
自动关键词采集
自动关键词采集(网络爬虫系统的原理和工作流程及注意事项介绍-乐题库)
采集交流 • 优采云 发表了文章 • 0 个评论 • 144 次浏览 • 2021-10-30 06:20
网络数据采集是指通过网络爬虫或网站公共API从网站获取数据信息。这种方法可以从网页中提取非结构化数据,将其存储为统一的本地数据文件,并以结构化的方式存储。支持采集的图片、音频、视频等文件或附件,可以自动关联附件和文字。
在互联网时代,网络爬虫主要为搜索引擎提供最全面、最新的数据。
在大数据时代,网络爬虫对于采集来自互联网的数据来说更是一种优势工具。已知的各种网络爬虫工具有数百种,网络爬虫工具基本上可以分为三类。
本节首先简要介绍网络爬虫的原理和工作流程,然后讨论网络爬虫的爬取策略,最后介绍典型的网络工具。
网络爬虫的原理
网络爬虫是根据一定的规则自动抓取网络信息的程序或脚本。
网络爬虫可以自动采集所有可以访问的页面内容,为搜索引擎和大数据分析提供数据源。就功能而言,爬虫一般具有数据采集、处理和存储三个功能,如图1所示。
图1 网络爬虫示意图
除了供用户阅读的文本信息外,网页还收录一些超链接信息。
网络爬虫系统通过网页中的超链接信息不断获取互联网上的其他网页。网络爬虫从一个或几个初始网页的URL开始,获取初始网页上的URL。在抓取网页的过程中,它不断地从当前页面中提取新的 URL 并将它们放入队列中,直到满足系统的某个停止条件。
网络爬虫系统一般会选择一些外展度(网页中超链接的数量)较高的比较重要的网址作为种子网址集合。
网络爬虫系统使用这些种子集作为初始 URL 开始数据爬取。由于网页收录链接信息,因此可以通过现有网页的网址获取一些新的网址。
网页之间的指向结构可以看成是一片森林,每个种子URL对应的网页就是森林中一棵树的根节点,这样网络爬虫系统就可以按照广度优先搜索算法遍历所有的或深度优先搜索算法页面。
由于深度优先搜索算法可能会导致爬虫系统陷入网站内部,不利于搜索离网站首页较近的网页信息,所以广度优先搜索算法一般为用于 采集 网页。
网络爬虫系统首先将种子网址放入下载队列,简单地从队列头部取一个网址下载对应的网页,获取网页内容并存储,解析网页中的链接信息后,可以获得一些新的网址。
其次,根据一定的网页分析算法过滤掉与主题无关的链接,保留有用的链接,放入URL队列等待抓取。
最后取出一个URL,下载其对应的网页,然后解析,如此循环往复,直到遍历全网或满足某个条件,才会停止。
网络爬虫工作流程
如图2所示,一个网络爬虫的基本工作流程如下。
1)首先选择种子URL的一部分。
2)将这些URL放入URL队列进行爬取。
3) 从待爬取的URL队列中取出待爬取的URL,解析DNS得到主机的IP地址,下载该URL对应的网页并存储在下载的网页中图书馆。另外,将这些 URL 放入爬取的 URL 队列中。
4)对抓取到的URL队列中的URL进行分析,分析其中的其他URL,将这些URL放入待抓取的URL队列中,从而进入下一个循环。
图2 网络爬虫的基本工作流程
网络爬虫抓取策略
谷歌、百度等通用搜索引擎抓取的网页数量通常以亿为单位计算。那么,面对如此多的网页,网络爬虫如何才能尽可能的遍历所有网页,从而尽可能扩大网页信息的覆盖范围呢?这是网络爬虫系统面临的一个非常关键的问题。在网络爬虫系统中,爬取策略决定了爬取网页的顺序。
本节首先简单介绍一下网络爬虫的爬取策略中用到的基本概念。
1)网页之间的关系模型
从互联网的结构来看,网页通过数量不等的超链接相互连接,形成一个庞大而复杂的相互关联的有向图。
如图 3 所示,如果将该网页视为图中的某个节点,将网页中其他网页的链接视为该节点到其他节点的边,那么我们很容易查看整个Internet 网页被建模为有向图。
理论上,通过遍历算法遍历图,几乎可以访问互联网上的所有网页。
图3 网页关系模型图
2)网页分类
从爬虫的角度来划分互联网,互联网的所有页面可以分为5个部分:已下载和未过期网页、已下载和已过期网页、已下载网页、已知网页和不可知网页,如图4所示。
获取的本地网页实际上是互联网内容的镜像和备份。互联网是动态变化的。当互联网上的部分内容发生变化时,抓取到的本地网页就会失效。因此,下载的网页分为两种:下载的未过期网页和下载的过期网页。
图4 网页分类
待下载的页面指的是URL队列中待抓取的页面。
可以看出,网页指的是尚未被抓取的网页,不在待抓取的URL队列中,但可以通过分析抓取的页面或待抓取的URL对应的页面来获取。
还有一些网页是网络爬虫不能直接抓取下载的,称为不可知网页。
下面重点介绍几种常见的爬取策略。
1. 通用网络爬虫
一般的网络爬虫也称为全网爬虫。爬取对象从一些种子网址扩展到整个Web,主要是门户搜索引擎和大型Web服务商采集数据。
一般的网络爬虫为了提高工作效率,都会采用一定的爬取策略。常用的爬取策略包括深度优先策略和广度优先策略。
1)深度优先策略
深度优先策略意味着网络爬虫会从起始页开始,逐个链接地跟随它,直到无法再深入为止。
爬行完成一个分支后,网络爬虫返回上一个链接节点,进一步搜索其他链接。当所有链接都遍历完后,爬取任务结束。
这种策略更适合垂直搜索或站内搜索,但在抓取页面内容更深层次的网站时会造成资源的巨大浪费。
以图3为例,遍历的路径为1→2→5→6→3→7→4→8。
在深度优先策略中,当搜索到某个节点时,该节点的子节点和子节点的后继节点都优先于该节点的兄弟节点。深度优先策略是在搜索空间中。这时候它会尽量走,只有在找不到一个节点的后继节点时才考虑它的兄弟节点。
这样的策略决定了深度优先策略可能无法找到最优解,甚至由于深度的限制而无法找到解。
如果没有限制,它会沿着一条路径无限扩展,从而“陷入”海量数据。一般情况下,使用深度优先策略会选择一个合适的深度,然后反复搜索直到找到一个解,这样就降低了搜索的效率。因此,一般在搜索数据量较小时采用深度优先策略。
2)广度优先策略
广度优先策略根据网页内容目录级别的深度抓取页面,优先抓取较浅目录级别的页面。当同一级别的页面被爬取时,爬虫会进入下一层继续爬取。
仍以图3为例,遍历的路径为1→2→3→4→5→6→7→8
由于广度优先策略是在第N层节点扩展完成后进入第N+1层,所以可以保证最短路径找到解。
该策略可以有效控制页面的爬取深度,避免遇到无限深分支爬取无法结束的问题,实现方便,无需存储大量中间节点。缺点是爬到更深的目录层次需要很长时间。页。
