。待爬取URL队列中的URL排列顺序也是一个很重要的问题,因为它涉及到先爬到哪个页面,再爬到哪个页面的问题。确定这些 URL 排列顺序的方法称为爬取策略。下面重点介绍几种常见的爬取策略:
1)深度优先遍历策略
深度优先遍历策略很好理解,和我们有向图中的深度优先遍历一样,因为网络本身就是一个图模型。深度优先遍历的思路是从一个起始网页开始爬取,然后根据链接一个一个的爬取,直到不能再深度爬取,然后返回上一页继续关注链接。
有向图中的深度优先搜索示例如下所示:


上图左图是有向图的示意图,右图是深度优先遍历的搜索过程示意图。深度优先遍历的结果是:

2)广度优先搜索策略
广度优先搜索和深度优先搜索的工作方式完全相反。这个想法是将在新下载的网页中找到的链接直接插入到要抓取的 URL 队列的末尾。也就是说,网络爬虫会先爬取起始网页链接的所有网页,然后选择其中一个链接的网页,继续爬取该网页链接的所有网页。

上图是上例有向图的广度优先搜索流程图,其遍历结果为:
v1→v2→v3→v4→v5→v6→v7→v8
从树的结构来看,图的广度优先遍历就是树的层次遍历。
3)反向链接搜索策略
反向链接数是指从其他网页指向一个网页的链接数。反向链接的数量表示网页内容被他人推荐的程度。因此,在很多情况下,搜索引擎的爬取系统会使用这个指标来评估网页的重要性,从而确定不同网页的爬取顺序。
在真实的网络环境中,由于广告链接和作弊链接的存在,反向链接的数量并不能完全等同于他人的重要性。因此,搜索引擎倾向于考虑一些可靠的反向链接计数。
4)大网站优先策略
所有待爬取的URL队列中的网页都按照它们所属的网站进行分类。网站需要下载的页面较多,请先下载。这种策略也称为大站点优先策略。
5)其他搜索策略
一些比较常用的爬虫搜索侧率还包括Partial PageRank搜索策略(根据PageRank分数确定下一个抓取的URL),OPIC搜索策略(也是一种重要性)。最后必须指出的一点是,我们可以根据自己的需要来设置网页的抓取间隔,这样可以保证我们一些基本的大网站或者活跃的网站内容不会被漏掉。
3. 网络爬虫更新策略
互联网实时变化并且非常动态。网页更新策略主要决定何时更新之前已经下载的页面。常见的更新策略有以下三种:
1)历史参考政策
顾名思义,它根据页面过去的历史更新数据来预测未来页面何时会发生变化。通常,预测是通过泊松过程建模来进行的。
2)用户体验策略
尽管搜索引擎可以为某个查询返回大量结果,但用户通常只关注结果的前几页。因此,爬虫系统可以优先更新那些实际在查询结果前几页的页面,然后再更新后面的那些页面。这个更新策略也需要用到历史信息。UX 策略保留网页的多个历史版本,并根据每个过去内容更改对搜索质量的影响得出一个平均值,并以此值作为决定何时重新抓取的基础。
3)聚类抽样策略
上面提到的两种更新策略都有一个前提:需要网页的历史信息。这种方式存在两个问题:第一,如果系统为每个系统保存多个版本的历史信息,无疑会增加很多系统负担;第二,如果新网页完全没有历史信息,就无法确定更新策略。
该策略认为网页具有许多属性,具有相似属性的网页可以认为具有相似的更新频率。计算某一类别网页的更新频率,只需对该类别的网页进行采样,并将其更新周期作为整个类别的更新周期。基本思路如下:

4. 分布式抓取系统结构
一般来说,爬虫系统需要处理整个互联网上数以亿计的网页。单个爬虫不可能完成这样的任务。通常需要多个爬虫程序一起处理它们。一般来说,爬虫系统往往是分布式的三层结构。如图所示:

最底层是分布在不同地理位置的数据中心。每个数据中心有多个爬虫服务器,每个爬虫服务器可能部署多套爬虫程序。这样就构成了一个基本的分布式爬虫系统。
对于数据中心中的不同服务器,有几种方法可以协同工作:
1)主从
主从基本结构如图:

对于主从类型,有一个专门的主服务器来维护要爬取的URL队列,负责每次将URL分发给不同的从服务器,从服务器负责实际的网页下载工作。Master服务器除了维护要爬取的URL队列和分发URL外,还负责调解每个Slave服务器的负载。为了避免一些从服务器过于空闲或过度工作。
在这种模式下,Master往往会成为系统的瓶颈。
2)点对点
等价的基本结构如图所示:

在这种模式下,所有爬虫服务器之间的分工没有区别。每个爬取服务器可以从待爬取的URL队列中获取URL,然后计算该URL主域名的哈希值H,进而计算H mod m(其中m为服务器数量,上图为例如,m 对于 3),计算出来的数字是处理 URL 的主机号。
例子:假设对于URL,计算器hash值H=8,m=3,那么H mod m=2,那么编号为2的服务器会抓取该链接。假设此时服务器 0 获取了 URL,它会将 URL 传输到服务器 2,服务器 2 将获取它。
这种模式有一个问题,当一个服务器死掉或添加一个新服务器时,所有 URL 的哈希余数的结果都会改变。也就是说,这种方法不能很好地扩展。针对这种情况,提出了另一种改进方案。这种改进的方案是一致的散列以确定服务器划分。其基本结构如图所示:

一致散列对 URL 的主域名进行散列,并将其映射到 0-232 范围内的数字。这个范围平均分配给m台服务器,根据主URL域名的hash运算值的范围来确定要爬取哪个服务器。
如果某台服务器出现问题,本应负责该服务器的网页将由下一个服务器顺时针获取。在这种情况下,即使一台服务器出现问题,也不会影响其他工作。
5. 参考资料
[1] wawlian:网络爬虫基本原理(一)(二);
[2] guisu:搜索引擎——网络爬虫;
[3]《这就是搜索引擎:核心技术详解》。
搜索引擎如何抓取网页(如何让网站被搜索引擎识别、索引收录(1)》)
网站优化 • 优采云 发表了文章 • 0 个评论 • 85 次浏览 • 2022-04-18 21:26
如果想让网站被搜索引擎索引收录,就需要构建一个易于识别、被搜索引擎索引、可以在手机端呈现的网站边。
下面,我们将从域名、服务器、网页加载速度、网站结构、url结构、PC端和移动端适配、网站收录、网页过滤和数据库八个方面进行讨论建造。方面进行了说明。
在阅读这篇文章文章之前,你可以先阅读《如何让网站被搜索引擎索引收录(1))》。
图片来自网络
4.网站结构
一个理想的网站结构应该尽可能的扁平化,从网站首页到内容页面的层数尽可能少,这样搜索引擎更容易处理。因此,网站结构推荐采用树形结构,通常分为[首页]、[频道]、[文章页面]三个层次。
移动端网站的优化重点是移动端网站首页应该有重要的栏目导航、更多的详情页和重要的引流页面入口。所以,网站首页的布局不能太简单,页面内容也不能太简单。
5.网址结构
Url结构应该是描述性好的、规范的、简洁的url,可以帮助用户更方便快速的记忆和直观地判断网页的内容,也可以帮助搜索引擎更高效地识别和抓取网页。
① 详情页的url尽量短,这是为了减少无效参数,比如统计参数。同时,确保同一页面中只有一组 url 地址。如果有不同形式的url,应该使用301重定向跳转到正常的url。
②Robots文件可以防止百度搜索引擎蜘蛛抓取不希望展示给用户的内容,或者不希望被搜索引擎抓取的隐私数据。
③移动端的网址网站也需要是静态的,即不要使用收录过多参数和符号的网址,避免使用中文网址。
6.PC端网站和移动端网站的适配
站点适配是百度搜索引擎提出的一个概念。主要是通过网站meta加代码,提交网站地图到百度站长工具,帮助搜索引擎快速准确的了解PC端网站和手机端网站@ > 之间的关联。站点适配帮助百度在移动搜索中将原来的PC端网页结果替换为相应的移动端网页结果。
7.网站被动抓取
当PC端网站适配移动端网站,我们只需要等待百度搜索引擎抓取网站页面收录即可。
8.网页过滤和数据库构建
事实上,百度搜索引擎有一个专门的移动数据库。为了让更多的移动 网站 页面被索引,我们需要让移动 网站 有足够的特征来区分它与 PC 网站 页面,这将有助于改进 收录@ > 移动 网站 页面的数量。
(1)网站域名尽量以m./wap/3g/mobi./mobile./i.等开头。
(2)手机网站写在网页头。
以上就是《如何让网站被搜索引擎收录收录(2))》的全部内容,感谢您的阅读,希望对您有所帮助! 查看全部
搜索引擎如何抓取网页(如何让网站被搜索引擎识别、索引收录(1)》)
如果想让网站被搜索引擎索引收录,就需要构建一个易于识别、被搜索引擎索引、可以在手机端呈现的网站边。
下面,我们将从域名、服务器、网页加载速度、网站结构、url结构、PC端和移动端适配、网站收录、网页过滤和数据库八个方面进行讨论建造。方面进行了说明。
在阅读这篇文章文章之前,你可以先阅读《如何让网站被搜索引擎索引收录(1))》。

图片来自网络
4.网站结构
一个理想的网站结构应该尽可能的扁平化,从网站首页到内容页面的层数尽可能少,这样搜索引擎更容易处理。因此,网站结构推荐采用树形结构,通常分为[首页]、[频道]、[文章页面]三个层次。
移动端网站的优化重点是移动端网站首页应该有重要的栏目导航、更多的详情页和重要的引流页面入口。所以,网站首页的布局不能太简单,页面内容也不能太简单。
5.网址结构
Url结构应该是描述性好的、规范的、简洁的url,可以帮助用户更方便快速的记忆和直观地判断网页的内容,也可以帮助搜索引擎更高效地识别和抓取网页。
① 详情页的url尽量短,这是为了减少无效参数,比如统计参数。同时,确保同一页面中只有一组 url 地址。如果有不同形式的url,应该使用301重定向跳转到正常的url。
②Robots文件可以防止百度搜索引擎蜘蛛抓取不希望展示给用户的内容,或者不希望被搜索引擎抓取的隐私数据。
③移动端的网址网站也需要是静态的,即不要使用收录过多参数和符号的网址,避免使用中文网址。
6.PC端网站和移动端网站的适配
站点适配是百度搜索引擎提出的一个概念。主要是通过网站meta加代码,提交网站地图到百度站长工具,帮助搜索引擎快速准确的了解PC端网站和手机端网站@ > 之间的关联。站点适配帮助百度在移动搜索中将原来的PC端网页结果替换为相应的移动端网页结果。
7.网站被动抓取
当PC端网站适配移动端网站,我们只需要等待百度搜索引擎抓取网站页面收录即可。
8.网页过滤和数据库构建
事实上,百度搜索引擎有一个专门的移动数据库。为了让更多的移动 网站 页面被索引,我们需要让移动 网站 有足够的特征来区分它与 PC 网站 页面,这将有助于改进 收录@ > 移动 网站 页面的数量。
(1)网站域名尽量以m./wap/3g/mobi./mobile./i.等开头。
(2)手机网站写在网页头。
以上就是《如何让网站被搜索引擎收录收录(2))》的全部内容,感谢您的阅读,希望对您有所帮助!
搜索引擎如何抓取网页(Python抓取的搜索结果页面源码(url)(组图))
网站优化 • 优采云 发表了文章 • 0 个评论 • 75 次浏览 • 2022-04-18 20:25
我前段时间一直在研究如何使用python爬取搜索引擎结果。我在执行的过程中遇到了很多问题。我记录了我遇到的所有问题。希望遇到同样问题的童鞋们不要走弯路。
1. 搜索引擎选择
选择一个好的搜索引擎意味着您可以获得更准确的搜索结果。我用过四个搜索引擎:谷歌、必应、百度、雅虎!作为程序员,我的第一选择是谷歌。但是当我看到我最喜欢的 Google 给我返回了一堆 js 代码时,根本没有我想要的搜索结果。于是切换到Bing阵营,用了一段时间后发现Bing返回的搜索结果对我的问题不太理想。就在我快要绝望的时候,谷歌来救我了。原来谷歌为了照顾那些禁止浏览器使用js的用户还有另一种搜索方式,请看如下搜索网址:
hl 指定要搜索的语言,q 是要搜索的关键字。好吧,多亏了 Google,搜索结果页面收录了我想要抓取的内容。
PS:使用python爬取网上Google搜索结果的方法有很多。请注意,Google 不再推荐此方法,请参阅 。 Google 现在提供了自定义搜索 API,但是该 API 限制为每天 100 个请求,如果需要更多,只能购买。
2.Python 抓取和分析网页,
使用Python urllib2爬取网页非常方便,不多说,看代码:defsearch(self, queryStr):
queryStr =urllib2.quote(queryStr)
url='%s'%queryStr
请求=urllib2.请求(url)
响应=urllib2.urlopen(请求)
html=response.read()
results=self.extractSearchResults(html)
第6行的html是我们爬取的搜索结果页面的源码。用过Python的同学会发现Python同时提供了urllib和urllib2两个模块,这两个模块都与URL请求相关,只是提供的功能不同。 urllib 只能接收 URL,而 urllib2 可以接受 Request 类的实例来设置 URL 请求的标头,这意味着您可以伪装您的用户代理等(在下面使用)。
现在我们可以使用 Python 抓取网页并保存它,我们可以从源页面中提取我们想要的搜索结果。 Python提供了htmlparser模块,但是使用起来比较麻烦。在这里,我们推荐一个非常有用的网页分析包 BeautifulSoup。评委网站上对 BeautifulSoup 的使用有详细的介绍。这里就不多说了。
使用上面的代码,少量查询是可以的,但是如果你想查询几千次,上面的方法就不再有效了,谷歌会检测你请求的来源,如果我们使用机器的话经常抓取谷歌的搜索结果,很快谷歌就会屏蔽你的IP,并返回一个503错误页面。这不是我们想要的结果,所以我们会继续探索
如前所述,使用 urllib2 我们可以设置 URL 请求的标头来伪装我们的用户代理。简而言之,用户代理是客户端浏览器等应用程序使用的一种特殊网络协议。每次浏览器(邮件客户端/搜索引擎蜘蛛)发出 HTTP 请求时,都会发送到服务器,服务器就知道用户了。使用什么浏览器(邮件客户端/搜索引擎蜘蛛)访问。有时候为了达到一些目的,我们不得不去善意地欺骗服务器告诉它我没有使用机器访问你。
所以,我们的代码如下所示: user_agents =['Mozilla/5.0 (Windows NT 6.1; WOW64; rv:23.0) Gecko/ 20130406 火狐/23.0', \
'Mozilla/5.0 (Windows NT 6.1; WOW64; rv:18.0) Gecko/20100101 Firefox/18.0' , \
'Mozilla/5.0(Windows; U; Windows NT 6.1; en-US) AppleWebKit/533+\
(KHTML,如 Gecko)元素浏览器 5.0', \
'IBM WebExplorer /v0.94', 'Galaxy/1.0 [en] (Mac OS X 10.5.6; U; en)' , \
'Mozilla/5.0(兼容;MSIE 10.0;Windows NT 6.1;WOW64;三叉戟/6.0)',\
'Opera/9.80 (Windows NT 6.0) Presto/2.12.388 版本/12.14', \
'Mozilla/5.0(iPad; CPU OS 6_0like Mac OS X) AppleWebKit/536.26(KHTML, like Gecko) \
版本/6.0Mobile/10A5355dSafari/8536.25', \
'Mozilla/5.0(Windows NT 6.1) AppleWebKit/537.36(KHTML,像壁虎) \
Chrome/28.0.1468.0Safari/537.36', \
'Mozilla/5.0(兼容;MSIE 9.0;Windows NT 6.0;Trident/5.0;TheWorld)']
defsearch(self, queryStr):
queryStr =urllib2.quote(queryStr)
url='%s'%queryStr
请求=urllib2.请求(url)
index =random.randint(0, 9)
user_agent=user_agents[索引]
request.add_header('User-agent', user_agent)
响应=urllib2.urlopen(请求)
html=response.read()
results=self.extractSearchResults(html)
不要被 user_agents 列表吓到,它实际上是 10 个用户代理字符串。这是为了让我们假装更好。如果您需要更多用户代理,请在此处查看 UserAgentString。
第17-19行表示随机选择一个用户代理字符串,然后通过请求的add_header方法伪装一个用户代理。
通过伪装用户代理,我们可以继续爬取搜索引擎结果。如果这不起作用,那么我建议在每次查询之间随机休眠一段时间。这会影响爬取速度,但是会让你继续爬取爬取结果,如果你有多个IP,爬取速度也会增加。 查看全部
搜索引擎如何抓取网页(Python抓取的搜索结果页面源码(url)(组图))
我前段时间一直在研究如何使用python爬取搜索引擎结果。我在执行的过程中遇到了很多问题。我记录了我遇到的所有问题。希望遇到同样问题的童鞋们不要走弯路。
1. 搜索引擎选择
选择一个好的搜索引擎意味着您可以获得更准确的搜索结果。我用过四个搜索引擎:谷歌、必应、百度、雅虎!作为程序员,我的第一选择是谷歌。但是当我看到我最喜欢的 Google 给我返回了一堆 js 代码时,根本没有我想要的搜索结果。于是切换到Bing阵营,用了一段时间后发现Bing返回的搜索结果对我的问题不太理想。就在我快要绝望的时候,谷歌来救我了。原来谷歌为了照顾那些禁止浏览器使用js的用户还有另一种搜索方式,请看如下搜索网址:
hl 指定要搜索的语言,q 是要搜索的关键字。好吧,多亏了 Google,搜索结果页面收录了我想要抓取的内容。
PS:使用python爬取网上Google搜索结果的方法有很多。请注意,Google 不再推荐此方法,请参阅 。 Google 现在提供了自定义搜索 API,但是该 API 限制为每天 100 个请求,如果需要更多,只能购买。
2.Python 抓取和分析网页,
使用Python urllib2爬取网页非常方便,不多说,看代码:defsearch(self, queryStr):
queryStr =urllib2.quote(queryStr)
url='%s'%queryStr
请求=urllib2.请求(url)
响应=urllib2.urlopen(请求)
html=response.read()
results=self.extractSearchResults(html)
第6行的html是我们爬取的搜索结果页面的源码。用过Python的同学会发现Python同时提供了urllib和urllib2两个模块,这两个模块都与URL请求相关,只是提供的功能不同。 urllib 只能接收 URL,而 urllib2 可以接受 Request 类的实例来设置 URL 请求的标头,这意味着您可以伪装您的用户代理等(在下面使用)。
现在我们可以使用 Python 抓取网页并保存它,我们可以从源页面中提取我们想要的搜索结果。 Python提供了htmlparser模块,但是使用起来比较麻烦。在这里,我们推荐一个非常有用的网页分析包 BeautifulSoup。评委网站上对 BeautifulSoup 的使用有详细的介绍。这里就不多说了。
使用上面的代码,少量查询是可以的,但是如果你想查询几千次,上面的方法就不再有效了,谷歌会检测你请求的来源,如果我们使用机器的话经常抓取谷歌的搜索结果,很快谷歌就会屏蔽你的IP,并返回一个503错误页面。这不是我们想要的结果,所以我们会继续探索
如前所述,使用 urllib2 我们可以设置 URL 请求的标头来伪装我们的用户代理。简而言之,用户代理是客户端浏览器等应用程序使用的一种特殊网络协议。每次浏览器(邮件客户端/搜索引擎蜘蛛)发出 HTTP 请求时,都会发送到服务器,服务器就知道用户了。使用什么浏览器(邮件客户端/搜索引擎蜘蛛)访问。有时候为了达到一些目的,我们不得不去善意地欺骗服务器告诉它我没有使用机器访问你。
所以,我们的代码如下所示: user_agents =['Mozilla/5.0 (Windows NT 6.1; WOW64; rv:23.0) Gecko/ 20130406 火狐/23.0', \
'Mozilla/5.0 (Windows NT 6.1; WOW64; rv:18.0) Gecko/20100101 Firefox/18.0' , \
'Mozilla/5.0(Windows; U; Windows NT 6.1; en-US) AppleWebKit/533+\
(KHTML,如 Gecko)元素浏览器 5.0', \
'IBM WebExplorer /v0.94', 'Galaxy/1.0 [en] (Mac OS X 10.5.6; U; en)' , \
'Mozilla/5.0(兼容;MSIE 10.0;Windows NT 6.1;WOW64;三叉戟/6.0)',\
'Opera/9.80 (Windows NT 6.0) Presto/2.12.388 版本/12.14', \
'Mozilla/5.0(iPad; CPU OS 6_0like Mac OS X) AppleWebKit/536.26(KHTML, like Gecko) \
版本/6.0Mobile/10A5355dSafari/8536.25', \
'Mozilla/5.0(Windows NT 6.1) AppleWebKit/537.36(KHTML,像壁虎) \
Chrome/28.0.1468.0Safari/537.36', \
'Mozilla/5.0(兼容;MSIE 9.0;Windows NT 6.0;Trident/5.0;TheWorld)']
defsearch(self, queryStr):
queryStr =urllib2.quote(queryStr)
url='%s'%queryStr
请求=urllib2.请求(url)
index =random.randint(0, 9)
user_agent=user_agents[索引]
request.add_header('User-agent', user_agent)
响应=urllib2.urlopen(请求)
html=response.read()
results=self.extractSearchResults(html)
不要被 user_agents 列表吓到,它实际上是 10 个用户代理字符串。这是为了让我们假装更好。如果您需要更多用户代理,请在此处查看 UserAgentString。
第17-19行表示随机选择一个用户代理字符串,然后通过请求的add_header方法伪装一个用户代理。
通过伪装用户代理,我们可以继续爬取搜索引擎结果。如果这不起作用,那么我建议在每次查询之间随机休眠一段时间。这会影响爬取速度,但是会让你继续爬取爬取结果,如果你有多个IP,爬取速度也会增加。
搜索引擎如何抓取网页(搜索引擎的基本原理怎么行?的工作流程的步骤)
网站优化 • 优采云 发表了文章 • 0 个评论 • 80 次浏览 • 2022-04-18 20:22
搜索引擎营销可以说是最主流的外贸营销推广方式。想让自己的外贸网站获得高排名、高曝光,不了解搜索引擎的基本原理怎么办?
搜索引擎工作流程
搜索引擎的工作流程大致可以分为四个步骤。
爬行和爬行
搜索引擎会发送一个程序来发现网络上的新页面并抓取文件,通常称为蜘蛛。搜索引擎蜘蛛从数据库中的已知网页开始,访问这些页面并像普通用户的浏览器一样抓取文件。并且搜索引擎蜘蛛会跟随网页上的链接并访问更多的网页。这个过程称为爬行。
当通过该链接找到新的 URL 时,蜘蛛会将新的 URL 记录到数据库中,等待其被抓取。跟踪网络链接是搜索引擎蜘蛛发现新 URL 的最基本方式。搜索引擎蜘蛛爬取的页面文件与用户浏览器获取的页面文件完全一致,爬取的文件存储在数据库中。
指数
搜索引擎索引程序对蜘蛛爬取的网页进行分解和分析,并以巨表的形式存储在数据库中。这个过程称为索引。在索引数据库中,相应地记录了网页的文本内容,以及关键词的位置、字体、颜色、粗体、斜体等相关信息。
搜索引擎索引数据库存储海量数据,主流搜索引擎通常存储数十亿网页。
搜索词处理
用户在搜索引擎界面输入关键词,点击“搜索”按钮后,搜索引擎程序会对输入的搜索词进行处理,如中文专用分词、分离和去除词序关键词 停用词,判断是否需要启动综合搜索,判断是否有拼写错误或错别字等。搜索词的处理必须非常快。
种类
处理完搜索词后,搜索引擎排序程序开始工作,从索引数据库中找出所有收录该搜索词的网页,根据排名计算方法计算出哪些网页应该排在第一位,然后返回某种格式的“搜索”页面。
虽然排序过程在一两秒内返回用户想要的搜索结果,但实际上是一个非常复杂的过程。排名算法需要实时从索引数据库中查找所有相关页面,实时计算相关度,并添加过滤算法。它的复杂性是外人无法想象的。搜索引擎是当今最大和最复杂的计算系统之一。
如何提高外贸排名网站
要在搜索引擎上推广,首先要制作一个高质量的网站。从搜索引擎的标准看:一个高质量的网站包括硬件环境、软件环境、搜索引擎标准化、内容质量。
当搜索引擎的蜘蛛识别到一个网站时,它会主动爬取网站的网页。在爬取过程中,蜘蛛不仅会爬取网站的内容,还会爬取内部链结构、爬取速度、服务器响应速度等一系列技术指标。蜘蛛爬取完网页后,数据清洗系统会清洗网页数据。在这个过程中,搜索引擎会对数据的质量和原创进行判断,过滤掉优质内容,采集大量网页技术特征。指数。
搜索引擎对优质内容进行分词并计算相关度,然后将爬取过程中得到的网站技术指标和网页技术指标作为重要指标进行排序(俗称网站@ > 权重、网页权重),搜索引擎会考虑网页的链接关系(包括内部链接和外部链接)作为排名的依据,但外部链接关系的重要性正在逐年下降。同时,谷歌等搜索引擎也会采集用户访问行为来调整搜索引擎结果的排名。例如,如果某个网站经常被访问慢,那么会降低这个网站的权重;点击率(100人搜索某个<
搜索引擎每天都在重复上述过程,通过不断更新索引数据和排序算法,确保用户搜索到有价值的信息。所以外贸网站要想提高排名,最靠谱的办法就是提高网站的质量,给搜索引擎提供优质的内容,还有一些网站作弊通过SEO将始终处于某种算法中。更新过程中发现作弊,导致排名不稳定,甚至网站整体受到惩罚。 查看全部
搜索引擎如何抓取网页(搜索引擎的基本原理怎么行?的工作流程的步骤)
搜索引擎营销可以说是最主流的外贸营销推广方式。想让自己的外贸网站获得高排名、高曝光,不了解搜索引擎的基本原理怎么办?
搜索引擎工作流程
搜索引擎的工作流程大致可以分为四个步骤。
爬行和爬行
搜索引擎会发送一个程序来发现网络上的新页面并抓取文件,通常称为蜘蛛。搜索引擎蜘蛛从数据库中的已知网页开始,访问这些页面并像普通用户的浏览器一样抓取文件。并且搜索引擎蜘蛛会跟随网页上的链接并访问更多的网页。这个过程称为爬行。
当通过该链接找到新的 URL 时,蜘蛛会将新的 URL 记录到数据库中,等待其被抓取。跟踪网络链接是搜索引擎蜘蛛发现新 URL 的最基本方式。搜索引擎蜘蛛爬取的页面文件与用户浏览器获取的页面文件完全一致,爬取的文件存储在数据库中。
指数
搜索引擎索引程序对蜘蛛爬取的网页进行分解和分析,并以巨表的形式存储在数据库中。这个过程称为索引。在索引数据库中,相应地记录了网页的文本内容,以及关键词的位置、字体、颜色、粗体、斜体等相关信息。
搜索引擎索引数据库存储海量数据,主流搜索引擎通常存储数十亿网页。
搜索词处理
用户在搜索引擎界面输入关键词,点击“搜索”按钮后,搜索引擎程序会对输入的搜索词进行处理,如中文专用分词、分离和去除词序关键词 停用词,判断是否需要启动综合搜索,判断是否有拼写错误或错别字等。搜索词的处理必须非常快。
种类
处理完搜索词后,搜索引擎排序程序开始工作,从索引数据库中找出所有收录该搜索词的网页,根据排名计算方法计算出哪些网页应该排在第一位,然后返回某种格式的“搜索”页面。
虽然排序过程在一两秒内返回用户想要的搜索结果,但实际上是一个非常复杂的过程。排名算法需要实时从索引数据库中查找所有相关页面,实时计算相关度,并添加过滤算法。它的复杂性是外人无法想象的。搜索引擎是当今最大和最复杂的计算系统之一。
如何提高外贸排名网站
要在搜索引擎上推广,首先要制作一个高质量的网站。从搜索引擎的标准看:一个高质量的网站包括硬件环境、软件环境、搜索引擎标准化、内容质量。
当搜索引擎的蜘蛛识别到一个网站时,它会主动爬取网站的网页。在爬取过程中,蜘蛛不仅会爬取网站的内容,还会爬取内部链结构、爬取速度、服务器响应速度等一系列技术指标。蜘蛛爬取完网页后,数据清洗系统会清洗网页数据。在这个过程中,搜索引擎会对数据的质量和原创进行判断,过滤掉优质内容,采集大量网页技术特征。指数。
搜索引擎对优质内容进行分词并计算相关度,然后将爬取过程中得到的网站技术指标和网页技术指标作为重要指标进行排序(俗称网站@ > 权重、网页权重),搜索引擎会考虑网页的链接关系(包括内部链接和外部链接)作为排名的依据,但外部链接关系的重要性正在逐年下降。同时,谷歌等搜索引擎也会采集用户访问行为来调整搜索引擎结果的排名。例如,如果某个网站经常被访问慢,那么会降低这个网站的权重;点击率(100人搜索某个<
搜索引擎每天都在重复上述过程,通过不断更新索引数据和排序算法,确保用户搜索到有价值的信息。所以外贸网站要想提高排名,最靠谱的办法就是提高网站的质量,给搜索引擎提供优质的内容,还有一些网站作弊通过SEO将始终处于某种算法中。更新过程中发现作弊,导致排名不稳定,甚至网站整体受到惩罚。
搜索引擎如何抓取网页(聚焦爬虫工作原理及关键技术的工作流程和关键技术概述)
网站优化 • 优采云 发表了文章 • 0 个评论 • 64 次浏览 • 2022-04-17 23:01
1 重点介绍爬虫的工作原理及关键技术概述
网络爬虫是一种自动提取网页的程序。它从互联网上为搜索引擎下载网页,是搜索引擎的重要组成部分。传统爬虫从一个或多个初始网页的URL开始,获取初始网页上的URL。在抓取网页的过程中,它不断地从当前页面中提取新的 URL 并放入队列中,直到满足系统的某些停止条件。焦点爬虫的工作流程比较复杂。它需要按照一定的网页分析算法过滤掉与主题无关的链接,保留有用的链接,并放入等待抓取的URL队列中。然后,它会根据一定的搜索策略从队列中选择下一个要爬取的网页URL,并重复上述过程,直到系统达到一定条件并停止。存储、执行一定的分析、过滤、建立索引,以供后续查询和检索;对于重点爬虫来说,这个过程中得到的分析结果也可以为后续的爬取过程提供反馈和指导。
与一般的网络爬虫相比,聚焦爬虫还需要解决三个主要问题:
(1) 抓取目标的描述或定义;
(2)网页或数据的分析和过滤;
(3) URL 的搜索策略。
爬取目标的描述和定义是决定如何制定网页分析算法和URL搜索策略的基础。网页分析算法和候选URL排序算法是确定搜索引擎提供的服务形式和爬虫爬取行为的关键。这两部分的算法密切相关。
2 抓取目标描述
现有的焦点爬虫对爬取目标的描述可以分为三种类型:基于目标网页的特征、基于目标数据模式和基于领域概念。
爬虫根据目标网页的特征爬取、存储和索引的对象一般为网站或网页。根据种子样品的获取方法,可分为:
(1) 预先给定的初始抓取种子样本;
(2)预先给定的网页类别和类别对应的种子样本,如Yahoo!类别结构等;
(3) 由用户行为决定的抓取目标示例分为:
a) 在用户浏览过程中显示标记的抓取样本;
b) 通过用户日志挖掘获取访问模式和相关样本。
网页特征可以是网页的内容特征,也可以是网页的链接结构特征等。
现有的焦点爬虫对爬取目标的描述或定义可以分为三种类型:基于目标网页的特征、基于目标数据模式和基于领域概念。
爬虫根据目标网页的特征爬取、存储和索引的对象一般为网站或网页。具体方法可以分为:(1)Pre-given初始抓取种子样本;(2)预先给定网页类别和类别对应的种子样本),如Yahoo!分类结构,等;(3)由用户行为决定的爬取目标样本。其中,网页特征可以是网页的内容特征,也可以是网页的链接结构特征等。
基于目标数据模式的爬虫针对网页上的数据,抓取到的数据一般符合一定的模式,或者可以转化或映射成目标数据模式。
另一种描述方式是构建目标域的本体或字典,用于从语义角度分析主题中不同特征的重要性。
3 网络搜索策略
网页抓取策略可以分为三种类型:深度优先、广度优先和最佳优先。深度优先在很多情况下会导致爬虫被困的问题。目前,广度优先和最佳优先方法很常见。
3.1 广度优先搜索策略
广度优先搜索策略是指在爬取过程中,完成当前一级搜索后,再进行下一级搜索。该算法的设计和实现比较简单。目前,为了覆盖尽可能多的网页,一般采用广度优先搜索方式。也有许多研究将广度优先搜索策略应用于聚焦爬虫。其基本思想是距初始 URL 一定链接距离内的网页具有较高的主题相关性概率。另一种方法是将广度优先搜索与网页过滤技术相结合,首先使用广度优先策略抓取网页,然后过滤掉不相关的页面。这些方法的缺点是随着爬取的网页数量的增加,大量无关的网页会被下载过滤,算法效率会变低。
3.2 最优优先级搜索策略
最佳优先级搜索策略是根据一定的网页分析算法预测候选URL与目标网页的相似度,或与主题的相关度,选择评价最好的一个或几个URL进行爬取。它只访问页面分析算法预测为“有用”的页面。一个问题是爬虫爬取路径上的许多相关网页可能会被忽略,因为最佳优先策略是局部最优搜索算法。因此,需要将最佳优先级与具体应用结合起来进行改进,从而跳出局部最优点。在第 4 节中,将结合网页分析算法进行详细讨论。研究表明,这样的闭环调整可以将不相关页面的数量减少 30% 到 90%。
4 网页分析算法
网页分析算法可以分为三类:基于网络拓扑、基于网页内容和基于用户访问行为。
4.1 基于网络拓扑的分析算法
基于网页之间的链接,通过已知的网页或数据,评估与其有直接或间接链接关系的对象(可以是网页或网站等)的算法。进一步分为三种:网页粒度、网站粒度和网页块粒度。
4.1.1 网页粒度分析算法