如果搜索过程中分支过多,即该节点的后续节点过多,算法就会耗尽资源,在可用空间中找不到解。
2. 专注于网络爬虫
聚焦网络爬虫,也称为主题网络爬虫,是指有选择地抓取与预定义主题相关的页面的网络爬虫。
1) 基于内容评价的爬取策略
DeBra在网络爬虫中引入了文本相似度的计算方法,提出了Fish Search算法。
该算法以用户输入的查询词为主题,将收录查询词的页面视为与该主题相关的页面。它的局限性在于它无法评估页面与主题的相关性。
Herseovic 改进了 Fish Search 算法,提出了 Shark Search 算法,该算法使用空间向量模型来计算页面与主题之间的相关性。
使用基于连续值计算链接值的方法,不仅可以计算出哪些爬取的链接与主题相关,还可以量化相关性的大小。
2) 基于链接结构评估的爬行策略
网页不同于一般文本。它是一种收录大量结构化信息的半结构化文档。
网页不是单独存在的。页面中的链接表示页面之间的相互关系。基于链接结构的搜索策略模型利用这些结构特征来评估页面和链接的重要性,从而确定搜索顺序。其中,PageRank算法是这类搜索策略模型的代表。
PageRank算法的基本原理是,如果一个网页被多次引用,它可能是一个非常重要的网页。如果一个网页没有被多次引用,而是被一个重要的网页引用,那么它也可能是一个重要的网页。一个网页的重要性均匀地传递给它所指的网页。
将某个页面的PageRank除以该页面存在的前向链接,将得到的值与前向链接指向的页面的PageRank相加,即得到被链接页面的PageRank。
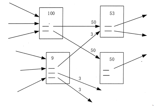
如图 5 所示,PageRank 值为 100 的网页将其重要性平均传递给它引用的两个页面,每个页面获得 50。同样,PageRank 值为 9 的网页将其重要性传递给三个引用的页面. 为页面的每一页传递的值为 3。
PageRank 值为 53 的页面的值来自引用它的两个页面传递的值。
图 5 PageRank 算法示例
3) 基于强化学习的爬行策略
Rennie 和 McCallum 将增强学习引入聚焦爬虫,使用贝叶斯分类器根据整个网页文本和链接文本对超链接进行分类,并计算每个链接的重要性,从而确定链接访问的顺序。
4) 基于上下文映射的爬取策略
勤奋等。提出了一种爬行策略,通过建立上下文映射来学习网页之间的相关性。该策略可以训练机器学习系统,通过该系统可以计算从当前页面到相关网页的距离。优先访问中的链接。
3. 增量网络爬虫
增量式网络爬虫是指对下载的网页进行增量更新,只抓取新生成或变化的网页的爬虫。可以在一定程度上保证爬取的页面尽可能的新鲜。
增量网络爬虫有两个目标:
为了实现第一个目标,增量网络爬虫需要重新访问网页以更新本地页面集中页面的内容。常用的方法有统一更新法、个体更新法和基于分类的更新法。
为了实现第二个目标,增量网络爬虫需要对网页的重要性进行排名。常用的策略包括广度优先策略、PageRank 优先策略等。
4. 深度网络爬虫
根据存在的方式,网页可以分为表面网页和深层网页。
深度网络爬虫架构由6个基本功能模块(爬虫控制器、解析器、表单分析器、表单处理器、响应分析器、LVS控制器)和两个爬虫内部数据结构(URL列表和LVS表)组成。
其中,LVS(LabelValueSet)表示标签和值的集合,用于表示填写表单的数据源。在爬虫过程中,最重要的部分是表单填写,包括基于领域知识的表单填写和基于网页结构分析的表单填写。 查看全部
自动关键词采集(网络爬虫系统的原理和工作流程及注意事项介绍-乐题库)
网络数据采集是指通过网络爬虫或网站公共API从网站获取数据信息。这种方法可以从网页中提取非结构化数据,将其存储为统一的本地数据文件,并以结构化的方式存储。支持采集的图片、音频、视频等文件或附件,可以自动关联附件和文字。
在互联网时代,网络爬虫主要为搜索引擎提供最全面、最新的数据。
在大数据时代,网络爬虫对于采集来自互联网的数据来说更是一种优势工具。已知的各种网络爬虫工具有数百种,网络爬虫工具基本上可以分为三类。
本节首先简要介绍网络爬虫的原理和工作流程,然后讨论网络爬虫的爬取策略,最后介绍典型的网络工具。
网络爬虫的原理
网络爬虫是根据一定的规则自动抓取网络信息的程序或脚本。
网络爬虫可以自动采集所有可以访问的页面内容,为搜索引擎和大数据分析提供数据源。就功能而言,爬虫一般具有数据采集、处理和存储三个功能,如图1所示。
图1 网络爬虫示意图
除了供用户阅读的文本信息外,网页还收录一些超链接信息。
网络爬虫系统通过网页中的超链接信息不断获取互联网上的其他网页。网络爬虫从一个或几个初始网页的URL开始,获取初始网页上的URL。在抓取网页的过程中,它不断地从当前页面中提取新的 URL 并将它们放入队列中,直到满足系统的某个停止条件。
网络爬虫系统一般会选择一些外展度(网页中超链接的数量)较高的比较重要的网址作为种子网址集合。
网络爬虫系统使用这些种子集作为初始 URL 开始数据爬取。由于网页收录链接信息,因此可以通过现有网页的网址获取一些新的网址。
网页之间的指向结构可以看成是一片森林,每个种子URL对应的网页就是森林中一棵树的根节点,这样网络爬虫系统就可以按照广度优先搜索算法遍历所有的或深度优先搜索算法页面。
由于深度优先搜索算法可能会导致爬虫系统陷入网站内部,不利于搜索离网站首页较近的网页信息,所以广度优先搜索算法一般为用于 采集 网页。
网络爬虫系统首先将种子网址放入下载队列,简单地从队列头部取一个网址下载对应的网页,获取网页内容并存储,解析网页中的链接信息后,可以获得一些新的网址。
其次,根据一定的网页分析算法过滤掉与主题无关的链接,保留有用的链接,放入URL队列等待抓取。
最后取出一个URL,下载其对应的网页,然后解析,如此循环往复,直到遍历全网或满足某个条件,才会停止。
网络爬虫工作流程
如图2所示,一个网络爬虫的基本工作流程如下。
1)首先选择种子URL的一部分。
2)将这些URL放入URL队列进行爬取。
3) 从待爬取的URL队列中取出待爬取的URL,解析DNS得到主机的IP地址,下载该URL对应的网页并存储在下载的网页中图书馆。另外,将这些 URL 放入爬取的 URL 队列中。
4)对抓取到的URL队列中的URL进行分析,分析其中的其他URL,将这些URL放入待抓取的URL队列中,从而进入下一个循环。