PageRank 和 HITS 算法是最常见的链接分析算法。两者都是通过网页间链接度的递归归一化计算得到每个网页的重要性。PageRank算法虽然考虑了用户访问行为的随机性和Sink网页的存在性,但忽略了大部分用户访问的目的性,即网页和查询主题链接的相关性。针对这个问题,HITS算法提出了两个关键概念:权威网页(authority)和中心网页(hub)。
基于链接的爬取问题是相关页面的主题组之间存在隧道现象,即爬取路径上很多偏离主题的页面也指向目标页面,局部评价策略中断了爬取行为当前路径。参考文献[21]提出了一种基于反向链接(BackLink)的层次上下文模型(Context Model),用于将目标网页一定物理跳半径内的网页拓扑图的中心Layer 0描述为目标网页。网页根据指向目标网页的物理跳数进行层次划分,外层网页到内层网页的链接称为反向链接。
4.1.2 网站粒度分析算法
网站粒度资源发现和管理策略也比网页粒度更简单有效。网站粒度爬取的关键是站点的划分和SiteRank的计算。SiteRank的计算方法与PageRank类似,但需要对网站之间的链接进行一定程度的抽象,并在一定模型下计算链接的权重。
网站划分分为两种:按域名划分和按IP地址划分。参考文献[18]讨论了分布式情况下,通过划分同一域名下不同主机和服务器的IP地址,构建站点地图,并采用类似于PageRank的方法评估SiteRank。同时,根据每个站点不同文件的分布情况,构建文档图,结合SiteRank分布式计算得到DocRank。参考文献[18]证明,使用分布式SiteRank计算不仅大大降低了单个站点的算法成本,而且克服了单个站点对全网覆盖范围有限的缺点。一个额外的好处是,常见的 PageRank 欺诈很难欺骗 SiteRank。
4.1.3 网页块粒度分析算法
一个页面往往收录多个指向其他页面的链接,而这些链接中只有一部分指向与主题相关的网页,或者根据网页的链接锚文本表明其重要性高。但是在PageRank和HITS算法中,这些链接是没有区分的,所以往往会给网页分析带来广告等噪声链接的干扰。块级链接分析算法的基本思想是通过VIPS网页切分算法将网页分成不同的页面块,然后为这些网页块创建page-to-block和block-block。to-page的链接矩阵分别表示为Z和X。因此,page-to-page图上的page block level的PageRank为Wp=X×Z; 在块到块图上的 BlockRank 是 Wb=Z×X。有人实现了块级PageRank和HITS算法,实验证明效率和准确率优于传统的对应算法。
4.2 基于网页内容的网页分析算法
基于网页内容的分析算法是指利用网页内容的特征(文本、数据等资源)对网页进行评价。网页内容已经从基于超文本的内容演变为动态页面(或称为隐藏网页)数据,后者的数据量约为直接可见页面数据(PIW,Publicly Indexable Web)的400~500%。次。另一方面,多媒体数据、Web Service等各种形式的网络资源日益丰富。因此,基于网页内容的分析算法也从最初的相对简单的文本检索方法发展到网页数据提取、机器学习、数据挖掘、语义理解等多种方法的综合应用。本节根据网页数据的不同形式,基于网页内容的分析算法分为以下三类:第一类是针对以文本和超链接为主的非结构化或非常简单的网页;二是对于结构化和数据源(如RDBMS)动态生成的页面,不能直接批量访问数据;第三类数据介于第一类和第二类数据之间,结构更好,表明它遵循一定的模式或风格。并且可以直接访问。 数据不能直接批量访问;第三类数据介于第一类和第二类数据之间,结构更好,表明它遵循一定的模式或风格。并且可以直接访问。 数据不能直接批量访问;第三类数据介于第一类和第二类数据之间,结构更好,表明它遵循一定的模式或风格。并且可以直接访问。 查看全部
搜索引擎如何抓取网页(聚焦爬虫工作原理及关键技术的工作流程和关键技术概述)
1 重点介绍爬虫的工作原理及关键技术概述
网络爬虫是一种自动提取网页的程序。它从互联网上为搜索引擎下载网页,是搜索引擎的重要组成部分。传统爬虫从一个或多个初始网页的URL开始,获取初始网页上的URL。在抓取网页的过程中,它不断地从当前页面中提取新的 URL 并放入队列中,直到满足系统的某些停止条件。焦点爬虫的工作流程比较复杂。它需要按照一定的网页分析算法过滤掉与主题无关的链接,保留有用的链接,并放入等待抓取的URL队列中。然后,它会根据一定的搜索策略从队列中选择下一个要爬取的网页URL,并重复上述过程,直到系统达到一定条件并停止。存储、执行一定的分析、过滤、建立索引,以供后续查询和检索;对于重点爬虫来说,这个过程中得到的分析结果也可以为后续的爬取过程提供反馈和指导。
与一般的网络爬虫相比,聚焦爬虫还需要解决三个主要问题:
(1) 抓取目标的描述或定义;
(2)网页或数据的分析和过滤;
(3) URL 的搜索策略。
爬取目标的描述和定义是决定如何制定网页分析算法和URL搜索策略的基础。网页分析算法和候选URL排序算法是确定搜索引擎提供的服务形式和爬虫爬取行为的关键。这两部分的算法密切相关。
2 抓取目标描述
现有的焦点爬虫对爬取目标的描述可以分为三种类型:基于目标网页的特征、基于目标数据模式和基于领域概念。
爬虫根据目标网页的特征爬取、存储和索引的对象一般为网站或网页。根据种子样品的获取方法,可分为:
(1) 预先给定的初始抓取种子样本;
(2)预先给定的网页类别和类别对应的种子样本,如Yahoo!类别结构等;
(3) 由用户行为决定的抓取目标示例分为:
a) 在用户浏览过程中显示标记的抓取样本;
b) 通过用户日志挖掘获取访问模式和相关样本。
网页特征可以是网页的内容特征,也可以是网页的链接结构特征等。
现有的焦点爬虫对爬取目标的描述或定义可以分为三种类型:基于目标网页的特征、基于目标数据模式和基于领域概念。
爬虫根据目标网页的特征爬取、存储和索引的对象一般为网站或网页。具体方法可以分为:(1)Pre-given初始抓取种子样本;(2)预先给定网页类别和类别对应的种子样本),如Yahoo!分类结构,等;(3)由用户行为决定的爬取目标样本。其中,网页特征可以是网页的内容特征,也可以是网页的链接结构特征等。
基于目标数据模式的爬虫针对网页上的数据,抓取到的数据一般符合一定的模式,或者可以转化或映射成目标数据模式。
另一种描述方式是构建目标域的本体或字典,用于从语义角度分析主题中不同特征的重要性。
3 网络搜索策略
网页抓取策略可以分为三种类型:深度优先、广度优先和最佳优先。深度优先在很多情况下会导致爬虫被困的问题。目前,广度优先和最佳优先方法很常见。
3.1 广度优先搜索策略
广度优先搜索策略是指在爬取过程中,完成当前一级搜索后,再进行下一级搜索。该算法的设计和实现比较简单。目前,为了覆盖尽可能多的网页,一般采用广度优先搜索方式。也有许多研究将广度优先搜索策略应用于聚焦爬虫。其基本思想是距初始 URL 一定链接距离内的网页具有较高的主题相关性概率。另一种方法是将广度优先搜索与网页过滤技术相结合,首先使用广度优先策略抓取网页,然后过滤掉不相关的页面。这些方法的缺点是随着爬取的网页数量的增加,大量无关的网页会被下载过滤,算法效率会变低。
3.2 最优优先级搜索策略
最佳优先级搜索策略是根据一定的网页分析算法预测候选URL与目标网页的相似度,或与主题的相关度,选择评价最好的一个或几个URL进行爬取。它只访问页面分析算法预测为“有用”的页面。一个问题是爬虫爬取路径上的许多相关网页可能会被忽略,因为最佳优先策略是局部最优搜索算法。因此,需要将最佳优先级与具体应用结合起来进行改进,从而跳出局部最优点。在第 4 节中,将结合网页分析算法进行详细讨论。研究表明,这样的闭环调整可以将不相关页面的数量减少 30% 到 90%。
4 网页分析算法
网页分析算法可以分为三类:基于网络拓扑、基于网页内容和基于用户访问行为。
4.1 基于网络拓扑的分析算法
基于网页之间的链接,通过已知的网页或数据,评估与其有直接或间接链接关系的对象(可以是网页或网站等)的算法。进一步分为三种:网页粒度、网站粒度和网页块粒度。
4.1.1 网页粒度分析算法
PageRank 和 HITS 算法是最常见的链接分析算法。两者都是通过网页间链接度的递归归一化计算得到每个网页的重要性。PageRank算法虽然考虑了用户访问行为的随机性和Sink网页的存在性,但忽略了大部分用户访问的目的性,即网页和查询主题链接的相关性。针对这个问题,HITS算法提出了两个关键概念:权威网页(authority)和中心网页(hub)。
基于链接的爬取问题是相关页面的主题组之间存在隧道现象,即爬取路径上很多偏离主题的页面也指向目标页面,局部评价策略中断了爬取行为当前路径。参考文献[21]提出了一种基于反向链接(BackLink)的层次上下文模型(Context Model),用于将目标网页一定物理跳半径内的网页拓扑图的中心Layer 0描述为目标网页。网页根据指向目标网页的物理跳数进行层次划分,外层网页到内层网页的链接称为反向链接。
4.1.2 网站粒度分析算法
网站粒度资源发现和管理策略也比网页粒度更简单有效。网站粒度爬取的关键是站点的划分和SiteRank的计算。SiteRank的计算方法与PageRank类似,但需要对网站之间的链接进行一定程度的抽象,并在一定模型下计算链接的权重。
网站划分分为两种:按域名划分和按IP地址划分。参考文献[18]讨论了分布式情况下,通过划分同一域名下不同主机和服务器的IP地址,构建站点地图,并采用类似于PageRank的方法评估SiteRank。同时,根据每个站点不同文件的分布情况,构建文档图,结合SiteRank分布式计算得到DocRank。参考文献[18]证明,使用分布式SiteRank计算不仅大大降低了单个站点的算法成本,而且克服了单个站点对全网覆盖范围有限的缺点。一个额外的好处是,常见的 PageRank 欺诈很难欺骗 SiteRank。
4.1.3 网页块粒度分析算法
一个页面往往收录多个指向其他页面的链接,而这些链接中只有一部分指向与主题相关的网页,或者根据网页的链接锚文本表明其重要性高。但是在PageRank和HITS算法中,这些链接是没有区分的,所以往往会给网页分析带来广告等噪声链接的干扰。块级链接分析算法的基本思想是通过VIPS网页切分算法将网页分成不同的页面块,然后为这些网页块创建page-to-block和block-block。to-page的链接矩阵分别表示为Z和X。因此,page-to-page图上的page block level的PageRank为Wp=X×Z; 在块到块图上的 BlockRank 是 Wb=Z×X。有人实现了块级PageRank和HITS算法,实验证明效率和准确率优于传统的对应算法。
4.2 基于网页内容的网页分析算法
基于网页内容的分析算法是指利用网页内容的特征(文本、数据等资源)对网页进行评价。网页内容已经从基于超文本的内容演变为动态页面(或称为隐藏网页)数据,后者的数据量约为直接可见页面数据(PIW,Publicly Indexable Web)的400~500%。次。另一方面,多媒体数据、Web Service等各种形式的网络资源日益丰富。因此,基于网页内容的分析算法也从最初的相对简单的文本检索方法发展到网页数据提取、机器学习、数据挖掘、语义理解等多种方法的综合应用。本节根据网页数据的不同形式,基于网页内容的分析算法分为以下三类:第一类是针对以文本和超链接为主的非结构化或非常简单的网页;二是对于结构化和数据源(如RDBMS)动态生成的页面,不能直接批量访问数据;第三类数据介于第一类和第二类数据之间,结构更好,表明它遵循一定的模式或风格。并且可以直接访问。 数据不能直接批量访问;第三类数据介于第一类和第二类数据之间,结构更好,表明它遵循一定的模式或风格。并且可以直接访问。 数据不能直接批量访问;第三类数据介于第一类和第二类数据之间,结构更好,表明它遵循一定的模式或风格。并且可以直接访问。
搜索引擎如何抓取网页(搜索引擎处理的主要对象是宽度()优先,兼顾深度的遍历策略)
网站优化 • 优采云 发表了文章 • 0 个评论 • 111 次浏览 • 2022-04-17 22:55
搜索引擎处理的主要对象是海量网页。一方面是为了节省带宽、计算和存储资源,另一方面是利用有限的资源抓取最有价值的网页,满足用户搜索需求。在处理海量网页时会有一定的策略。本文简要介绍了宽度(breadth)优先等主流网络爬取策略,兼顾深度遍历策略、非重复爬取策略、大站点优先级策略、不完全PageRank策略、OCIP策略、合作爬取策略。
1、宽度(宽度)优先,考虑到遍历策略的深度;
① 使用广度优先的理由:
重要的网页通常更靠近 torrent 网站;万维网的深度并没有我们想象的那么深,但是却出乎意料的宽广(中国万维网的直径只有17,也就是说任意两个页面之间点击17次就可以访问)。到达);
宽度优先有利于多爬虫协同爬行;
② 广度优先的存在会带来不良后果:
容易导致爬虫陷入死循环,不该抓取的重复抓取;
没有机会去抢该抢的;
③ 解决以上两个缺点的方法是深度抓取策略(Depth-First Trsversal)和非重复抓取策略
④ 为了防止爬虫以无限广度优先爬行,必须限制在一定深度。达到这个深度后,爬行停止。这个深度就是万维网的直径。当爬取在最大深度处停止时,总是希望从其他洪流站点更经济地访问太深的未爬取页面。限制抓取深度打破了无限循环的条件,即使发生有限次数后也会停止。
⑤ 评价:
宽度(breadth)优先,考虑到遍历策略的深度,可以有效保证爬取过程的封闭性,即在爬取过程中(遍历路径)始终爬取同域名下的网页,很少出现在其他域名网页。
2、不重复爬取策略
只需对改动较小的网页进行一次抓取,避免重复抓取占用大量CPU和带宽资源,从而在有限的资源区域内抓取更重要、质量更高的网页。
3、激光站点优先
通常大尺度的网站都是高质量的内容,网页的质量一般都比较高。以网站为单位衡量网页的重要性有一定的依据。对于URL队列中待爬取的网页,根据等待下载的页面数确定下载优先级。
4、部分PageRank
对于下载的网页(不完整的互联网页面的子集),与待爬取的URL队列中的URL一起形成一个网页集合,并在该集合中进行PageRank计算;URL队列中的网页按照PageRank分数从高到低排序,形成的序列就是爬虫接下来应该爬取的URL列表。
由于PageRank是全局算法,即当所有网页都下载完毕后,计算结果是可靠的,但爬虫在爬取过程中只能接触到部分网页,因此在爬取页面时并不可靠。PageRank 是计算出来的,所以称为不完全 PageRank 策略。
5、OCIP策略(在线页面重要性计算)
OCIP字面意思是“在线页面重要性计算”,是一种改进的PageRank算法。在算法开始之前,每个 Internet 页面都被分配了相同的值。每当下载某个页面 P 时,P 将其拥有的值平均分配给该页面中收录的链接,同时清除自己的值。对于URL队列中待爬取的网页,按照手头的值排序,先下载值较大的网页。
6、合作抓取策略(抓取加速策略)
增加爬虫数量可以提高整体的爬取速度,但是工作量需要划分到不同的网络爬虫中,保证分工明确,防止多个爬虫爬取同一个页面,浪费资源。
① 通过网页主机的IP地址进行分解,使得爬虫只爬取某个地址段的网页
对于中小型网站,出于经济原因,通常在一台服务器上提供不同的Web服务,使多个域名对应一个IP段;但大型网站如新浪、搜狐@>通常采用负载均衡的IP组技术,同一个域名对应多个IP地址。所以这种方式不方便
② 通过网页的域名进行分解,使得爬虫只抓取某个域名段的网页
将不同的域名分配给不同的爬虫进行爬取,一个爬虫只爬取一组固定域名下的网页;这确保了大型 网站 网页不会被重复爬取,即使是中小型 网站 爬取分配任务的可接受策略。因此,为了攻占大网站,遵循域名分解的策略更为合理。
内容教条,主要用来梳理常识用法。
这位先生致力于探索网络上的重大趣事,分享干货,偶尔抱怨,偶尔开车,调侃你的三观,透支你的诚信,请谨慎关注。 查看全部
搜索引擎如何抓取网页(搜索引擎处理的主要对象是宽度()优先,兼顾深度的遍历策略)
搜索引擎处理的主要对象是海量网页。一方面是为了节省带宽、计算和存储资源,另一方面是利用有限的资源抓取最有价值的网页,满足用户搜索需求。在处理海量网页时会有一定的策略。本文简要介绍了宽度(breadth)优先等主流网络爬取策略,兼顾深度遍历策略、非重复爬取策略、大站点优先级策略、不完全PageRank策略、OCIP策略、合作爬取策略。
1、宽度(宽度)优先,考虑到遍历策略的深度;
① 使用广度优先的理由:
重要的网页通常更靠近 torrent 网站;万维网的深度并没有我们想象的那么深,但是却出乎意料的宽广(中国万维网的直径只有17,也就是说任意两个页面之间点击17次就可以访问)。到达);
宽度优先有利于多爬虫协同爬行;
② 广度优先的存在会带来不良后果:
容易导致爬虫陷入死循环,不该抓取的重复抓取;
没有机会去抢该抢的;
③ 解决以上两个缺点的方法是深度抓取策略(Depth-First Trsversal)和非重复抓取策略
④ 为了防止爬虫以无限广度优先爬行,必须限制在一定深度。达到这个深度后,爬行停止。这个深度就是万维网的直径。当爬取在最大深度处停止时,总是希望从其他洪流站点更经济地访问太深的未爬取页面。限制抓取深度打破了无限循环的条件,即使发生有限次数后也会停止。
⑤ 评价:
宽度(breadth)优先,考虑到遍历策略的深度,可以有效保证爬取过程的封闭性,即在爬取过程中(遍历路径)始终爬取同域名下的网页,很少出现在其他域名网页。
2、不重复爬取策略
只需对改动较小的网页进行一次抓取,避免重复抓取占用大量CPU和带宽资源,从而在有限的资源区域内抓取更重要、质量更高的网页。
3、激光站点优先
通常大尺度的网站都是高质量的内容,网页的质量一般都比较高。以网站为单位衡量网页的重要性有一定的依据。对于URL队列中待爬取的网页,根据等待下载的页面数确定下载优先级。
4、部分PageRank
对于下载的网页(不完整的互联网页面的子集),与待爬取的URL队列中的URL一起形成一个网页集合,并在该集合中进行PageRank计算;URL队列中的网页按照PageRank分数从高到低排序,形成的序列就是爬虫接下来应该爬取的URL列表。
由于PageRank是全局算法,即当所有网页都下载完毕后,计算结果是可靠的,但爬虫在爬取过程中只能接触到部分网页,因此在爬取页面时并不可靠。PageRank 是计算出来的,所以称为不完全 PageRank 策略。
5、OCIP策略(在线页面重要性计算)
OCIP字面意思是“在线页面重要性计算”,是一种改进的PageRank算法。在算法开始之前,每个 Internet 页面都被分配了相同的值。每当下载某个页面 P 时,P 将其拥有的值平均分配给该页面中收录的链接,同时清除自己的值。对于URL队列中待爬取的网页,按照手头的值排序,先下载值较大的网页。
6、合作抓取策略(抓取加速策略)
增加爬虫数量可以提高整体的爬取速度,但是工作量需要划分到不同的网络爬虫中,保证分工明确,防止多个爬虫爬取同一个页面,浪费资源。
① 通过网页主机的IP地址进行分解,使得爬虫只爬取某个地址段的网页
对于中小型网站,出于经济原因,通常在一台服务器上提供不同的Web服务,使多个域名对应一个IP段;但大型网站如新浪、搜狐@>通常采用负载均衡的IP组技术,同一个域名对应多个IP地址。所以这种方式不方便
② 通过网页的域名进行分解,使得爬虫只抓取某个域名段的网页
将不同的域名分配给不同的爬虫进行爬取,一个爬虫只爬取一组固定域名下的网页;这确保了大型 网站 网页不会被重复爬取,即使是中小型 网站 爬取分配任务的可接受策略。因此,为了攻占大网站,遵循域名分解的策略更为合理。
内容教条,主要用来梳理常识用法。
这位先生致力于探索网络上的重大趣事,分享干货,偶尔抱怨,偶尔开车,调侃你的三观,透支你的诚信,请谨慎关注。
搜索引擎如何抓取网页(如何提高搜索引擎抓取频率和SEO三大技巧吸引搜索引擎新发展)
网站优化 • 优采云 发表了文章 • 0 个评论 • 95 次浏览 • 2022-04-14 22:23
作为网站优化的业内人士,在研究优化的时候,我们会根据当前的情况进行适当的改动,主要目的是为了排名。但是,您还应该注意搜索引擎抓取 网站文章 的频率。那么如何提高搜索引擎的抓取频率呢?这是很多朋友都想深入学习的。
然后我将与大家分享吸引搜索引擎新发展的三大SEO技巧,让您进一步了解这些信息。下面小编将为大家详细介绍如何提高搜索引擎爬取的频率以及吸引搜索引擎新发展的三大SEO技巧。
一、如何提高搜索引擎爬取的频率
在工作过程中,很多seoer希望搜索引擎能够快速爬取自己的网页,但是对于很多公司来说,网站已经建了半年多了,但是收录@还是很少的>。
对于网站,光做表面的努力是不够的,还需要做好工作的基础操作,比如网站404页面创建等,告诉搜索引擎蜘蛛什么有死链接,
为防止搜索引擎陷入死链接陷阱,让搜索引擎更容易抓取网站页面,如何提高搜索引擎的抓取频率?我会给你一些seo技巧。
1、网站内容更新
搜索引擎只抓取单个页面的内容,而不是所有页面,这也是搜索引擎更新网页快照所需时间更短的原因。例如,对于频繁更新的页面,快照也会被频繁爬取。
这样可以及时发现新的内容和链接,删除不存在的信息。因此,站长必须长期坚持更新网页,这样搜索引擎爬虫才能稳定爬取。
2、网站框架设计
网站的内部框架的设计需要从多方面进行。其中,代码需要尽量简洁明了。过多的代码很容易导致页面过大,影响网络爬虫的爬取速度。
在爬取网站的同时,网页flash图片要尽量少。flash 格式的内容会影响蜘蛛爬行。对于新的网站@网站的页面很容易被爬取,
设计中锚文本要合理分布,不能全部关键词,适当添加一些长尾词链接。内部链接设计也应该是通畅的,以方便权重的传递。
3、网站导航设计
网站面包屑导航是网站很多公司在设计时忽略的地方。导航是蜘蛛爬行的关键。如果网站导航不清晰,那么搜索引擎在抓取的时候很容易迷路,所以必须合理设计导航。
顺便说一下,这里提到了锚文本构造。站点上的锚文本有助于网络爬虫发现和爬取站点上的更多网页。但是,如果锚文本过多,容易被认为是刻意调整,设计时要把握锚文本的数量。
4、稳定的更新频率
除了首页的设计,网站还有其他页面。爬虫在爬取时不会索引 网站 上的所有页面,并且可能会爬取足够多的页面以在找到重要页面之前离开。
因此,需要保持一定的更新频率。可以轻松爬取频繁更新的页面,因此可以自动爬取大量页面。同时,要注意网站关卡的设计,不能太多,否则不利于网站抓取。
除了以上几点,企业在构建网站时,必须从一开始就打好基础,搭建有利于搜索引擎爬取的框架结构。
后期稳定网站更新,专注优质内容,打造优质内容,让即使是新站也能在短时间内提升自己的排名和收录@>。
二、SEO优化的三大要点
很多人不知道企业为什么要做SEO优化。企业网站的最终目的是完成流量转化,从而达到直销或品牌建设的目的。
虽然有很多方法可以促进网络营销,但没有一个能像SEO优化那样有吸引力。
1、网页内容体验的评价指标——浏览体验分析。
根据网页质量的不同,搜索引擎对网页的评价也大相径庭。就百度搜索引擎而言,部分网页广告较多,网页存在诸多安全隐患。
例如,当携带木马病毒时,搜索引擎是无情的。目前,百度搜索引擎主要从内容布局、广告影响力、访问速度等几个方面来判断网页内容的质量。
内容布局是网页最基本的元素,主要体现在文字大小一致、段落层次、段落对齐等方面。广告的影响主要体现在一些网站的弹窗和自带广告是否影响用户的阅读行为。
访问速度主要是指网站空间服务器的访问速度,让用户停留时间不要超过5秒,否则用户很可能会离开我们的网站。
2、网页内容新鲜度评价——网页信息有效性分析。
自互联网发展以来,信息充斥着整个网络,但现在无论是搜索引擎还是用户都对信息的有效性非常敏感。
无论是企业网站还是信息网站,信息的有效性都是我们网站内容吸引用户的法宝。
都可以作为网页内容的来源素材,而这些信息资源也是搜索引擎分析和检验我们网站内容新鲜度的一个非常重要的指标。
3、百度搜索引擎评价网站-内容质量的基本指标。
我们知道百度搜索引擎在考虑网站文章的时候有很多细节因素,下面的细节一定要做得足够,首先是成本因素,成本就是内容生产能量的付出和投入,
这很容易理解。文章或本人原创或本人原创抄袭并配图说明的文章成本价值不言而喻,内容完整。诚信主要体现在,
一篇文章文章能否流利地表达文章的主题,清晰明了;信息的真实性和有效性是指文章中的信息是随意创作的,还是自己写的,还是用心写的。专业性非常突出。
以上就是SEO优化吸引搜索引擎的三种技巧。另外,我们应该非常清楚自己要优化的搜索引擎的偏好。作为中国最大的搜索引擎百度,
它是中国用户数量最多的搜索引擎。那么,在优化的过程中,除了尽力而为之外,还需要了解搜索引擎和百度。
温馨提示:以上是关于【提高搜索引擎爬取频率技巧SEO优化和吸引力三点】的相关内容介绍,希望对您有所帮助。更多相关知识内容,请关注优搜云后续更新!
编者按:本文由优搜云编辑发布。如需咨询相关合作服务,请扫码加微信。添加微信好友后,有好礼!
【无干货,无分享】欢迎在微信公众号搜索【有素课堂】,关注有素云微课堂,第一时间开放内部SEO、建站、营销干货。赠品:每天关注的前10名用户将获得干货大礼包! 查看全部
搜索引擎如何抓取网页(如何提高搜索引擎抓取频率和SEO三大技巧吸引搜索引擎新发展)
作为网站优化的业内人士,在研究优化的时候,我们会根据当前的情况进行适当的改动,主要目的是为了排名。但是,您还应该注意搜索引擎抓取 网站文章 的频率。那么如何提高搜索引擎的抓取频率呢?这是很多朋友都想深入学习的。