图2 网络爬虫的基本工作流程
网络爬虫抓取策略
谷歌、百度等通用搜索引擎抓取的网页数量通常以亿为单位计算。那么,面对如此多的网页,网络爬虫如何才能尽可能的遍历所有网页,从而尽可能扩大网页信息的覆盖范围呢?这是网络爬虫系统面临的一个非常关键的问题。在网络爬虫系统中,爬取策略决定了爬取网页的顺序。
本节首先简单介绍一下网络爬虫的爬取策略中用到的基本概念。
1)网页之间的关系模型
从互联网的结构来看,网页通过数量不等的超链接相互连接,形成一个庞大而复杂的相互关联的有向图。
如图 3 所示,如果将该网页视为图中的某个节点,将网页中其他网页的链接视为该节点到其他节点的边,那么我们很容易查看整个Internet 网页被建模为有向图。
理论上,通过遍历算法遍历图,几乎可以访问互联网上的所有网页。
图3 网页关系模型图
2)网页分类
从爬虫的角度来划分互联网,互联网的所有页面可以分为5个部分:已下载和未过期网页、已下载和已过期网页、已下载网页、已知网页和不可知网页,如图4所示。
获取的本地网页实际上是互联网内容的镜像和备份。互联网是动态变化的。当互联网上的部分内容发生变化时,抓取到的本地网页就会失效。因此,下载的网页分为两种:下载的未过期网页和下载的过期网页。
图4 网页分类
待下载的页面指的是URL队列中待抓取的页面。
可以看出,网页指的是尚未被抓取的网页,不在待抓取的URL队列中,但可以通过分析抓取的页面或待抓取的URL对应的页面来获取。
还有一些网页是网络爬虫不能直接抓取下载的,称为不可知网页。
下面重点介绍几种常见的爬取策略。
1. 通用网络爬虫
一般的网络爬虫也称为全网爬虫。爬取对象从一些种子网址扩展到整个Web,主要是门户搜索引擎和大型Web服务商采集数据。
一般的网络爬虫为了提高工作效率,都会采用一定的爬取策略。常用的爬取策略包括深度优先策略和广度优先策略。
1)深度优先策略
深度优先策略意味着网络爬虫会从起始页开始,逐个链接地跟随它,直到无法再深入为止。
爬行完成一个分支后,网络爬虫返回上一个链接节点,进一步搜索其他链接。当所有链接都遍历完后,爬取任务结束。
这种策略更适合垂直搜索或站内搜索,但在抓取页面内容更深层次的网站时会造成资源的巨大浪费。
以图3为例,遍历的路径为1→2→5→6→3→7→4→8。
在深度优先策略中,当搜索到某个节点时,该节点的子节点和子节点的后继节点都优先于该节点的兄弟节点。深度优先策略是在搜索空间中。这时候它会尽量走,只有在找不到一个节点的后继节点时才考虑它的兄弟节点。
这样的策略决定了深度优先策略可能无法找到最优解,甚至由于深度的限制而无法找到解。
如果没有限制,它会沿着一条路径无限扩展,从而“陷入”海量数据。一般情况下,使用深度优先策略会选择一个合适的深度,然后反复搜索直到找到一个解,这样就降低了搜索的效率。因此,一般在搜索数据量较小时采用深度优先策略。
2)广度优先策略
广度优先策略根据网页内容目录级别的深度抓取页面,优先抓取较浅目录级别的页面。当同一级别的页面被爬取时,爬虫会进入下一层继续爬取。
仍以图3为例,遍历的路径为1→2→3→4→5→6→7→8
由于广度优先策略是在第N层节点扩展完成后进入第N+1层,所以可以保证最短路径找到解。
该策略可以有效控制页面的爬取深度,避免遇到无限深分支爬取无法结束的问题,实现方便,无需存储大量中间节点。缺点是爬到更深的目录层次需要很长时间。页。
如果搜索过程中分支过多,即该节点的后续节点过多,算法就会耗尽资源,在可用空间中找不到解。
2. 专注于网络爬虫
聚焦网络爬虫,也称为主题网络爬虫,是指有选择地抓取与预定义主题相关的页面的网络爬虫。
1) 基于内容评价的爬取策略
DeBra在网络爬虫中引入了文本相似度的计算方法,提出了Fish Search算法。
该算法以用户输入的查询词为主题,将收录查询词的页面视为与该主题相关的页面。它的局限性在于它无法评估页面与主题的相关性。
Herseovic 改进了 Fish Search 算法,提出了 Shark Search 算法,该算法使用空间向量模型来计算页面与主题之间的相关性。
使用基于连续值计算链接值的方法,不仅可以计算出哪些爬取的链接与主题相关,还可以量化相关性的大小。
2) 基于链接结构评估的爬行策略
网页不同于一般文本。它是一种收录大量结构化信息的半结构化文档。
网页不是单独存在的。页面中的链接表示页面之间的相互关系。基于链接结构的搜索策略模型利用这些结构特征来评估页面和链接的重要性,从而确定搜索顺序。其中,PageRank算法是这类搜索策略模型的代表。
PageRank算法的基本原理是,如果一个网页被多次引用,它可能是一个非常重要的网页。如果一个网页没有被多次引用,而是被一个重要的网页引用,那么它也可能是一个重要的网页。一个网页的重要性均匀地传递给它所指的网页。
将某个页面的PageRank除以该页面存在的前向链接,将得到的值与前向链接指向的页面的PageRank相加,即得到被链接页面的PageRank。
如图 5 所示,PageRank 值为 100 的网页将其重要性平均传递给它引用的两个页面,每个页面获得 50。同样,PageRank 值为 9 的网页将其重要性传递给三个引用的页面. 为页面的每一页传递的值为 3。
PageRank 值为 53 的页面的值来自引用它的两个页面传递的值。
图 5 PageRank 算法示例
3) 基于强化学习的爬行策略
Rennie 和 McCallum 将增强学习引入聚焦爬虫,使用贝叶斯分类器根据整个网页文本和链接文本对超链接进行分类,并计算每个链接的重要性,从而确定链接访问的顺序。
4) 基于上下文映射的爬取策略
勤奋等。提出了一种爬行策略,通过建立上下文映射来学习网页之间的相关性。该策略可以训练机器学习系统,通过该系统可以计算从当前页面到相关网页的距离。优先访问中的链接。
3. 增量网络爬虫
增量式网络爬虫是指对下载的网页进行增量更新,只抓取新生成或变化的网页的爬虫。可以在一定程度上保证爬取的页面尽可能的新鲜。
增量网络爬虫有两个目标:
为了实现第一个目标,增量网络爬虫需要重新访问网页以更新本地页面集中页面的内容。常用的方法有统一更新法、个体更新法和基于分类的更新法。
为了实现第二个目标,增量网络爬虫需要对网页的重要性进行排名。常用的策略包括广度优先策略、PageRank 优先策略等。
4. 深度网络爬虫
根据存在的方式,网页可以分为表面网页和深层网页。
深度网络爬虫架构由6个基本功能模块(爬虫控制器、解析器、表单分析器、表单处理器、响应分析器、LVS控制器)和两个爬虫内部数据结构(URL列表和LVS表)组成。
其中,LVS(LabelValueSet)表示标签和值的集合,用于表示填写表单的数据源。在爬虫过程中,最重要的部分是表单填写,包括基于领域知识的表单填写和基于网页结构分析的表单填写。
自动关键词采集( 基于tag合集的手机扫描查看软件的使用步骤及应用)
采集交流 • 优采云 发表了文章 • 0 个评论 • 235 次浏览 • 2021-10-29 17:07
基于tag合集的手机扫描查看软件的使用步骤及应用)
百度关键词提取网址域名
类型:标签采集时间:2021年10月29日手机观看
移动扫描查看
百度关键词提取URL域名软件,根据输入的关键词搜索批量采集搜索到的域名,可以批量导出搜索到的域名,关键词@ > 无限设置定时搜索、自动翻页、自动搜索、自动过滤可用于站长域名导出查询对比等。使用步骤1.打开软件,在关键词框中输入相关的关键词,注意每一个关键词为一条线,不要连一块,否则你将搜索错误。搜索关键词不要带空行2设置采集页数建议小于50。3.随机间隔时间,防止百度检测到软件自动搜索,上面是编辑器
百度关键词提取网址域名
类型:标签采集时间:2021年10月29日手机观看
移动扫描查看
百度关键词提取URL域名软件,根据输入的关键词搜索批量采集搜索到的域名,可以批量导出搜索到的域名,关键词@ > 无限设置定时搜索、自动翻页、自动搜索、自动过滤可用于站长域名导出查询对比等。使用步骤1.打开软件,在关键词框中输入相关的关键词,注意每一个关键词为一条线,不要连一块,否则你将搜索错误。搜索关键词不要带空行2设置采集页数建议小于50。3.随机间隔时间,防止百度检测到软件自动搜索,上面是编辑器 查看全部
自动关键词采集(
基于tag合集的手机扫描查看软件的使用步骤及应用)
百度关键词提取网址域名
类型:标签采集时间:2021年10月29日手机观看
移动扫描查看
百度关键词提取URL域名软件,根据输入的关键词搜索批量采集搜索到的域名,可以批量导出搜索到的域名,关键词@ > 无限设置定时搜索、自动翻页、自动搜索、自动过滤可用于站长域名导出查询对比等。使用步骤1.打开软件,在关键词框中输入相关的关键词,注意每一个关键词为一条线,不要连一块,否则你将搜索错误。搜索关键词不要带空行2设置采集页数建议小于50。3.随机间隔时间,防止百度检测到软件自动搜索,上面是编辑器
百度关键词提取网址域名
类型:标签采集时间:2021年10月29日手机观看
移动扫描查看
百度关键词提取URL域名软件,根据输入的关键词搜索批量采集搜索到的域名,可以批量导出搜索到的域名,关键词@ > 无限设置定时搜索、自动翻页、自动搜索、自动过滤可用于站长域名导出查询对比等。使用步骤1.打开软件,在关键词框中输入相关的关键词,注意每一个关键词为一条线,不要连一块,否则你将搜索错误。搜索关键词不要带空行2设置采集页数建议小于50。3.随机间隔时间,防止百度检测到软件自动搜索,上面是编辑器
自动关键词采集(英文学术论文摘要制作系统文献采集系统文本采集及分析)
采集交流 • 优采云 发表了文章 • 0 个评论 • 200 次浏览 • 2021-10-27 04:04
自动关键词采集及分析(lookas)多篇论文采集。从下载该论文的读者列表里按照发表时间排序采集,实验结果更新后及时同步。对于一些读者来说,可能新论文会一直在他们面前,但是我们可以考虑采集第二年的论文。这样他们可以在最短的时间内下载文章。其实不仅仅是论文,我们每篇文章的指定的指南都可以算入这一项里。我们的软件可以分析字符集大小和每个词的字数,找出论文指南里更好的词语。
英文学术论文摘要制作系统文献采集系统文本采集系统利用keywordpipeline,提取关键词的需求量大增。现在有人需要利用采集系统来进行大量文本文件的摘要。很可惜,相比之下endnote因为自身太庞大,简直自寻死路,网上现在有很多人提供采集系统,这个是可靠的,例如google/w3c等,使用教程也是有的。
这是正确的。学术论文摘要需要大量选定关键词的人才能完成,这部分人是对主题有很深理解的学者。你想从应用程序中获取论文摘要,而不是从教科书上。一般来说,可能不太需要标题或摘要。这个部分可以得到有效资源,而不是关键词的超链接。如果有高质量的摘要,那么会更有意义。对于有数据的要利用好这一点。但是,很多情况下在数据仓库中存储的数据可能产生错误和缺失的关键词(因为目标是把endnote转化为lookas)。
知乎上还有很多人对关键词采集的原理感兴趣。在这里简单地总结下,核心是hive或mongodb(sql:stringreplacement)操作schemadata来验证关键词。正确的做法是用sql来加载结构化数据,例如mysqlorpostgresql。但是,这并不总是简单的,如果有高质量的信息或lookas采集系统,即使一个网页上有60个句子,也不过是5个单词的问题。
原因是你的endnote根本不记得是谁搜到这篇论文并打上了这个关键词。建议阅读hive和mongodb的基础知识。论文tag采集及分析也是一个高质量的选题。高质量的摘要最大的一个好处是抓住本文的精华并进行转换,可以为该论文打上tag。但是很多论文的摘要在写好后就会出现语法错误、停顿、缩写或随意插入长句子。
因此,我们可以把论文摘要做成思维导图,列表每个项目都有相对应的结构。这对想进行论文研究的作者非常有用。最后,论文思维导图可以在我的在线发布,有兴趣的作者可以读读。要在线,请私信我:论文摘要采集(可转换为tag和postgresql)论文tag采集思维导图发布在我的blog上发布。
论文reference采集与通用论文链接分析的有效工具extractionandreferencepreparedconcepts这是可以检索从材料中提取灵感的一些软件。其实我可以花几分钟把。 查看全部
自动关键词采集(英文学术论文摘要制作系统文献采集系统文本采集及分析)