然后我将与大家分享吸引搜索引擎新发展的三大SEO技巧,让您进一步了解这些信息。下面小编将为大家详细介绍如何提高搜索引擎爬取的频率以及吸引搜索引擎新发展的三大SEO技巧。
一、如何提高搜索引擎爬取的频率
在工作过程中,很多seoer希望搜索引擎能够快速爬取自己的网页,但是对于很多公司来说,网站已经建了半年多了,但是收录@还是很少的>。
对于网站,光做表面的努力是不够的,还需要做好工作的基础操作,比如网站404页面创建等,告诉搜索引擎蜘蛛什么有死链接,
为防止搜索引擎陷入死链接陷阱,让搜索引擎更容易抓取网站页面,如何提高搜索引擎的抓取频率?我会给你一些seo技巧。
1、网站内容更新
搜索引擎只抓取单个页面的内容,而不是所有页面,这也是搜索引擎更新网页快照所需时间更短的原因。例如,对于频繁更新的页面,快照也会被频繁爬取。
这样可以及时发现新的内容和链接,删除不存在的信息。因此,站长必须长期坚持更新网页,这样搜索引擎爬虫才能稳定爬取。
2、网站框架设计
网站的内部框架的设计需要从多方面进行。其中,代码需要尽量简洁明了。过多的代码很容易导致页面过大,影响网络爬虫的爬取速度。
在爬取网站的同时,网页flash图片要尽量少。flash 格式的内容会影响蜘蛛爬行。对于新的网站@网站的页面很容易被爬取,
设计中锚文本要合理分布,不能全部关键词,适当添加一些长尾词链接。内部链接设计也应该是通畅的,以方便权重的传递。
3、网站导航设计
网站面包屑导航是网站很多公司在设计时忽略的地方。导航是蜘蛛爬行的关键。如果网站导航不清晰,那么搜索引擎在抓取的时候很容易迷路,所以必须合理设计导航。
顺便说一下,这里提到了锚文本构造。站点上的锚文本有助于网络爬虫发现和爬取站点上的更多网页。但是,如果锚文本过多,容易被认为是刻意调整,设计时要把握锚文本的数量。
4、稳定的更新频率
除了首页的设计,网站还有其他页面。爬虫在爬取时不会索引 网站 上的所有页面,并且可能会爬取足够多的页面以在找到重要页面之前离开。
因此,需要保持一定的更新频率。可以轻松爬取频繁更新的页面,因此可以自动爬取大量页面。同时,要注意网站关卡的设计,不能太多,否则不利于网站抓取。
除了以上几点,企业在构建网站时,必须从一开始就打好基础,搭建有利于搜索引擎爬取的框架结构。
后期稳定网站更新,专注优质内容,打造优质内容,让即使是新站也能在短时间内提升自己的排名和收录@>。
二、SEO优化的三大要点
很多人不知道企业为什么要做SEO优化。企业网站的最终目的是完成流量转化,从而达到直销或品牌建设的目的。
虽然有很多方法可以促进网络营销,但没有一个能像SEO优化那样有吸引力。
1、网页内容体验的评价指标——浏览体验分析。
根据网页质量的不同,搜索引擎对网页的评价也大相径庭。就百度搜索引擎而言,部分网页广告较多,网页存在诸多安全隐患。
例如,当携带木马病毒时,搜索引擎是无情的。目前,百度搜索引擎主要从内容布局、广告影响力、访问速度等几个方面来判断网页内容的质量。
内容布局是网页最基本的元素,主要体现在文字大小一致、段落层次、段落对齐等方面。广告的影响主要体现在一些网站的弹窗和自带广告是否影响用户的阅读行为。
访问速度主要是指网站空间服务器的访问速度,让用户停留时间不要超过5秒,否则用户很可能会离开我们的网站。
2、网页内容新鲜度评价——网页信息有效性分析。
自互联网发展以来,信息充斥着整个网络,但现在无论是搜索引擎还是用户都对信息的有效性非常敏感。
无论是企业网站还是信息网站,信息的有效性都是我们网站内容吸引用户的法宝。
都可以作为网页内容的来源素材,而这些信息资源也是搜索引擎分析和检验我们网站内容新鲜度的一个非常重要的指标。
3、百度搜索引擎评价网站-内容质量的基本指标。
我们知道百度搜索引擎在考虑网站文章的时候有很多细节因素,下面的细节一定要做得足够,首先是成本因素,成本就是内容生产能量的付出和投入,
这很容易理解。文章或本人原创或本人原创抄袭并配图说明的文章成本价值不言而喻,内容完整。诚信主要体现在,
一篇文章文章能否流利地表达文章的主题,清晰明了;信息的真实性和有效性是指文章中的信息是随意创作的,还是自己写的,还是用心写的。专业性非常突出。
以上就是SEO优化吸引搜索引擎的三种技巧。另外,我们应该非常清楚自己要优化的搜索引擎的偏好。作为中国最大的搜索引擎百度,
它是中国用户数量最多的搜索引擎。那么,在优化的过程中,除了尽力而为之外,还需要了解搜索引擎和百度。
温馨提示:以上是关于【提高搜索引擎爬取频率技巧SEO优化和吸引力三点】的相关内容介绍,希望对您有所帮助。更多相关知识内容,请关注优搜云后续更新!
编者按:本文由优搜云编辑发布。如需咨询相关合作服务,请扫码加微信。添加微信好友后,有好礼!