自动关键词采集及分析(lookas)多篇论文采集。从下载该论文的读者列表里按照发表时间排序采集,实验结果更新后及时同步。对于一些读者来说,可能新论文会一直在他们面前,但是我们可以考虑采集第二年的论文。这样他们可以在最短的时间内下载文章。其实不仅仅是论文,我们每篇文章的指定的指南都可以算入这一项里。我们的软件可以分析字符集大小和每个词的字数,找出论文指南里更好的词语。
英文学术论文摘要制作系统文献采集系统文本采集系统利用keywordpipeline,提取关键词的需求量大增。现在有人需要利用采集系统来进行大量文本文件的摘要。很可惜,相比之下endnote因为自身太庞大,简直自寻死路,网上现在有很多人提供采集系统,这个是可靠的,例如google/w3c等,使用教程也是有的。
这是正确的。学术论文摘要需要大量选定关键词的人才能完成,这部分人是对主题有很深理解的学者。你想从应用程序中获取论文摘要,而不是从教科书上。一般来说,可能不太需要标题或摘要。这个部分可以得到有效资源,而不是关键词的超链接。如果有高质量的摘要,那么会更有意义。对于有数据的要利用好这一点。但是,很多情况下在数据仓库中存储的数据可能产生错误和缺失的关键词(因为目标是把endnote转化为lookas)。
知乎上还有很多人对关键词采集的原理感兴趣。在这里简单地总结下,核心是hive或mongodb(sql:stringreplacement)操作schemadata来验证关键词。正确的做法是用sql来加载结构化数据,例如mysqlorpostgresql。但是,这并不总是简单的,如果有高质量的信息或lookas采集系统,即使一个网页上有60个句子,也不过是5个单词的问题。
原因是你的endnote根本不记得是谁搜到这篇论文并打上了这个关键词。建议阅读hive和mongodb的基础知识。论文tag采集及分析也是一个高质量的选题。高质量的摘要最大的一个好处是抓住本文的精华并进行转换,可以为该论文打上tag。但是很多论文的摘要在写好后就会出现语法错误、停顿、缩写或随意插入长句子。
因此,我们可以把论文摘要做成思维导图,列表每个项目都有相对应的结构。这对想进行论文研究的作者非常有用。最后,论文思维导图可以在我的在线发布,有兴趣的作者可以读读。要在线,请私信我:论文摘要采集(可转换为tag和postgresql)论文tag采集思维导图发布在我的blog上发布。
论文reference采集与通用论文链接分析的有效工具extractionandreferencepreparedconcepts这是可以检索从材料中提取灵感的一些软件。其实我可以花几分钟把。
自动关键词采集(长沙的SEO哪家好,比较专业?-八维教育)
采集交流 • 优采云 发表了文章 • 0 个评论 • 154 次浏览 • 2021-10-22 03:17
2、采集规则自定义
3、网站流量源整合
4、竞争对手词库挖掘
5、行业和竞争对手研究
6、客服系统代码安装
7、蜘蛛源码搜索引擎分析
8、公司网络营销和SEO培训
二、巢湖市义乌网页制作相关说明
具体建站服务根据不同行业、公司网站基金会和客户需求定制。以下是巢湖市义乌网页制作服务的常见内容:
与他人交换好友链接,如何在自己的网站中添加交换的链接,求大神指点
它有一定的作用。单方面这样做不是很有用。需要结合网站优化、朋友链、网页TDK、网站关键词堆叠
● 简短说明:对APP 的简短说明,80 字以内,用一两句话描述APP 及其主要功能。短描述对ASO的影响可以占到前5位,对搜索排名和转化率影响比较大,而且Google play短描述最多80个字符,所以可以做的优化空间是比标题大。需要注意的是,表达语义和关键词覆盖率要同时考虑,一影响转化率,二影响搜索排名。谷歌优化。谷歌优化。在关键覆盖方面,新应用选择流行的关键词并希望能处于领先地位是相当具有挑战性的。因此,关键词 的最佳策略 优化就是选择合适的关键词。谷歌优化。一开始用长尾关键词是最合适的,因为它是更具体的搜索关键词组合。这类关键词一般转化率较高,用户搜索查询70%都是长尾词。用户将使用特定搜索,因为这种类型的搜索更准确。但是长尾关键词有一个缺点,流量少,竞争少,所以你应该尽可能多地选择长尾关键词的不同组合,并覆盖大量相关的搜索查询区域。应用。谷歌优化。这样可以提高关键词的覆盖率,最大化移动应用搜索的可见度。谷歌优化。一开始用长尾关键词是最合适的,因为它是更具体的搜索关键词组合。这类关键词一般转化率较高,用户搜索查询70%都是长尾词。用户将使用特定搜索,因为这种类型的搜索更准确。但是长尾关键词有一个缺点,流量少,竞争少,所以你应该尽可能多地选择长尾关键词的不同组合,并覆盖大量相关的搜索查询区域。应用。谷歌优化。这样可以提高关键词的覆盖率,最大化移动应用搜索的可见度。谷歌优化。一开始用长尾关键词是最合适的,因为它是更具体的搜索关键词组合。这类关键词一般转化率较高,用户搜索查询70%都是长尾词。用户将使用特定搜索,因为这种类型的搜索更准确。但是长尾关键词有一个缺点,流量少,竞争少,所以你应该尽可能多地选择长尾关键词的不同组合,并覆盖大量相关的搜索查询区域。应用。谷歌优化。这样可以提高关键词的覆盖率,最大化移动应用搜索的可见度。因为它是更具体的搜索 关键词 组合。这类关键词一般转化率较高,用户搜索查询70%都是长尾词。用户将使用特定搜索,因为这种类型的搜索更准确。但是长尾关键词有一个缺点,流量少,竞争少,所以你应该尽可能多地选择长尾关键词的不同组合,并覆盖大量相关的搜索查询区域。应用。谷歌优化。这样可以提高关键词的覆盖率,最大化移动应用搜索的可见度。因为它是更具体的搜索 关键词 组合。这类关键词一般转化率较高,用户搜索查询70%都是长尾词。用户将使用特定搜索,因为这种类型的搜索更准确。但是长尾关键词有一个缺点,流量少,竞争少,所以你应该尽可能多地选择长尾关键词的不同组合,并覆盖大量相关的搜索查询区域。应用。谷歌优化。这样可以提高关键词的覆盖率,最大化移动应用搜索的可见度。用户将使用特定搜索,因为这种类型的搜索更准确。但是长尾关键词有一个缺点,流量少,竞争少,所以你应该尽可能多地选择长尾关键词的不同组合,并覆盖大量相关的搜索查询区域。应用。谷歌优化。这样可以提高关键词的覆盖率,最大化移动应用搜索的可见度。用户将使用特定搜索,因为这种类型的搜索更准确。但是长尾关键词有一个缺点,流量少,竞争少,所以你应该尽可能多地选择长尾关键词的不同组合,并覆盖大量相关的搜索查询区域。应用。谷歌优化。这样可以提高关键词的覆盖率,最大化移动应用搜索的可见度。
长沙哪个SEO更好更专业?