【无干货,无分享】欢迎在微信公众号搜索【有素课堂】,关注有素云微课堂,第一时间开放内部SEO、建站、营销干货。赠品:每天关注的前10名用户将获得干货大礼包!
搜索引擎如何抓取网页(本文简单的分析了爬虫抓取网页的一些与大家同享)
网站优化 • 优采云 发表了文章 • 0 个评论 • 113 次浏览 • 2022-04-14 22:19
本文简要分析了爬取网页的一些基本原理,供爬虫分享给大家。基本可以了解网页的几个排名因素:链接建设和网页布局。多多体会,写不好别骂。谢谢!
爬虫的工作原理包括爬取、策略和存储。爬行是爬虫的基本劳动过程,策略是爬虫的智能中心,存储是爬虫劳动的结果。
1:从种子网站开始爬取
基于万维网的蝴蝶形结构和非线性的网络组织结构,会出现爬取顺序的问题,而这种爬取顺序的策略必须保证尽可能多的爬取所有网页。
一般来说,爬行者选择在蝴蝶形状左侧的结构上爬行作为爬行的起点。典型的门户网站主页网站 和 ,每次爬取网页后分析URL。链接是指向其他网页的 URL,可引导爬虫抓取其他网页。(基于此,我们可以初步了解引擎从左到右,从上到下抓取的原因)
a:深度优先遍历
深度优先遍历策略类似于家族继承策略。典型的例子是封建皇帝的继承,通常是长子。如果长子死了,长孙的优先权要高于次子的优先权(这点要仔细分析考虑),如果长子和长孙都去世了,那么次子继承。这种继承中的优先级关系也称为深度优先策略。(从这点我们就可以理解蜘蛛爬列页面的顺序了)
b:广度优先遍历
广度优先也称为广度优先或水平优先。例如,当我们为祖父母、父亲和同龄人提供茶水时,我们首先给最年长的祖父,然后是父母,最后是同龄人。这个策略也被采纳了。使用基于有限宽度的策略有三个主要原因:
1>首页的重要网页往往离种子更近。例如,当我们打开新闻站时,往往是最热门的新闻。随着浏览的不断深入,PV值越来越高,我们看到的网页的重要性越来越低。
2>万维网的实际深度最高可达17层,到某个网页的路径很深,但总有一条很短的路径。
3>广度优先有利于多爬虫的协同爬取(Mozk是基于前人的数据分析和IIS日志分析,暂且,如有不同意见,欢迎讨论交流),合作的多爬虫一般先在站内抢连接,遇到站内。然后外连接开始抓取,抓取非常封闭。
附:链接的优化避免了爬取链接的死循环,也避免了要爬取的资源没有爬取,大量的资源被浪费在无用的工作上。(如何建立合理的内链可以参考小站)。
2:网页抓取优先策略
网页的爬取优先策略也称为“页面选择问题”,通常对重要的网页进行爬取,以保证有限的资源(爬虫、服务器负载)尽可能地照顾到高度重要的网页。点应该很好理解。
那么哪些页面是重要页面呢?
判断网页重要性的因素很多,主要包括链接流行度(知道链接的重要性)、链接重要性和平均深度链接、网站质量、历史权重等主要因素。
链接的受欢迎程度主要取决于反向链接的数量和质量,我们将其定义为 IB(P)。
链接的重要性是 URL 字符串的函数。它只检查字符串本身。例如,“.com”和“home”的URL重要性被认为高于“.cc”和“map”(这是一个例子,不是绝对值)。,就像我们平时默认首页索引一样。**,你也可以定义其他名字,排名是综合因素,com的排名不一定好,只是一个小因素),我们定义为IL( )
平均链接深度,我个人看到的,根据上面首先分析的广度原理计算出整个站点的平均链接深度,然后认为离种子站点越近,重要性越高。我们定义为 ID(P)
我们将网页的重要性定义为 I(P)
所以:
I(p)=X*IB(P)+Y*IL(P)
ID(P)是由广度优先遍历规则保证的,所以不作为重要的指标函数。为了保证爬取重要性高的页面,这样的爬取是完全合理和科学的。
本文第一点是解释点,第二点是分析点。文笔不太好,请多多体验。
SEO的目标是提高网站的质量,提高网站的质量是提高网站的用户体验友好度,提高网站@的最终目的> 用户优化是让SE去做常规工作。青树,以上是莫兹克的拙见。毕竟,SEO是排名的逆向推理过程。不可能万事大吉。这只是对数据的分析。任何信息仅供参考。肖战,Mozk和你一起学习SEO。 查看全部
搜索引擎如何抓取网页(本文简单的分析了爬虫抓取网页的一些与大家同享)
本文简要分析了爬取网页的一些基本原理,供爬虫分享给大家。基本可以了解网页的几个排名因素:链接建设和网页布局。多多体会,写不好别骂。谢谢!
爬虫的工作原理包括爬取、策略和存储。爬行是爬虫的基本劳动过程,策略是爬虫的智能中心,存储是爬虫劳动的结果。
1:从种子网站开始爬取
基于万维网的蝴蝶形结构和非线性的网络组织结构,会出现爬取顺序的问题,而这种爬取顺序的策略必须保证尽可能多的爬取所有网页。
一般来说,爬行者选择在蝴蝶形状左侧的结构上爬行作为爬行的起点。典型的门户网站主页网站 和 ,每次爬取网页后分析URL。链接是指向其他网页的 URL,可引导爬虫抓取其他网页。(基于此,我们可以初步了解引擎从左到右,从上到下抓取的原因)
a:深度优先遍历
深度优先遍历策略类似于家族继承策略。典型的例子是封建皇帝的继承,通常是长子。如果长子死了,长孙的优先权要高于次子的优先权(这点要仔细分析考虑),如果长子和长孙都去世了,那么次子继承。这种继承中的优先级关系也称为深度优先策略。(从这点我们就可以理解蜘蛛爬列页面的顺序了)
b:广度优先遍历
广度优先也称为广度优先或水平优先。例如,当我们为祖父母、父亲和同龄人提供茶水时,我们首先给最年长的祖父,然后是父母,最后是同龄人。这个策略也被采纳了。使用基于有限宽度的策略有三个主要原因:
1>首页的重要网页往往离种子更近。例如,当我们打开新闻站时,往往是最热门的新闻。随着浏览的不断深入,PV值越来越高,我们看到的网页的重要性越来越低。
2>万维网的实际深度最高可达17层,到某个网页的路径很深,但总有一条很短的路径。
3>广度优先有利于多爬虫的协同爬取(Mozk是基于前人的数据分析和IIS日志分析,暂且,如有不同意见,欢迎讨论交流),合作的多爬虫一般先在站内抢连接,遇到站内。然后外连接开始抓取,抓取非常封闭。
附:链接的优化避免了爬取链接的死循环,也避免了要爬取的资源没有爬取,大量的资源被浪费在无用的工作上。(如何建立合理的内链可以参考小站)。
2:网页抓取优先策略
网页的爬取优先策略也称为“页面选择问题”,通常对重要的网页进行爬取,以保证有限的资源(爬虫、服务器负载)尽可能地照顾到高度重要的网页。点应该很好理解。
那么哪些页面是重要页面呢?
判断网页重要性的因素很多,主要包括链接流行度(知道链接的重要性)、链接重要性和平均深度链接、网站质量、历史权重等主要因素。
链接的受欢迎程度主要取决于反向链接的数量和质量,我们将其定义为 IB(P)。
链接的重要性是 URL 字符串的函数。它只检查字符串本身。例如,“.com”和“home”的URL重要性被认为高于“.cc”和“map”(这是一个例子,不是绝对值)。,就像我们平时默认首页索引一样。**,你也可以定义其他名字,排名是综合因素,com的排名不一定好,只是一个小因素),我们定义为IL( )
平均链接深度,我个人看到的,根据上面首先分析的广度原理计算出整个站点的平均链接深度,然后认为离种子站点越近,重要性越高。我们定义为 ID(P)
我们将网页的重要性定义为 I(P)
所以:
I(p)=X*IB(P)+Y*IL(P)
ID(P)是由广度优先遍历规则保证的,所以不作为重要的指标函数。为了保证爬取重要性高的页面,这样的爬取是完全合理和科学的。
本文第一点是解释点,第二点是分析点。文笔不太好,请多多体验。
SEO的目标是提高网站的质量,提高网站的质量是提高网站的用户体验友好度,提高网站@的最终目的> 用户优化是让SE去做常规工作。青树,以上是莫兹克的拙见。毕竟,SEO是排名的逆向推理过程。不可能万事大吉。这只是对数据的分析。任何信息仅供参考。肖战,Mozk和你一起学习SEO。
搜索引擎如何抓取网页(如何只禁止百度搜索引擎抓取收录网页的任何部分。。)
网站优化 • 优采云 发表了文章 • 0 个评论 • 132 次浏览 • 2022-04-14 03:15
一、robots.txt方法
搜索引擎默认遵循 robots.txt 协议。创建 robots.txt 文本文件并将其放在 网站 根目录中。编辑代码如下:
用户代理: *
不允许: /
通过上面的代码,可以告诉搜索引擎不要抓取,取收录this网站,小心使用上面的代码:这会禁止所有搜索引擎访问网站@的任何部分>。
如何只阻止百度搜索引擎收录抓取网页
1、编辑 robots.txt 文件并将标签设计为:
用户代理:百度蜘蛛
不允许: /
以上 robots 文件将禁止所有来自百度的抓取。
先说百度的user-agent,Baiduspider的user-agent是什么?
百度产品使用不同的用户代理:
产品名称对应user-agent
无线搜索百度蜘蛛
图片搜索Baiduspider-image
视频搜索百度蜘蛛-视频
新闻搜索Baiduspider-新闻
百度搜藏百度蜘蛛-favo
百度联盟Baiduspider-cpro
商业搜索Baiduspider-ads
百度蜘蛛上的网络和其他搜索
您可以根据每个产品的不同用户代理设置不同的爬取规则。以下 robots 实现禁止所有从百度爬取,但允许图片搜索爬取 /image/ 目录:
用户代理:百度蜘蛛
不允许: /
用户代理:Baiduspider-image
允许:/图像/
请注意:Baiduspider-cpro和Baiduspider-ads抓取的网页不会被索引,只会执行与客户约定的操作,不符合robots协议。这只能通过联系百度来解决。
如何只阻止谷歌搜索引擎收录抓取网页,如下:
编辑 robots.txt 文件,设计标记为:
用户代理:googlebot
不允许: /
编辑 robots.txt 文件
搜索引擎默认遵循 robots.txt 协议
robots.txt 文件位于 网站 根目录中。
例如,当搜索引擎访问一个网站时,它会首先检查网站的根目录下是否存在robots.txt文件。如果搜索引擎找到这个文件,它将满足于确定它爬取的权限范围。
用户代理:
该项目的值用于描述搜索引擎机器人的名称。在“robots.txt”文件中,如果有多个User-agent记录,则表示多个robots会受到该协议的限制。对于这个文件,至少有一条 User-agent 记录。如果此项的值设置为 *,则协议对任何机器人都有效。在“robots.txt”文件中,“User-agent:*”只能有一条记录。
不允许:
该项目的值用于描述不想被访问的 URL。此 URL 可以是完整路径或部分路径。机器人不会访问任何以 Disallow 开头的 URL。例如,“Disallow:/help”不允许搜索引擎访问 /help.html 和 /help/index.html,而“Disallow:/help/”允许机器人访问 /help.html 但不允许 /help/index 。 html。任何 Disallow 记录为空,表示 网站 的所有部分都被允许访问。“/robots.txt”文件中必须至少有一条 Disallow 记录。如果“/robots.txt”是一个空文件,则 网站 对所有搜索引擎机器人开放。
以下是 robots.txt 用法的几个示例:
用户代理: *
不允许: /
阻止所有搜索引擎访问 网站 的所有部分
用户代理:百度蜘蛛
不允许: /
禁止百度 收录 全站
用户代理:Googlebot
不允许: /
在全站范围内禁止 Google收录
用户代理:Googlebot
不允许:
用户代理: *
不允许: /
禁止除 Google收录 站点范围内的所有搜索引擎
用户代理:百度蜘蛛
不允许:
用户代理: *
不允许: /
禁止除百度以外的所有搜索引擎收录全站
用户代理: *
禁止:/css/
禁止:/admin/
阻止所有搜索引擎访问目录
(比如禁止根目录下的admin和css)
网页代码的第二种方法
在网站首页代码之间,添加一个代码,这个标签防止搜索引擎抓取网站并显示网页快照。
在网站首页代码之间添加,防止百度搜索引擎抓取网站并显示网页截图。
在 网站 主页代码之间,添加它以防止 Google 搜索引擎抓取 网站 并显示网页快照。
另外,当我们的需求很奇怪的时候,比如以下几种情况:
1. 网站我加了robots.txt,还能百度搜吗?
因为搜索引擎索引数据库的更新需要时间。虽然Baiduspider已经停止访问您网站上的网页,但是百度搜索引擎数据库中已经建立的网页索引信息可能需要几个月的时间才能被清除。另请检查您的机器人是否配置正确。如果您的拒绝是收录急需的,也可以通过投诉平台反馈请求处理。
2.我想让网站内容被百度收录,但不保存为快照,怎么办?
百度蜘蛛遵守互联网元机器人协议。您可以使用网页元的设置,使百度显示只对网页进行索引,而不在搜索结果中显示网页的快照。和robots的更新一样,因为搜索引擎索引库的更新需要时间,虽然你已经禁止百度通过网页中的meta在搜索结果中显示网页的快照,但如果在百度中已经建立了网页索引搜索引擎数据库信息,可能需要两到四个星期才能在线生效。
希望能被百度索引,但是不要保存网站快照,下面代码解决:
如果你想阻止所有搜索引擎保存你网页的快照,那么代码如下:
一些常用的代码组合:
: 可以爬取这个页面,也可以继续索引这个页面上的其他链接
: 这个页面不允许被爬取,但是其他链接可以沿着这个页面被爬取和索引
: 可以爬取这个页面,但是不允许沿着这个页面爬取索引中的其他链接
: 不爬取该页面,也不爬取其他链接到该页面的索引 查看全部
搜索引擎如何抓取网页(如何只禁止百度搜索引擎抓取收录网页的任何部分。。)
一、robots.txt方法
搜索引擎默认遵循 robots.txt 协议。创建 robots.txt 文本文件并将其放在 网站 根目录中。编辑代码如下:
用户代理: *
不允许: /
通过上面的代码,可以告诉搜索引擎不要抓取,取收录this网站,小心使用上面的代码:这会禁止所有搜索引擎访问网站@的任何部分>。
如何只阻止百度搜索引擎收录抓取网页
1、编辑 robots.txt 文件并将标签设计为:
用户代理:百度蜘蛛
不允许: /
以上 robots 文件将禁止所有来自百度的抓取。
先说百度的user-agent,Baiduspider的user-agent是什么?
百度产品使用不同的用户代理:
产品名称对应user-agent
无线搜索百度蜘蛛
图片搜索Baiduspider-image
视频搜索百度蜘蛛-视频
新闻搜索Baiduspider-新闻
百度搜藏百度蜘蛛-favo
百度联盟Baiduspider-cpro
商业搜索Baiduspider-ads
百度蜘蛛上的网络和其他搜索
您可以根据每个产品的不同用户代理设置不同的爬取规则。以下 robots 实现禁止所有从百度爬取,但允许图片搜索爬取 /image/ 目录:
用户代理:百度蜘蛛
不允许: /
用户代理:Baiduspider-image
允许:/图像/
请注意:Baiduspider-cpro和Baiduspider-ads抓取的网页不会被索引,只会执行与客户约定的操作,不符合robots协议。这只能通过联系百度来解决。
如何只阻止谷歌搜索引擎收录抓取网页,如下:
编辑 robots.txt 文件,设计标记为:
用户代理:googlebot
不允许: /
编辑 robots.txt 文件
搜索引擎默认遵循 robots.txt 协议
robots.txt 文件位于 网站 根目录中。
例如,当搜索引擎访问一个网站时,它会首先检查网站的根目录下是否存在robots.txt文件。如果搜索引擎找到这个文件,它将满足于确定它爬取的权限范围。
用户代理:
该项目的值用于描述搜索引擎机器人的名称。在“robots.txt”文件中,如果有多个User-agent记录,则表示多个robots会受到该协议的限制。对于这个文件,至少有一条 User-agent 记录。如果此项的值设置为 *,则协议对任何机器人都有效。在“robots.txt”文件中,“User-agent:*”只能有一条记录。
不允许:
该项目的值用于描述不想被访问的 URL。此 URL 可以是完整路径或部分路径。机器人不会访问任何以 Disallow 开头的 URL。例如,“Disallow:/help”不允许搜索引擎访问 /help.html 和 /help/index.html,而“Disallow:/help/”允许机器人访问 /help.html 但不允许 /help/index 。 html。任何 Disallow 记录为空,表示 网站 的所有部分都被允许访问。“/robots.txt”文件中必须至少有一条 Disallow 记录。如果“/robots.txt”是一个空文件,则 网站 对所有搜索引擎机器人开放。
以下是 robots.txt 用法的几个示例:
用户代理: *
不允许: /
阻止所有搜索引擎访问 网站 的所有部分
用户代理:百度蜘蛛
不允许: /
禁止百度 收录 全站
用户代理:Googlebot
不允许: /
在全站范围内禁止 Google收录
用户代理:Googlebot
不允许:
用户代理: *
不允许: /
禁止除 Google收录 站点范围内的所有搜索引擎
用户代理:百度蜘蛛
不允许:
用户代理: *
不允许: /
禁止除百度以外的所有搜索引擎收录全站
用户代理: *
禁止:/css/
禁止:/admin/
阻止所有搜索引擎访问目录
(比如禁止根目录下的admin和css)
网页代码的第二种方法
在网站首页代码之间,添加一个代码,这个标签防止搜索引擎抓取网站并显示网页快照。
在网站首页代码之间添加,防止百度搜索引擎抓取网站并显示网页截图。
在 网站 主页代码之间,添加它以防止 Google 搜索引擎抓取 网站 并显示网页快照。
另外,当我们的需求很奇怪的时候,比如以下几种情况:
1. 网站我加了robots.txt,还能百度搜吗?
因为搜索引擎索引数据库的更新需要时间。虽然Baiduspider已经停止访问您网站上的网页,但是百度搜索引擎数据库中已经建立的网页索引信息可能需要几个月的时间才能被清除。另请检查您的机器人是否配置正确。如果您的拒绝是收录急需的,也可以通过投诉平台反馈请求处理。
2.我想让网站内容被百度收录,但不保存为快照,怎么办?
百度蜘蛛遵守互联网元机器人协议。您可以使用网页元的设置,使百度显示只对网页进行索引,而不在搜索结果中显示网页的快照。和robots的更新一样,因为搜索引擎索引库的更新需要时间,虽然你已经禁止百度通过网页中的meta在搜索结果中显示网页的快照,但如果在百度中已经建立了网页索引搜索引擎数据库信息,可能需要两到四个星期才能在线生效。
希望能被百度索引,但是不要保存网站快照,下面代码解决:
如果你想阻止所有搜索引擎保存你网页的快照,那么代码如下:
一些常用的代码组合:
: 可以爬取这个页面,也可以继续索引这个页面上的其他链接
: 这个页面不允许被爬取,但是其他链接可以沿着这个页面被爬取和索引
: 可以爬取这个页面,但是不允许沿着这个页面爬取索引中的其他链接
: 不爬取该页面,也不爬取其他链接到该页面的索引
搜索引擎如何抓取网页(学SEO优化就上《SEO自学网》一个拒绝搜索引擎收录网站 )
网站优化 • 优采云 发表了文章 • 0 个评论 • 70 次浏览 • 2022-04-14 01:11
)
在“SEO自学网”学习SEO优化
新建一个网站后,只要搜索引擎蜘蛛抓取到的网站内容不是很差,那么搜索引擎很有可能收录我们的网站,如果我因为某种原因不想让搜索引擎收录网站怎么办?
事实㊤拒绝搜索引擎收录网站可以使用robots.txt(什么是robots.txt)来屏蔽搜索引擎蜘蛛,仅供参考
Robots是搜索引擎必须遵守的互联网协议,所以可以通过robots拒绝所有搜索引擎收录,代码如㊦:
用户代理:*
禁止:/
㊤旁边的两行代码表示禁止所有搜索引擎(User-agent: *)抓取所有内容(Disallow: /)
当然也可以用㊦码禁止百度收录:(如果要拒绝其他搜索引擎,请将user-agent:后面的内容替换成其他搜索引擎蜘蛛的㊔名称,各大搜索引擎蜘蛛的名字可以参考:
)
用户代理:baiduspider
禁止:/
如果您不希望搜索引擎拍摄快照,您可以这样做:
将此代码添加到头部㊥
如果您希望搜索引擎对网页进行索引并禁止跟踪,您可以这样做:
所以我们需要明确是禁止搜索引擎收录网站还是拒绝搜索引擎创建快照,然后选择合适的方法
查看全部
搜索引擎如何抓取网页(学SEO优化就上《SEO自学网》一个拒绝搜索引擎收录网站
)
在“SEO自学网”学习SEO优化
新建一个网站后,只要搜索引擎蜘蛛抓取到的网站内容不是很差,那么搜索引擎很有可能收录我们的网站,如果我因为某种原因不想让搜索引擎收录网站怎么办?
事实㊤拒绝搜索引擎收录网站可以使用robots.txt(什么是robots.txt)来屏蔽搜索引擎蜘蛛,仅供参考
Robots是搜索引擎必须遵守的互联网协议,所以可以通过robots拒绝所有搜索引擎收录,代码如㊦:
用户代理:*
禁止:/
㊤旁边的两行代码表示禁止所有搜索引擎(User-agent: *)抓取所有内容(Disallow: /)
当然也可以用㊦码禁止百度收录:(如果要拒绝其他搜索引擎,请将user-agent:后面的内容替换成其他搜索引擎蜘蛛的㊔名称,各大搜索引擎蜘蛛的名字可以参考:
)
用户代理:baiduspider
禁止:/
如果您不希望搜索引擎拍摄快照,您可以这样做:
将此代码添加到头部㊥
如果您希望搜索引擎对网页进行索引并禁止跟踪,您可以这样做:
所以我们需要明确是禁止搜索引擎收录网站还是拒绝搜索引擎创建快照,然后选择合适的方法
搜索引擎如何抓取网页(2021-08-13用python如何实现一个站内搜索引擎?)
网站优化 • 优采云 发表了文章 • 0 个评论 • 106 次浏览 • 2022-04-14 01:07
2021-08-13
如何用python实现一个现场搜索引擎?
首先考虑一下搜索引擎的工作流程:
1、网页采集。以深度或广度优先的方式搜索某个网站,保存所有网页,并使用定期和增量采集的方式进行网页维护。
2、创建一个索引库。首先,过滤掉重复的网页,尽管它们有不同的 URL;然后,提取网页的正文;最后,分割正文并建立索引。索引必须始终有顺序,并且使用 pagerank 算法为每个页面添加权重。
3、提供搜索服务。首先,对查询词进行切分;然后,对索引结果进行排序,将原来的权重和用户的查询历史结合起来,作为新的索引顺序;最后,显示文档摘要。
完整的过程如下:
------------------------------------------------ 以下文字引自万维网网络自动搜索引擎(技术报告)邓雄(Johnny Deng)2006.12
“网络蜘蛛”从互联网抓取网页,将网页发送到“网页数据库”,从网页“提取URL”,将URL发送到“URL数据库”,“蜘蛛控制”获取URL网页,控制“网络蜘蛛”爬取其他页面,重复循环,直到所有页面都被爬完。
系统从“网页数据库”中获取文本信息,发送到“文本索引”模块进行索引,形成“索引数据库”。同时进行“链接信息提取”,将链接信息(包括锚文本、链接本身等信息)送入“链接数据库”,为“网页评分”提供依据。
“用户”向“查询服务器”提交查询请求,服务器在“索引数据库”中搜索相关网页,而“网页评分”将查询请求和链接信息结合起来,对查询的相关性进行评估。搜索结果。查询服务器”按相关性排序,提取关键词的内容摘要,整理最终页面返回给“用户”。
---------------------- 报价结束
写一个搜索引擎的想法来自于我正在学习python,想用它来驱动自己。
目前思路有三个模块:网络爬虫(广度优先搜索)、网络文本提取(cx-extractor)、中文分词(smallseg)。
网络爬虫
广度优先搜索,在新浪抓取10000个页面(url中带'/'的页面)
爬取:urllib2.urlopen()
解析:htmllib.HTMLParser
存储:redis
每个 URL 对应一个 IDSEQ 序列(从 1000000 递增)
URL:IDSEQ 存储 URL
PAGE:IDSEQ 存储了URL对应的HTML页面的源代码
URLSET:IDSEQ 每个 URL 对应一组指向它的 URL (IDSEQ)
代码显示如下:
查看代码
1 #!/usr/bin/python
2 from spdUtility import PriorityQueue,Parser
3 import urllib2
4 import sys
5 import os
6 import inspect
7 import time
8 g_url = 'http://www.sina.com.cn'
9 g_key = 'www'
10 """
11 def line():
12 try:
13 raise Exception
14 except:
15 return sys.exc_info()[2].tb_frame.f_back.f_lineno"""
16
17 def updatePriQueue(priQueue, url):
18 extraPrior = url.endswith('.html') and 2 or 0
19 extraMyBlog = g_key in url and 5 or 0
20 item = priQueue.getitem(url)
21 if item:
22 newitem = (item[0]+1+extraPrior+extraMyBlog, item[1])
23 priQueue.remove(item)
24 priQueue.push(newitem)
25 else :
26 priQueue.push( (1+extraPrior+extraMyBlog,url) )
27
28 def getmainurl(url):
29 ix = url.find('/',len('http://') )
30 if ix > 0 :
31 return url[:ix]
32 else :
33 return url
34 def analyseHtml(url, html, priQueue, downlist):
35 p = Parser()
36 try :
37 p.feed(html)
38 p.close()
39 except:
40 return
41 mainurl = getmainurl(url)
42 print mainurl
43 for (k, v) in p.anchors.items():
44 for u in v :
45 if not u.startswith('http://'):
46 u = mainurl + u
47 if not downlist.count(u):
48 updatePriQueue( priQueue, u)
49
50 def downloadUrl(id, url, priQueue, downlist,downFolder):
51 downFileName = downFolder+'/%d.html' % (id,)
52 print 'downloading', url, 'as', downFileName, time.ctime(),
53 try:
54 fp = urllib2.urlopen(url)
55 except:
56 print '[ failed ]'
57 return False
58 else :
59 print '[ success ]'
60 downlist.push( url )
61 op = open(downFileName, "wb")
62 html = fp.read()
63 op.write( html )
64 op.close()
65 fp.close()
66 analyseHtml(url, html, priQueue, downlist)
67 return True
68
69 def spider(beginurl, pages, downFolder):
70 priQueue = PriorityQueue()
71 downlist = PriorityQueue()
72 priQueue.push( (1,beginurl) )
73 i = 0
74 while not priQueue.empty() and i threshold and i+30 and g_HTMLBlock[i+2]>0 and g_HTMLBlock[i+3]>0:
28 nBegin = i
29 break
30 else:
31 return None
32 for i in range(nBegin+1, nMaxSize):
33 if g_HTMLBlock[i]==0 and i+1 1:
40 f = file(sys.argv[1], 'r')
41 global g_HTML
42 global g_HTMLLine
43 global g_HTMLBlock
44 g_HTML = f.read()
45 PreProcess()
46 g_HTMLLine = [i.strip() for i in g_HTML.splitlines()] #先分割成行list,再过滤掉每行前后的空字符
47 HTMLLength = [len(i) for i in g_HTMLLine] #计算每行的长度
48 g_HTMLBlock = [HTMLLength[i] + HTMLLength[i+1] + HTMLLength[i+2] for i in range(0, len(g_HTMLLine)-3)] #计算每块的长度
49 print GetContent(200)
50
以上为演示程序,实际使用需要增加存储功能。
仍然使用redis存储,读取所有页面页面(keys'PAGE:*'),提取文本,判断文本是否已经在容器中(排除不同url的重复页面),如果在容器中,则进行下一步循环,如果不在容器中,则将其添加到容器中并存储在 CONTENT:IDSEQ 中。
代码显示如下:
查看代码
<p> 1 #!/usr/bin/python
2 #coding=utf-8
3 #根据 陈鑫《基于行块分布函数的通用网页正文抽取算法》
4 import re
5 import sys
6 import redis
7 import bisect
8 def PreProcess():
9 global g_HTML
10 _doctype = re.compile(r'', re.I|re.S)
11 _comment = re.compile(r'', re.S)
12 _javascript = re.compile(r'.*?', re.I|re.S)
13 _css = re.compile(r'.*?', re.I|re.S)
14 _other_tag = re.compile(r'', re.S)
15 _special_char = re.compile(r'&.{1,5};|&#.{1,5};')
16 g_HTML = _doctype.sub('', g_HTML)
17 g_HTML = _comment.sub('', g_HTML)
18 g_HTML = _javascript.sub('', g_HTML)
19 g_HTML = _css.sub('', g_HTML)
20 g_HTML = _other_tag.sub('', g_HTML)
21 g_HTML = _special_char.sub('', g_HTML)
22 def GetContent(threshold):
23 global g_HTMLBlock
24 nMaxSize = len(g_HTMLBlock)
25 nBegin = 0
26 nEnd = 0
27 for i in range(0, nMaxSize):
28 if g_HTMLBlock[i]>threshold and i+30 and g_HTMLBlock[i+2]>0 and g_HTMLBlock[i+3]>0:
29 nBegin = i
30 break
31 else:
32 return None
33 for i in range(nBegin+1, nMaxSize):
34 if g_HTMLBlock[i]==0 and i+1 查看全部
搜索引擎如何抓取网页(2021-08-13用python如何实现一个站内搜索引擎?)
2021-08-13
如何用python实现一个现场搜索引擎?
首先考虑一下搜索引擎的工作流程:
1、网页采集。以深度或广度优先的方式搜索某个网站,保存所有网页,并使用定期和增量采集的方式进行网页维护。
2、创建一个索引库。首先,过滤掉重复的网页,尽管它们有不同的 URL;然后,提取网页的正文;最后,分割正文并建立索引。索引必须始终有顺序,并且使用 pagerank 算法为每个页面添加权重。
3、提供搜索服务。首先,对查询词进行切分;然后,对索引结果进行排序,将原来的权重和用户的查询历史结合起来,作为新的索引顺序;最后,显示文档摘要。
完整的过程如下:
------------------------------------------------ 以下文字引自万维网网络自动搜索引擎(技术报告)邓雄(Johnny Deng)2006.12
“网络蜘蛛”从互联网抓取网页,将网页发送到“网页数据库”,从网页“提取URL”,将URL发送到“URL数据库”,“蜘蛛控制”获取URL网页,控制“网络蜘蛛”爬取其他页面,重复循环,直到所有页面都被爬完。
系统从“网页数据库”中获取文本信息,发送到“文本索引”模块进行索引,形成“索引数据库”。同时进行“链接信息提取”,将链接信息(包括锚文本、链接本身等信息)送入“链接数据库”,为“网页评分”提供依据。
“用户”向“查询服务器”提交查询请求,服务器在“索引数据库”中搜索相关网页,而“网页评分”将查询请求和链接信息结合起来,对查询的相关性进行评估。搜索结果。查询服务器”按相关性排序,提取关键词的内容摘要,整理最终页面返回给“用户”。
---------------------- 报价结束
写一个搜索引擎的想法来自于我正在学习python,想用它来驱动自己。
目前思路有三个模块:网络爬虫(广度优先搜索)、网络文本提取(cx-extractor)、中文分词(smallseg)。
网络爬虫
广度优先搜索,在新浪抓取10000个页面(url中带'/'的页面)
爬取:urllib2.urlopen()
解析:htmllib.HTMLParser
存储:redis
每个 URL 对应一个 IDSEQ 序列(从 1000000 递增)
URL:IDSEQ 存储 URL
PAGE:IDSEQ 存储了URL对应的HTML页面的源代码
URLSET:IDSEQ 每个 URL 对应一组指向它的 URL (IDSEQ)
代码显示如下:
查看代码
1 #!/usr/bin/python
2 from spdUtility import PriorityQueue,Parser
3 import urllib2
4 import sys
5 import os
6 import inspect
7 import time
8 g_url = 'http://www.sina.com.cn'
9 g_key = 'www'
10 """
11 def line():
12 try:
13 raise Exception
14 except:
15 return sys.exc_info()[2].tb_frame.f_back.f_lineno"""
16
17 def updatePriQueue(priQueue, url):
18 extraPrior = url.endswith('.html') and 2 or 0
19 extraMyBlog = g_key in url and 5 or 0
20 item = priQueue.getitem(url)
21 if item:
22 newitem = (item[0]+1+extraPrior+extraMyBlog, item[1])
23 priQueue.remove(item)
24 priQueue.push(newitem)
25 else :
26 priQueue.push( (1+extraPrior+extraMyBlog,url) )
27
28 def getmainurl(url):
29 ix = url.find('/',len('http://') )
30 if ix > 0 :
31 return url[:ix]
32 else :
33 return url
34 def analyseHtml(url, html, priQueue, downlist):
35 p = Parser()
36 try :
37 p.feed(html)
38 p.close()
39 except:
40 return
41 mainurl = getmainurl(url)
42 print mainurl
43 for (k, v) in p.anchors.items():
44 for u in v :
45 if not u.startswith('http://'):
46 u = mainurl + u
47 if not downlist.count(u):
48 updatePriQueue( priQueue, u)
49
50 def downloadUrl(id, url, priQueue, downlist,downFolder):
51 downFileName = downFolder+'/%d.html' % (id,)
52 print 'downloading', url, 'as', downFileName, time.ctime(),
53 try:
54 fp = urllib2.urlopen(url)
55 except:
56 print '[ failed ]'
57 return False
58 else :
59 print '[ success ]'
60 downlist.push( url )
61 op = open(downFileName, "wb")
62 html = fp.read()
63 op.write( html )
64 op.close()
65 fp.close()
66 analyseHtml(url, html, priQueue, downlist)
67 return True
68
69 def spider(beginurl, pages, downFolder):
70 priQueue = PriorityQueue()
71 downlist = PriorityQueue()
72 priQueue.push( (1,beginurl) )
73 i = 0
74 while not priQueue.empty() and i threshold and i+30 and g_HTMLBlock[i+2]>0 and g_HTMLBlock[i+3]>0:
28 nBegin = i
29 break
30 else:
31 return None
32 for i in range(nBegin+1, nMaxSize):
33 if g_HTMLBlock[i]==0 and i+1 1:
40 f = file(sys.argv[1], 'r')
41 global g_HTML
42 global g_HTMLLine
43 global g_HTMLBlock
44 g_HTML = f.read()
45 PreProcess()
46 g_HTMLLine = [i.strip() for i in g_HTML.splitlines()] #先分割成行list,再过滤掉每行前后的空字符
47 HTMLLength = [len(i) for i in g_HTMLLine] #计算每行的长度
48 g_HTMLBlock = [HTMLLength[i] + HTMLLength[i+1] + HTMLLength[i+2] for i in range(0, len(g_HTMLLine)-3)] #计算每块的长度
49 print GetContent(200)
50
以上为演示程序,实际使用需要增加存储功能。
仍然使用redis存储,读取所有页面页面(keys'PAGE:*'),提取文本,判断文本是否已经在容器中(排除不同url的重复页面),如果在容器中,则进行下一步循环,如果不在容器中,则将其添加到容器中并存储在 CONTENT:IDSEQ 中。
代码显示如下:
查看代码
<p> 1 #!/usr/bin/python
2 #coding=utf-8
3 #根据 陈鑫《基于行块分布函数的通用网页正文抽取算法》
4 import re
5 import sys
6 import redis
7 import bisect
8 def PreProcess():
9 global g_HTML
10 _doctype = re.compile(r'', re.I|re.S)
11 _comment = re.compile(r'', re.S)
12 _javascript = re.compile(r'.*?', re.I|re.S)
13 _css = re.compile(r'.*?', re.I|re.S)
14 _other_tag = re.compile(r'', re.S)
15 _special_char = re.compile(r'&.{1,5};|&#.{1,5};')
16 g_HTML = _doctype.sub('', g_HTML)
17 g_HTML = _comment.sub('', g_HTML)
18 g_HTML = _javascript.sub('', g_HTML)
19 g_HTML = _css.sub('', g_HTML)
20 g_HTML = _other_tag.sub('', g_HTML)
21 g_HTML = _special_char.sub('', g_HTML)
22 def GetContent(threshold):
23 global g_HTMLBlock
24 nMaxSize = len(g_HTMLBlock)
25 nBegin = 0
26 nEnd = 0
27 for i in range(0, nMaxSize):
28 if g_HTMLBlock[i]>threshold and i+30 and g_HTMLBlock[i+2]>0 and g_HTMLBlock[i+3]>0:
29 nBegin = i
30 break
31 else:
32 return None
33 for i in range(nBegin+1, nMaxSize):
34 if g_HTMLBlock[i]==0 and i+1
搜索引擎如何抓取网页(企业可以做些什么来让他们的网站脱颖而出优化是通往成功的捷径)
网站优化 • 优采云 发表了文章 • 0 个评论 • 188 次浏览 • 2022-04-14 01:05
随着网络上各类网站的增多,很多网站的创业团队和中小企业被埋在众多网站中,难以脱颖而出,吸引来自互联网的流量。那么企业可以做些什么来让他们的 网站 脱颖而出呢?
这时候就需要提一下搜索引擎优化的概念了。一般来说,搜索引擎营销就是让你的网站在百度等搜索引擎中可用。有更好的排名SEO,高曝光率。这种优化方式现在是各大公司使用的法宝。很多跨国公司利用SEO,让他们的网站快速出现在搜索者面前,这样他们的页面被浏览的机会自然会增加。因此,学习如何做好SEO是成功的捷径,下面就来看看怎么做。
1.什么是搜索引擎优化?
搜索引擎优化又称SEO搜索引擎优化,就是通过分析搜索排名规则,了解各种搜索引擎如何进行搜索,如何抓取互联网页面,如何确定具体的关键词方法。一种对搜索结果进行排名的技术。搜索引擎采用易于被搜索引用的方式,有针对性地优化网站,提高网站在搜索引擎中的自然排名,吸引更多用户访问网站,增加网站的流量,提高网站的销售能力和知名度。能力,从而提升网站的品牌效应。
2.为什么 SEO 效果很好?
现在是互联网时代,全球数十亿人通过互联网了解更多信息,因此拥有如此庞大的用户群,很多公司都建立了自己的官方网站来吸引客户。不过随着市场竞争的激烈,自然而然地出现了很多类似的网站。基于这种情况,搜索引擎会对用户搜索到的信息进行排名。如果您的 网站 在搜索排名中较低,则可以获取有关用户的信息。机会自然会减少。
这个时候,如果你知道如何为搜索引擎优化你的网页,你就可以抓住这个宣传的好机会,久而久之,你就能成功打造品牌。
3.搜索引擎优化教学
SEO是搜索引擎根据网站标题、网站内容和网站结构搜索信息时计算出来的结果。优化的方向基本在以下几个方面:
(1)增加网站内页占比:“在线”可以通过你网页内页的关键词累积。一般来说,搜索内容的次数在您的网页上搜索到的 SEO 排名越多,排名就越高。
(2)Split关键词:拆分自己网页的关键词,拆分后的关键词会匹配搜索内容关键词优化,让你的网页更好的匹配搜索。
(3)链接权重关系:你的网页链接到的以锚文本为搜索词的链接越多,你的网页与搜索内容的相关性就越高。
(4)网站图像的 ALT 标记:将 ALT 标记添加到 网站 上的图像有助于搜索引擎在搜索相关内容时索引您的 网站。
(5)在“设置”中填写关键词:在线网站编辑器左上角的“设置”,可以自由设置你的网站SEO内容,包括标题、关键词、描述等,以使您的 网站 排名更好。
总而言之,小白也能做好SEO,关键是先了解这方面的知识。按照上面的方法,你也可以制作一个好的网站。 查看全部
搜索引擎如何抓取网页(企业可以做些什么来让他们的网站脱颖而出优化是通往成功的捷径)
随着网络上各类网站的增多,很多网站的创业团队和中小企业被埋在众多网站中,难以脱颖而出,吸引来自互联网的流量。那么企业可以做些什么来让他们的 网站 脱颖而出呢?
这时候就需要提一下搜索引擎优化的概念了。一般来说,搜索引擎营销就是让你的网站在百度等搜索引擎中可用。有更好的排名SEO,高曝光率。这种优化方式现在是各大公司使用的法宝。很多跨国公司利用SEO,让他们的网站快速出现在搜索者面前,这样他们的页面被浏览的机会自然会增加。因此,学习如何做好SEO是成功的捷径,下面就来看看怎么做。
1.什么是搜索引擎优化?
搜索引擎优化又称SEO搜索引擎优化,就是通过分析搜索排名规则,了解各种搜索引擎如何进行搜索,如何抓取互联网页面,如何确定具体的关键词方法。一种对搜索结果进行排名的技术。搜索引擎采用易于被搜索引用的方式,有针对性地优化网站,提高网站在搜索引擎中的自然排名,吸引更多用户访问网站,增加网站的流量,提高网站的销售能力和知名度。能力,从而提升网站的品牌效应。
2.为什么 SEO 效果很好?
现在是互联网时代,全球数十亿人通过互联网了解更多信息,因此拥有如此庞大的用户群,很多公司都建立了自己的官方网站来吸引客户。不过随着市场竞争的激烈,自然而然地出现了很多类似的网站。基于这种情况,搜索引擎会对用户搜索到的信息进行排名。如果您的 网站 在搜索排名中较低,则可以获取有关用户的信息。机会自然会减少。
这个时候,如果你知道如何为搜索引擎优化你的网页,你就可以抓住这个宣传的好机会,久而久之,你就能成功打造品牌。
3.搜索引擎优化教学
SEO是搜索引擎根据网站标题、网站内容和网站结构搜索信息时计算出来的结果。优化的方向基本在以下几个方面:
(1)增加网站内页占比:“在线”可以通过你网页内页的关键词累积。一般来说,搜索内容的次数在您的网页上搜索到的 SEO 排名越多,排名就越高。
(2)Split关键词:拆分自己网页的关键词,拆分后的关键词会匹配搜索内容关键词优化,让你的网页更好的匹配搜索。
(3)链接权重关系:你的网页链接到的以锚文本为搜索词的链接越多,你的网页与搜索内容的相关性就越高。
(4)网站图像的 ALT 标记:将 ALT 标记添加到 网站 上的图像有助于搜索引擎在搜索相关内容时索引您的 网站。
(5)在“设置”中填写关键词:在线网站编辑器左上角的“设置”,可以自由设置你的网站SEO内容,包括标题、关键词、描述等,以使您的 网站 排名更好。
总而言之,小白也能做好SEO,关键是先了解这方面的知识。按照上面的方法,你也可以制作一个好的网站。
搜索引擎如何抓取网页( SEO编辑需要明确描述自己网站的HTML标记的正确使用)
网站优化 • 优采云 发表了文章 • 0 个评论 • 88 次浏览 • 2022-04-13 20:06
SEO编辑需要明确描述自己网站的HTML标记的正确使用)
SEO小编相信每个站长都知道蜘蛛会在网站的HTML代码中爬取,爬取网站的内容,然后进一步反馈给搜索引擎,从而得到分数,给出排名. 因此,在这些过程中,SEO编辑需要清楚地描述他们的网站的核心主题,也就是俗称的标题关键词。SEO 编辑可以使用某些 HTML 标签来进一步吸引蜘蛛,让它们更好地理解关键字并获得良好的搜索引擎排名。因此,合理的标签可以让网站中的关键词得到更多搜索引擎的关注。网站的排名很重要,无论是首页、栏目还是内容页。也有笔者在这里为误会“ml”的站长的其他意思表示歉意。这里,
过去,作者观察了很多网站,研究网页中的HTML标记。一般来说,一些不太常见的效果也不错。
如何让搜索引擎蜘蛛有利于爬行?网页中不可或缺的 HTML 标签
总结 HTML 标签的正确使用:
1、Title关键词:SEO编辑知道title关键词是网站的重要组成部分,但是title标签也是tag的重要组成部分,所以一个好的title可以非常简洁有效地表达和总结了网站的内容。所以对于布局的标题,显示名称必须完全匹配,也可以使用单词匹配。这在优化标题方面非常有效。
在猎游云的SEO编辑中对很多网站的总结中,我看到很多站长都会用排版来写标题,比如对于作者当时开始做的网站,标题如“图片|非主流图片|个性化图片-易经轩”,主要用于编写完全匹配的标题关键字,然后对标题关键字进行布局。但是,这种方法也有很多缺点,比如可读性差,没有使用一些标准的分隔符。这里可以参考新浪、百度、腾讯等大型网站头条写法,不仅受搜索引擎欢迎,也非常适合用户体验。
2、关键词密度:因为关键词密度对于不同的搜索引擎也是不一样的,这点在优化中经常被忽略,并不是搜索引擎提供良好排名的重要因素。只要我们把握一个合理的关键词密度,就不会造成不必要的灾难,如果引入的话。
3、说明:用户在网站上工作时,是用户阅读特定内容的重要标签之一,类似于自助云SEO。它的主要作用是总结网站的内容,让用户知道用户在搜索引擎中搜索了一些关键词,可以看到上面的描述也是这个领域的一个重要路标,Engine指导SE和UE可以提供给搜索参考引擎。因此,我们应该充分了解描述标签的重要性,但要注意描述的时间必须简单明了,字数必须在搜索结果的范围内。
4、H标签:我认为这是网站管理员优化title关键字的常用且有效的方法。我知道在 H 标签上,权重是 h1、h2、h3 等等。好处是方便搜索引擎把握一般意义上的内容,从而突出重要内容关键词,然后给予更高的权重。但是在制作H标签的时候,要注意不要使用H标签上的标记,还要注意页面的次数,不能太多。
总结:关键词的巧妙运用和网站这些标签的合理布局,可以让搜索引擎更有效的解读邦云优秀的SEO编辑网站和内容,推广对排名也有一定的影响。当然,对于这些,只是基础知识,搜索引擎排名优化远不止这些,所以SEO编辑们还有更多的SEO优化知识可以探索。
上一篇:网站排名的秘诀,教你如何提升网站用户的搜索排名 查看全部
搜索引擎如何抓取网页(
SEO编辑需要明确描述自己网站的HTML标记的正确使用)