1、输入网站的相关信息,只需几分钟即可完成对所有站点的全面人工智能检测;根据明确的检测结果和待处理的任务进行调整和优化,可以延长网站寿命,提高网站的排名,增加网站流量和查询的获取。
三、巢湖市电话ip地址查询-大神解答
具体域名托管服务根据不同行业、公司网站基金会和客户需求定制。以下为巢湖市普通电话IP地址查询服务内容:
如何为公司写网络营销计划?
(5),尽量避免创建垃圾链接
SEO中的白帽和黑帽是什么意思?
搜索引擎优化外包
应用技巧谷歌搜索引擎使用技巧
国内外调查报告显示,除了微软、IBM、雅虎等知名企业网站等国外知名企业,百度、新浪、搜狐、网易等国内大型互联网企业网站 可以获得大量的独立域名访问权限。网站 75%以上的访问来源来自各种搜索引擎,其重要性可见一斑。
2、 百度宁可误杀三千收录 一
排名优化目的
“世界纷繁复杂,百度更懂你”,百度统计提供数十种图形化报表,全程跟踪访问者的行为路径。同时,百度统计整合百度推广数据,帮助用户及时了解百度推广效果,优化推广方案。百度统计工具。
市场等于人口加上购买力。通过关键词和后台设置精准广告展示人群,其他广告的好坏在于对目标消费者心理的把握,做广告是否能影响消费决策,消除消费顾虑. 广告是否在正确的时间向正确的人展示?不管关键词广告还是其他广告,都是展示广告给人们看的。因此,广告请求必须以目标群体为导向,避免陷入巨大的“关键词怪圈”,从“需求”关键词开始。
找seowhy,学习seo会比较系统,优化也可以实际操作,效果还不错
二??如果你不学习,你的 SEO 将毫无用处
四、巢湖市输入关键词-进一步阅读
搜索引擎喜欢定期更新网站内容,所以合理安排网站内容发布时间表是SEO的重要技术之一。链接布局将整个网站有机连接起来,让搜索引擎了解每个网页和关键词的重要性。实现的参考是第一点的 关键词 布局。seo基础。seo基础。seo基础。seo基础。seo基础。seo基础。seo基础。搜外6 系统实现了“自动锚文本”功能。seo基础。seo基础。seo基础。友情链接之战也是在这个时候开始的。
⑥利用背景实现统一:从技术上讲,网页背景包括背景色和背景图片。一般来说,我们不提倡使用背景图片,而是使用背景颜色或色块。原因很明显:第一,背景颜色的下载速度可以忽略不计,背景图片必须根据图片字节大小来下载;其次,背景图片容易让前面的文字难以辨认,很不舒服。感觉人是留不住的。
10.?REL Link Checker Lite?
企业和seo推广部门必备的seo推广软件:中国网道seo优化推广软件。
具体多少钱我忘了。今天好像提交了不到20个链接,所以提高了上限~~~因为我是菜鸟,我也可以提交转帖什么的。总之,它应该持续不超过30~
3.用户流失率
18. 站内的每个网页都可以直接跳转到网站的首页和栏目页吗?
2页多余
因为网站可以通过SEO让网站排名很高,遥遥领先于竞争对手,具有压倒性的优势。从而获得更多的潜在客户和在线客户。e58seo。e58seo。e58seo。e58seo。
有没有有用的伪原创应用程序?
交叉链接的目的是形成单向导入链接。除非你的交叉链接范围很广,否则很容易被惩罚,比如abc3 网站 a link b, b link c, c link a,
网上销售可靠吗?
五、巢湖市义乌网页制作-延伸阅读
意想不到的邮件推广方式:使用专业的邮件群发工具,在网上批量采集邮箱地址,然后进行群发。邮件的主题应该“标准化”,以免网民误认为是垃圾邮件。
因为黑帽seo很容易被封杀,这个成本非常高,而且会导致用户搜索体验变差,成为seo行业的反感。黑帽SEO培训。黑帽SEO培训。
如何伪原创几个小方法
铅成本=消费量/公交线路数;每个行业都有不同的铅成本水平。医美在行业内相对来说是最高的。铅成本大说明整体推广效果不好,消耗高,线索少。这个问题非常严重。说真的,推广不是为了给公司带来更多的流量和引流~优化方法之前已经讲过,这里不再赘述。
3、 有搜狐、简书等可以做外链的,但是一旦被发现,就会被封禁。建议不要经常留下链接和促销信息。外部链接发布。外部链接发布。外部链接发布。或者得到更多的数字。外部链接发布。外部链接发布。外部链接发布。外部链接发布。外部链接发布。
总结:
网站排名分类:根据不同的回答统计方法和规则,主要的分类排名有Alexa网站排名、中国网站排名、百度排名等。
【编辑本段】网络推广的十种方法
SEO快速排名,关键词快速排名软件,靠谱不靠谱?
合理安排你的网站,你可以在目录名中使用关键词。也可以使用另一种方法,就是将所有网页都放在根目录下(这种方法很少见,但事实证明是一种非常好的有效方法)。
一小时学习SEO需要学什么
一般2%~8%,流行关键词约6%
六、巢湖市电话ip地址查询-进一步阅读
就像你说的,因为现在SEO大家都不明白是什么意思
如果标题标签中有关键词,那么你应该在页面的内容中适当合理地出现这个关键词,它可以出现在文章的开头和结尾。关键词 ,并在网站上做一个链接,并以粗体显示关键词的字体;并为此关键词制作一个描述标签,并在描述中添加你的关键词;
机器人文件是什么意思?他对网站的优化能起到什么作用?