SEO小编相信每个站长都知道蜘蛛会在网站的HTML代码中爬取,爬取网站的内容,然后进一步反馈给搜索引擎,从而得到分数,给出排名. 因此,在这些过程中,SEO编辑需要清楚地描述他们的网站的核心主题,也就是俗称的标题关键词。SEO 编辑可以使用某些 HTML 标签来进一步吸引蜘蛛,让它们更好地理解关键字并获得良好的搜索引擎排名。因此,合理的标签可以让网站中的关键词得到更多搜索引擎的关注。网站的排名很重要,无论是首页、栏目还是内容页。也有笔者在这里为误会“ml”的站长的其他意思表示歉意。这里,
过去,作者观察了很多网站,研究网页中的HTML标记。一般来说,一些不太常见的效果也不错。

如何让搜索引擎蜘蛛有利于爬行?网页中不可或缺的 HTML 标签
总结 HTML 标签的正确使用:
1、Title关键词:SEO编辑知道title关键词是网站的重要组成部分,但是title标签也是tag的重要组成部分,所以一个好的title可以非常简洁有效地表达和总结了网站的内容。所以对于布局的标题,显示名称必须完全匹配,也可以使用单词匹配。这在优化标题方面非常有效。
在猎游云的SEO编辑中对很多网站的总结中,我看到很多站长都会用排版来写标题,比如对于作者当时开始做的网站,标题如“图片|非主流图片|个性化图片-易经轩”,主要用于编写完全匹配的标题关键字,然后对标题关键字进行布局。但是,这种方法也有很多缺点,比如可读性差,没有使用一些标准的分隔符。这里可以参考新浪、百度、腾讯等大型网站头条写法,不仅受搜索引擎欢迎,也非常适合用户体验。
2、关键词密度:因为关键词密度对于不同的搜索引擎也是不一样的,这点在优化中经常被忽略,并不是搜索引擎提供良好排名的重要因素。只要我们把握一个合理的关键词密度,就不会造成不必要的灾难,如果引入的话。
3、说明:用户在网站上工作时,是用户阅读特定内容的重要标签之一,类似于自助云SEO。它的主要作用是总结网站的内容,让用户知道用户在搜索引擎中搜索了一些关键词,可以看到上面的描述也是这个领域的一个重要路标,Engine指导SE和UE可以提供给搜索参考引擎。因此,我们应该充分了解描述标签的重要性,但要注意描述的时间必须简单明了,字数必须在搜索结果的范围内。
4、H标签:我认为这是网站管理员优化title关键字的常用且有效的方法。我知道在 H 标签上,权重是 h1、h2、h3 等等。好处是方便搜索引擎把握一般意义上的内容,从而突出重要内容关键词,然后给予更高的权重。但是在制作H标签的时候,要注意不要使用H标签上的标记,还要注意页面的次数,不能太多。
总结:关键词的巧妙运用和网站这些标签的合理布局,可以让搜索引擎更有效的解读邦云优秀的SEO编辑网站和内容,推广对排名也有一定的影响。当然,对于这些,只是基础知识,搜索引擎排名优化远不止这些,所以SEO编辑们还有更多的SEO优化知识可以探索。
上一篇:网站排名的秘诀,教你如何提升网站用户的搜索排名
搜索引擎如何抓取网页(SEO时会遇到各种问题怎么办?提高需要抓取页面的收录量)
网站优化 • 优采云 发表了文章 • 0 个评论 • 90 次浏览 • 2022-04-13 16:14
我们在做SEO的时候会遇到各种问题,比如接管一个网站,由于之前的SEO工作出错,导致网站大量不相关的页面被爬取,以及然后再加上更新力度不够,网站就没有分量了。为此,我们需要对网站进行梳理,增加需要爬取的收录数量。
那么,如何控制搜索引擎抓取特定的 网站 页面?
一.屏蔽不需要爬取的页面
首先,我们需要屏蔽不需要爬行的机器人,防止体重分散。当然,我们还需要使用Nofollow来筛选页面包括:联系方式、关于我们等,以拦截蜘蛛和聚合权重。
二.提高网站中的页面可见性
然后,我们将改进本文中指定页面的收录。我们一般的做法是先增加网站中指定页面的展示率,例如:页面A,我们不仅要让它出现在首页的文章更新栏,而且我们也让它出现在侧边栏,因为通常网站的侧边栏是全站通用的,我们可以设置侧边栏不同的显示栏目,包括:最新推荐文章、关注最多文章等,不过也不容易过分。侧边栏一般出现2-3次,防止过度优化。当然,我们也可以通过显示网站中排名靠前的页面的链接来提高页面的知名度。
当然,我们以文章页面为例,因为一般排名在网站的页面是首页和文章页面。当我们需要对特定页面进行排名时,原因也是一样的,只是链接显示的位置不如文章页面显示的那么自然。我们可以通过开栏增加链接或者直接修改页面代码,效果是一样的。
三.加强相关内链
增加内部链接也会提升指定页面的收录。一般的做法是将网站中权重较高的页面指向需要收录的页面。排名以排名为准。如果没有排名,可以通过已经收录的页面指向指定页面。
看到这里,你可能会觉得这和上一个不太一样。这是一个解释。提高显示率就是显示指定页面的标题,提高内部链接点就是通过其他页面中的锚文本指向指定页面。页面和锚文本是页面的关键词,也可以是相关的同义词,增加页面的多样性,同时也满足未来指定页面的排名需求。
四.使用外部链接作为支持
使用外部链接作为支持是改进指定页面的一种相对快速的方法收录。比如我们做多个高质量的外链指向指定页面,相信用不了多久页面就会收录,同时排名还可以,但是要注意外链的相关性,低相关性的外链的作用要低很多,而且这种方法不适合大批量,我们知道外链的成本越来越高。如果使用大量的外部链接,优化的成本会增加,但这是一个优化策略问题。请自行决定哪个更好或更差。
五.熊掌好投稿
当然,说了这么多,我们还是不要忽略最基本的方法,百度熊掌。
熊掌目前还剩很少的SEO功能,好在还有快速收录功能,我们可以通过它的投稿推广收录,包括天级收录,每小时< @收录.
总结:如何控制搜索引擎,爬取和制定网站页面,我们这里讨论一下,以上内容仅供参考。
蝙蝠侠IT /h/969.html 转载需要授权! 查看全部
搜索引擎如何抓取网页(SEO时会遇到各种问题怎么办?提高需要抓取页面的收录量)
我们在做SEO的时候会遇到各种问题,比如接管一个网站,由于之前的SEO工作出错,导致网站大量不相关的页面被爬取,以及然后再加上更新力度不够,网站就没有分量了。为此,我们需要对网站进行梳理,增加需要爬取的收录数量。

那么,如何控制搜索引擎抓取特定的 网站 页面?
一.屏蔽不需要爬取的页面
首先,我们需要屏蔽不需要爬行的机器人,防止体重分散。当然,我们还需要使用Nofollow来筛选页面包括:联系方式、关于我们等,以拦截蜘蛛和聚合权重。
二.提高网站中的页面可见性
然后,我们将改进本文中指定页面的收录。我们一般的做法是先增加网站中指定页面的展示率,例如:页面A,我们不仅要让它出现在首页的文章更新栏,而且我们也让它出现在侧边栏,因为通常网站的侧边栏是全站通用的,我们可以设置侧边栏不同的显示栏目,包括:最新推荐文章、关注最多文章等,不过也不容易过分。侧边栏一般出现2-3次,防止过度优化。当然,我们也可以通过显示网站中排名靠前的页面的链接来提高页面的知名度。
当然,我们以文章页面为例,因为一般排名在网站的页面是首页和文章页面。当我们需要对特定页面进行排名时,原因也是一样的,只是链接显示的位置不如文章页面显示的那么自然。我们可以通过开栏增加链接或者直接修改页面代码,效果是一样的。
三.加强相关内链
增加内部链接也会提升指定页面的收录。一般的做法是将网站中权重较高的页面指向需要收录的页面。排名以排名为准。如果没有排名,可以通过已经收录的页面指向指定页面。
看到这里,你可能会觉得这和上一个不太一样。这是一个解释。提高显示率就是显示指定页面的标题,提高内部链接点就是通过其他页面中的锚文本指向指定页面。页面和锚文本是页面的关键词,也可以是相关的同义词,增加页面的多样性,同时也满足未来指定页面的排名需求。
四.使用外部链接作为支持
使用外部链接作为支持是改进指定页面的一种相对快速的方法收录。比如我们做多个高质量的外链指向指定页面,相信用不了多久页面就会收录,同时排名还可以,但是要注意外链的相关性,低相关性的外链的作用要低很多,而且这种方法不适合大批量,我们知道外链的成本越来越高。如果使用大量的外部链接,优化的成本会增加,但这是一个优化策略问题。请自行决定哪个更好或更差。
五.熊掌好投稿
当然,说了这么多,我们还是不要忽略最基本的方法,百度熊掌。
熊掌目前还剩很少的SEO功能,好在还有快速收录功能,我们可以通过它的投稿推广收录,包括天级收录,每小时< @收录.
总结:如何控制搜索引擎,爬取和制定网站页面,我们这里讨论一下,以上内容仅供参考。
蝙蝠侠IT /h/969.html 转载需要授权!
搜索引擎如何抓取网页(搜索引擎是如何理解一个页面的内容的?(图))
网站优化 • 优采云 发表了文章 • 0 个评论 • 112 次浏览 • 2022-04-13 14:36
在做SEO的过程中,我们知道每个SEO的具体排名是页面上需要定位的关键词,但是在实际中,你要对一个关键词进行排名A,而在搜索引擎评论中,排名B是可能的。
这是普遍现象,不是我们想的那样。因此,在进行SEO的过程中,我们需要正确理解搜索引擎是如何理解一个页面的。
那么,搜索引擎如何理解一个页面呢?
根据搜索引擎的工作原理,我们将进一步解释如下:
1、正在爬行
首先,当搜索引擎识别出一个页面时,它最初会发布自己的爬虫来抓取和抓取互联网上海量的URL,然后将它们采集到一个库中进行进一步的分析。
因此,在构建网站,尤其是新建站点时,一定要更新整个站点的服务器缓存,避免robots协议,阻止蜘蛛爬取。如果是这样的话,搜索引擎基本上就无法正常索引页面了。
2、网站框架
当搜索引擎蜘蛛能够正常访问和爬取一个页面时,它会重点爬取以下内容:
①网站导航
从整个网站的角度来看,SEO导航起到了引导作用。辅助用户更好地查询网站相关信息,辅助搜索引擎定位站点的行业垂直度。
所以在做全站布局的时候,首页的导航是非常重要的,应该重点从相关性的角度来衡量这个因素。
②列表分类
与网站导航相比,列表分类让网站有一个清晰的分类,让潜在用户可以快速查询相关的关键词内容并保持井井有条。
其中,列表类别网站的内容更新频率将直接影响该页面在搜索引擎心中的地位。
③ 底部导航
网站的底部导航经常用来判断一个页面是什么类型的网站,是企业站还是信息站,它的出现让网站看起来更丰满,而且为目标用户提供更多选择。
延迟页面的停留时间,对于一些SEO专家来说,聚合的页面列表往往会放在这个位置,以提高页面的收录的体积和重要性。
3、页面标签
我们知道,搜索引擎在抓取页面时,通常会遵循一定的逻辑顺序。对方在查看了首页的导航和列表后,就会开始认真地爬取内容页面,甚至一天之内就会多次访问。
其中,搜索引擎试图通过以下因素进一步识别页面主题:
①TDK
②H标签
当然,在SEO过程中,还有很多标签起到了积极的作用,而以上两个标签尤为重要,值得进一步考虑。
4、内容分词
然而,搜索引擎并不是那么简单,它是一个复杂的计算过程。提取出页面的基本标识后,搜索引擎开始进入深入分析的步骤,主要包括:利用中文分词技术对网页的核心主题内容进行拆分,将整个内容分成短语。
根据倒排索引策略,存储在索引库中以备不时之需。
5、外部链接
在做SEO的过程中,你可能经常会听到SEO人员讨论站内优化和站外优化。毫无疑问,搜索引擎对一个页面的理解不仅是从网站上的标志来判断的。
它还根据其外部评论来判断页面的价值,其中最常见的是链接锚文本的形式。
因此,如果你想为一个页面找到关键词,你可以尝试使用反向链接的相关性来通知搜索引擎。
此 文章 转载于 查看全部
搜索引擎如何抓取网页(搜索引擎是如何理解一个页面的内容的?(图))
在做SEO的过程中,我们知道每个SEO的具体排名是页面上需要定位的关键词,但是在实际中,你要对一个关键词进行排名A,而在搜索引擎评论中,排名B是可能的。
这是普遍现象,不是我们想的那样。因此,在进行SEO的过程中,我们需要正确理解搜索引擎是如何理解一个页面的。
那么,搜索引擎如何理解一个页面呢?
根据搜索引擎的工作原理,我们将进一步解释如下:
1、正在爬行
首先,当搜索引擎识别出一个页面时,它最初会发布自己的爬虫来抓取和抓取互联网上海量的URL,然后将它们采集到一个库中进行进一步的分析。
因此,在构建网站,尤其是新建站点时,一定要更新整个站点的服务器缓存,避免robots协议,阻止蜘蛛爬取。如果是这样的话,搜索引擎基本上就无法正常索引页面了。
2、网站框架
当搜索引擎蜘蛛能够正常访问和爬取一个页面时,它会重点爬取以下内容:
①网站导航
从整个网站的角度来看,SEO导航起到了引导作用。辅助用户更好地查询网站相关信息,辅助搜索引擎定位站点的行业垂直度。
所以在做全站布局的时候,首页的导航是非常重要的,应该重点从相关性的角度来衡量这个因素。
②列表分类
与网站导航相比,列表分类让网站有一个清晰的分类,让潜在用户可以快速查询相关的关键词内容并保持井井有条。
其中,列表类别网站的内容更新频率将直接影响该页面在搜索引擎心中的地位。
③ 底部导航
网站的底部导航经常用来判断一个页面是什么类型的网站,是企业站还是信息站,它的出现让网站看起来更丰满,而且为目标用户提供更多选择。
延迟页面的停留时间,对于一些SEO专家来说,聚合的页面列表往往会放在这个位置,以提高页面的收录的体积和重要性。
3、页面标签
我们知道,搜索引擎在抓取页面时,通常会遵循一定的逻辑顺序。对方在查看了首页的导航和列表后,就会开始认真地爬取内容页面,甚至一天之内就会多次访问。
其中,搜索引擎试图通过以下因素进一步识别页面主题:
①TDK
②H标签
当然,在SEO过程中,还有很多标签起到了积极的作用,而以上两个标签尤为重要,值得进一步考虑。
4、内容分词
然而,搜索引擎并不是那么简单,它是一个复杂的计算过程。提取出页面的基本标识后,搜索引擎开始进入深入分析的步骤,主要包括:利用中文分词技术对网页的核心主题内容进行拆分,将整个内容分成短语。
根据倒排索引策略,存储在索引库中以备不时之需。
5、外部链接
在做SEO的过程中,你可能经常会听到SEO人员讨论站内优化和站外优化。毫无疑问,搜索引擎对一个页面的理解不仅是从网站上的标志来判断的。
它还根据其外部评论来判断页面的价值,其中最常见的是链接锚文本的形式。
因此,如果你想为一个页面找到关键词,你可以尝试使用反向链接的相关性来通知搜索引擎。
此 文章 转载于
搜索引擎如何抓取网页(的是《网络爬虫如何采集页面》的SEO技术分享)
网站优化 • 优采云 发表了文章 • 0 个评论 • 119 次浏览 • 2022-04-13 14:28
信息采集是搜索引擎工作的重要组成部分,其中网络爬虫起着非常重要的作用。
今天,智盟科技小编为大家带来《如何爬网采集Page》。希望本次SEO技术分享对您有所帮助。
一、网络信息中的网络爬虫任务采集
网络信息采集中网络爬虫的两个任务:
① 发现网址
网络爬虫的任务之一是发现 URL,通常从一些种子 网站 开始。
② 下载页面
一般搜索引擎的网络爬虫找到网址后会判断链接是否为收录,是否与已有的收录链接高度相似,是否为优质内容,如何很多 原创 是。等到您决定是否需要下载此页面。
二、消息中的网络爬虫策略采集
通常网络爬虫使用以下方法获取信息采集:
① 从一组种子开始网站
网络爬虫从预先选择的一批种子网站开始抓取和抓取,这些种子通常是最权威的网站。通常一旦页面被下载,页面被解析以找到链接的标签,如果它收录可爬取的URL链接,它可能会继续沿着该链接爬取。锚文本链接是这个页面对另一个页面的描述,而纯文本链接没有这个描述,所以效果差一点在情理之中。
② 网络爬虫使用多线程
如果是单线程,效率会很低,因为会花费大量时间等待服务器响应,所以启用多线程来提高信息采集的效率。
多线程一次可能会爬几百个页面,这对搜索引擎来说是好事,但对别人的网站却不一定是好事,比如可能会导致对方服务器拥塞, make some real users 网站 无法正常访问。
③ 网络爬虫的爬取策略
网络爬虫不会同时从同一个网络服务器爬取多个页面,每次爬取都会有一定的时间间隔。使用这种策略时,请求队列必须非常大,才能不降低抓取效率。
例如,一个网络爬虫每秒可以爬取 1000 个页面,在同一个 网站 上每次爬取的间隔是 10 秒,那么队列应该是来自 10000 个不同服务器的 URL。
通常,如果您发现搜索引擎的抓取频率过高,您可以在官网进行调整或反馈。如果您不想让搜索引擎抓取部分页面或整个网站,则需要在网站根目录下设置robots.txt文件即可。以上内容由智盟科技小编提供,仅供参考! 查看全部
搜索引擎如何抓取网页(的是《网络爬虫如何采集页面》的SEO技术分享)
信息采集是搜索引擎工作的重要组成部分,其中网络爬虫起着非常重要的作用。
今天,智盟科技小编为大家带来《如何爬网采集Page》。希望本次SEO技术分享对您有所帮助。
一、网络信息中的网络爬虫任务采集
网络信息采集中网络爬虫的两个任务:
① 发现网址
网络爬虫的任务之一是发现 URL,通常从一些种子 网站 开始。
② 下载页面
一般搜索引擎的网络爬虫找到网址后会判断链接是否为收录,是否与已有的收录链接高度相似,是否为优质内容,如何很多 原创 是。等到您决定是否需要下载此页面。
二、消息中的网络爬虫策略采集
通常网络爬虫使用以下方法获取信息采集:
① 从一组种子开始网站
网络爬虫从预先选择的一批种子网站开始抓取和抓取,这些种子通常是最权威的网站。通常一旦页面被下载,页面被解析以找到链接的标签,如果它收录可爬取的URL链接,它可能会继续沿着该链接爬取。锚文本链接是这个页面对另一个页面的描述,而纯文本链接没有这个描述,所以效果差一点在情理之中。
② 网络爬虫使用多线程
如果是单线程,效率会很低,因为会花费大量时间等待服务器响应,所以启用多线程来提高信息采集的效率。
多线程一次可能会爬几百个页面,这对搜索引擎来说是好事,但对别人的网站却不一定是好事,比如可能会导致对方服务器拥塞, make some real users 网站 无法正常访问。
③ 网络爬虫的爬取策略
网络爬虫不会同时从同一个网络服务器爬取多个页面,每次爬取都会有一定的时间间隔。使用这种策略时,请求队列必须非常大,才能不降低抓取效率。
例如,一个网络爬虫每秒可以爬取 1000 个页面,在同一个 网站 上每次爬取的间隔是 10 秒,那么队列应该是来自 10000 个不同服务器的 URL。
通常,如果您发现搜索引擎的抓取频率过高,您可以在官网进行调整或反馈。如果您不想让搜索引擎抓取部分页面或整个网站,则需要在网站根目录下设置robots.txt文件即可。以上内容由智盟科技小编提供,仅供参考!
搜索引擎如何抓取网页(百度搜狗360搜索引擎使用蜘蛛爬网和索引网页搜寻页面内容)
网站优化 • 优采云 发表了文章 • 0 个评论 • 254 次浏览 • 2022-04-13 03:30
百度搜狗 360 搜索引擎使用蜘蛛来抓取和索引网页。抓取页面内容是搜索引擎工作方式的第一步。了解搜索引擎如何抓取网页可以帮助蜘蛛和爬虫抓取更多页面并提高您在 网站 的排名。以下内容由战神小编独家发布。
蜘蛛,也称为网络蜘蛛,是按照一定的规则对网页进行爬取的程序或脚本。
如果一个蜘蛛要爬取网站的内容,它需要有一个爬取入口。如果没有条目,他们将无法抓取 网站。因此,在建立网站之后,我们必须向搜索引擎提供网站的入口,以便蜘蛛程序可以跟随链接到达网站的每个角落,并且之后达到某些条件之前不会停止。停止条件的设置通常由时间或数量决定,也可以通过链接数来限制蜘蛛的爬行。同时,页面信息的重要性也将决定爬虫是否会检索到该页面。
在搜索引擎中,一些网站s非常受蜘蛛的欢迎,而这些网站s也将成为蜘蛛和爬行动物的起点。通常,这种类型的 网站 具有一定程度的可见性和导航性,使其成为种子 网站 的理想选择。所以,在优化网站的时候,可以把自己的网站提交到分类中,对爬虫爬虫都有好处。
网站更新频率直接影响蜘蛛的抓取频率。如果这个网站每天定时定量更新,那么这段时间蜘蛛也会进入这个网站进行爬取。
每当 Spider 抓取 网站 内容时,它都会存储该内容。如果第二次爬取发现与前一次爬取相同的页面,则 网站 尚未更新。经过长时间的爬取,蜘蛛爬虫会对网站页面的更新频率有一定的了解。对于一些不经常更新的网站,爬虫也会放弃爬取。如果网站更新频繁,爬虫会频繁进入网站,以便抓取网站上的新链接,从而提高网站的排名。
因此,在网站优化的过程中,网站的内容要经常更新,以增加网站被爬取的频率。搜索引擎爬虫在爬取网页后会将网页存储在原创数据库中。一段时间后,搜索引擎会相应地处理原创数据库中的页面。
以上就是《百度搜狗360搜索引擎如何爬取我们的网站页面?》的全部内容。如有其他问题,请咨询战神小编。 查看全部
搜索引擎如何抓取网页(百度搜狗360搜索引擎使用蜘蛛爬网和索引网页搜寻页面内容)
百度搜狗 360 搜索引擎使用蜘蛛来抓取和索引网页。抓取页面内容是搜索引擎工作方式的第一步。了解搜索引擎如何抓取网页可以帮助蜘蛛和爬虫抓取更多页面并提高您在 网站 的排名。以下内容由战神小编独家发布。
蜘蛛,也称为网络蜘蛛,是按照一定的规则对网页进行爬取的程序或脚本。
如果一个蜘蛛要爬取网站的内容,它需要有一个爬取入口。如果没有条目,他们将无法抓取 网站。因此,在建立网站之后,我们必须向搜索引擎提供网站的入口,以便蜘蛛程序可以跟随链接到达网站的每个角落,并且之后达到某些条件之前不会停止。停止条件的设置通常由时间或数量决定,也可以通过链接数来限制蜘蛛的爬行。同时,页面信息的重要性也将决定爬虫是否会检索到该页面。
在搜索引擎中,一些网站s非常受蜘蛛的欢迎,而这些网站s也将成为蜘蛛和爬行动物的起点。通常,这种类型的 网站 具有一定程度的可见性和导航性,使其成为种子 网站 的理想选择。所以,在优化网站的时候,可以把自己的网站提交到分类中,对爬虫爬虫都有好处。
网站更新频率直接影响蜘蛛的抓取频率。如果这个网站每天定时定量更新,那么这段时间蜘蛛也会进入这个网站进行爬取。

每当 Spider 抓取 网站 内容时,它都会存储该内容。如果第二次爬取发现与前一次爬取相同的页面,则 网站 尚未更新。经过长时间的爬取,蜘蛛爬虫会对网站页面的更新频率有一定的了解。对于一些不经常更新的网站,爬虫也会放弃爬取。如果网站更新频繁,爬虫会频繁进入网站,以便抓取网站上的新链接,从而提高网站的排名。
因此,在网站优化的过程中,网站的内容要经常更新,以增加网站被爬取的频率。搜索引擎爬虫在爬取网页后会将网页存储在原创数据库中。一段时间后,搜索引擎会相应地处理原创数据库中的页面。
以上就是《百度搜狗360搜索引擎如何爬取我们的网站页面?》的全部内容。如有其他问题,请咨询战神小编。