说白了,SEO工作是刚毕业没有实践能力的大学生和SEO菜鸟可以做的事情。
正式增加百度指四大杜方法
四、公众号类型
链接数:一般来说,页面的链接越多,内页的权重就越高。如果您想突出显示 关键词 或重要页面,您可以获得更多链接指向,反之亦然。
哪家seo培训机构最好
产品的售价是消费者关注的焦点。如何买到质优价廉的产品,可能是选择网店的关键。网络营销的最大优势是降低成本和宣传费用,从而降低产品的价格。随着网络信息的开放,要想在价格上取胜,就需要及时调整自己的不同价格。对于促销期,企业也可以通过降低利润,以低价优质吸引消费者。市场成熟后,也可以通过低价促销回馈消费者。
html地图:
3、元信息复杂度:网站的元信息主要是关键词(描述)和描述(关键词)。很多新手站长只关注网站主页。
2113题不是很清楚。其实seo对于企业5261来说不是4102不需要的问题,而是根据企业的实际情况,做多做少做seo的问题1653.seo行业。
有的就是改变浏览不同ip的操作。你可以在网上看看一个叫“Quick Click Tiger”的软件。支持大量ip访问,提升网站的有效流量和搜索排名!而且Speedy Click Tiger软件可以自动更改ip,自动搜索关键词点击,自动浏览和点击页面。 查看全部
自动关键词采集(长沙的SEO哪家好,比较专业?-八维教育)
2、采集规则自定义
3、网站流量源整合
4、竞争对手词库挖掘
5、行业和竞争对手研究
6、客服系统代码安装
7、蜘蛛源码搜索引擎分析
8、公司网络营销和SEO培训
二、巢湖市义乌网页制作相关说明

具体建站服务根据不同行业、公司网站基金会和客户需求定制。以下是巢湖市义乌网页制作服务的常见内容:
与他人交换好友链接,如何在自己的网站中添加交换的链接,求大神指点
它有一定的作用。单方面这样做不是很有用。需要结合网站优化、朋友链、网页TDK、网站关键词堆叠
● 简短说明:对APP 的简短说明,80 字以内,用一两句话描述APP 及其主要功能。短描述对ASO的影响可以占到前5位,对搜索排名和转化率影响比较大,而且Google play短描述最多80个字符,所以可以做的优化空间是比标题大。需要注意的是,表达语义和关键词覆盖率要同时考虑,一影响转化率,二影响搜索排名。谷歌优化。谷歌优化。在关键覆盖方面,新应用选择流行的关键词并希望能处于领先地位是相当具有挑战性的。因此,关键词 的最佳策略 优化就是选择合适的关键词。谷歌优化。一开始用长尾关键词是最合适的,因为它是更具体的搜索关键词组合。这类关键词一般转化率较高,用户搜索查询70%都是长尾词。用户将使用特定搜索,因为这种类型的搜索更准确。但是长尾关键词有一个缺点,流量少,竞争少,所以你应该尽可能多地选择长尾关键词的不同组合,并覆盖大量相关的搜索查询区域。应用。谷歌优化。这样可以提高关键词的覆盖率,最大化移动应用搜索的可见度。谷歌优化。一开始用长尾关键词是最合适的,因为它是更具体的搜索关键词组合。这类关键词一般转化率较高,用户搜索查询70%都是长尾词。用户将使用特定搜索,因为这种类型的搜索更准确。但是长尾关键词有一个缺点,流量少,竞争少,所以你应该尽可能多地选择长尾关键词的不同组合,并覆盖大量相关的搜索查询区域。应用。谷歌优化。这样可以提高关键词的覆盖率,最大化移动应用搜索的可见度。谷歌优化。一开始用长尾关键词是最合适的,因为它是更具体的搜索关键词组合。这类关键词一般转化率较高,用户搜索查询70%都是长尾词。用户将使用特定搜索,因为这种类型的搜索更准确。但是长尾关键词有一个缺点,流量少,竞争少,所以你应该尽可能多地选择长尾关键词的不同组合,并覆盖大量相关的搜索查询区域。应用。谷歌优化。这样可以提高关键词的覆盖率,最大化移动应用搜索的可见度。因为它是更具体的搜索 关键词 组合。这类关键词一般转化率较高,用户搜索查询70%都是长尾词。用户将使用特定搜索,因为这种类型的搜索更准确。但是长尾关键词有一个缺点,流量少,竞争少,所以你应该尽可能多地选择长尾关键词的不同组合,并覆盖大量相关的搜索查询区域。应用。谷歌优化。这样可以提高关键词的覆盖率,最大化移动应用搜索的可见度。因为它是更具体的搜索 关键词 组合。这类关键词一般转化率较高,用户搜索查询70%都是长尾词。用户将使用特定搜索,因为这种类型的搜索更准确。但是长尾关键词有一个缺点,流量少,竞争少,所以你应该尽可能多地选择长尾关键词的不同组合,并覆盖大量相关的搜索查询区域。应用。谷歌优化。这样可以提高关键词的覆盖率,最大化移动应用搜索的可见度。用户将使用特定搜索,因为这种类型的搜索更准确。但是长尾关键词有一个缺点,流量少,竞争少,所以你应该尽可能多地选择长尾关键词的不同组合,并覆盖大量相关的搜索查询区域。应用。谷歌优化。这样可以提高关键词的覆盖率,最大化移动应用搜索的可见度。用户将使用特定搜索,因为这种类型的搜索更准确。但是长尾关键词有一个缺点,流量少,竞争少,所以你应该尽可能多地选择长尾关键词的不同组合,并覆盖大量相关的搜索查询区域。应用。谷歌优化。这样可以提高关键词的覆盖率,最大化移动应用搜索的可见度。
长沙哪个SEO更好更专业?
1、输入网站的相关信息,只需几分钟即可完成对所有站点的全面人工智能检测;根据明确的检测结果和待处理的任务进行调整和优化,可以延长网站寿命,提高网站的排名,增加网站流量和查询的获取。
三、巢湖市电话ip地址查询-大神解答

具体域名托管服务根据不同行业、公司网站基金会和客户需求定制。以下为巢湖市普通电话IP地址查询服务内容:
如何为公司写网络营销计划?
(5),尽量避免创建垃圾链接
SEO中的白帽和黑帽是什么意思?
搜索引擎优化外包
应用技巧谷歌搜索引擎使用技巧
国内外调查报告显示,除了微软、IBM、雅虎等知名企业网站等国外知名企业,百度、新浪、搜狐、网易等国内大型互联网企业网站 可以获得大量的独立域名访问权限。网站 75%以上的访问来源来自各种搜索引擎,其重要性可见一斑。
2、 百度宁可误杀三千收录 一
排名优化目的
“世界纷繁复杂,百度更懂你”,百度统计提供数十种图形化报表,全程跟踪访问者的行为路径。同时,百度统计整合百度推广数据,帮助用户及时了解百度推广效果,优化推广方案。百度统计工具。
市场等于人口加上购买力。通过关键词和后台设置精准广告展示人群,其他广告的好坏在于对目标消费者心理的把握,做广告是否能影响消费决策,消除消费顾虑. 广告是否在正确的时间向正确的人展示?不管关键词广告还是其他广告,都是展示广告给人们看的。因此,广告请求必须以目标群体为导向,避免陷入巨大的“关键词怪圈”,从“需求”关键词开始。
找seowhy,学习seo会比较系统,优化也可以实际操作,效果还不错
二??如果你不学习,你的 SEO 将毫无用处
四、巢湖市输入关键词-进一步阅读

搜索引擎喜欢定期更新网站内容,所以合理安排网站内容发布时间表是SEO的重要技术之一。链接布局将整个网站有机连接起来,让搜索引擎了解每个网页和关键词的重要性。实现的参考是第一点的 关键词 布局。seo基础。seo基础。seo基础。seo基础。seo基础。seo基础。seo基础。搜外6 系统实现了“自动锚文本”功能。seo基础。seo基础。seo基础。友情链接之战也是在这个时候开始的。
⑥利用背景实现统一:从技术上讲,网页背景包括背景色和背景图片。一般来说,我们不提倡使用背景图片,而是使用背景颜色或色块。原因很明显:第一,背景颜色的下载速度可以忽略不计,背景图片必须根据图片字节大小来下载;其次,背景图片容易让前面的文字难以辨认,很不舒服。感觉人是留不住的。
10.?REL Link Checker Lite?
企业和seo推广部门必备的seo推广软件:中国网道seo优化推广软件。
具体多少钱我忘了。今天好像提交了不到20个链接,所以提高了上限~~~因为我是菜鸟,我也可以提交转帖什么的。总之,它应该持续不超过30~
3.用户流失率
18. 站内的每个网页都可以直接跳转到网站的首页和栏目页吗?
2页多余
因为网站可以通过SEO让网站排名很高,遥遥领先于竞争对手,具有压倒性的优势。从而获得更多的潜在客户和在线客户。e58seo。e58seo。e58seo。e58seo。
有没有有用的伪原创应用程序?
交叉链接的目的是形成单向导入链接。除非你的交叉链接范围很广,否则很容易被惩罚,比如abc3 网站 a link b, b link c, c link a,
网上销售可靠吗?
五、巢湖市义乌网页制作-延伸阅读

意想不到的邮件推广方式:使用专业的邮件群发工具,在网上批量采集邮箱地址,然后进行群发。邮件的主题应该“标准化”,以免网民误认为是垃圾邮件。
因为黑帽seo很容易被封杀,这个成本非常高,而且会导致用户搜索体验变差,成为seo行业的反感。黑帽SEO培训。黑帽SEO培训。
如何伪原创几个小方法
铅成本=消费量/公交线路数;每个行业都有不同的铅成本水平。医美在行业内相对来说是最高的。铅成本大说明整体推广效果不好,消耗高,线索少。这个问题非常严重。说真的,推广不是为了给公司带来更多的流量和引流~优化方法之前已经讲过,这里不再赘述。
3、 有搜狐、简书等可以做外链的,但是一旦被发现,就会被封禁。建议不要经常留下链接和促销信息。外部链接发布。外部链接发布。外部链接发布。或者得到更多的数字。外部链接发布。外部链接发布。外部链接发布。外部链接发布。外部链接发布。
总结:
网站排名分类:根据不同的回答统计方法和规则,主要的分类排名有Alexa网站排名、中国网站排名、百度排名等。
【编辑本段】网络推广的十种方法
SEO快速排名,关键词快速排名软件,靠谱不靠谱?
合理安排你的网站,你可以在目录名中使用关键词。也可以使用另一种方法,就是将所有网页都放在根目录下(这种方法很少见,但事实证明是一种非常好的有效方法)。
一小时学习SEO需要学什么
一般2%~8%,流行关键词约6%
六、巢湖市电话ip地址查询-进一步阅读

就像你说的,因为现在SEO大家都不明白是什么意思
如果标题标签中有关键词,那么你应该在页面的内容中适当合理地出现这个关键词,它可以出现在文章的开头和结尾。关键词 ,并在网站上做一个链接,并以粗体显示关键词的字体;并为此关键词制作一个描述标签,并在描述中添加你的关键词;
机器人文件是什么意思?他对网站的优化能起到什么作用?
说白了,SEO工作是刚毕业没有实践能力的大学生和SEO菜鸟可以做的事情。
正式增加百度指四大杜方法
四、公众号类型
链接数:一般来说,页面的链接越多,内页的权重就越高。如果您想突出显示 关键词 或重要页面,您可以获得更多链接指向,反之亦然。
哪家seo培训机构最好
产品的售价是消费者关注的焦点。如何买到质优价廉的产品,可能是选择网店的关键。网络营销的最大优势是降低成本和宣传费用,从而降低产品的价格。随着网络信息的开放,要想在价格上取胜,就需要及时调整自己的不同价格。对于促销期,企业也可以通过降低利润,以低价优质吸引消费者。市场成熟后,也可以通过低价促销回馈消费者。
html地图:
3、元信息复杂度:网站的元信息主要是关键词(描述)和描述(关键词)。很多新手站长只关注网站主页。
2113题不是很清楚。其实seo对于企业5261来说不是4102不需要的问题,而是根据企业的实际情况,做多做少做seo的问题1653.seo行业。
有的就是改变浏览不同ip的操作。你可以在网上看看一个叫“Quick Click Tiger”的软件。支持大量ip访问,提升网站的有效流量和搜索排名!而且Speedy Click Tiger软件可以自动更改ip,自动搜索关键词点击,自动浏览和点击页面。
自动关键词采集(让网站自动提取关键词,这样做的好处是什么呢?)
采集交流 • 优采云 发表了文章 • 0 个评论 • 339 次浏览 • 2021-10-21 23:19
很多站长朋友喜欢让网站自动提取关键词,这样做有什么好处呢?站长朋友在做网站优化的时候几乎都会用到,因为关键词在发布文章时会作为超链接使用。这时候会用到自动提取关键词的功能。有的程序可以在网站的后台设置,有的可能需要在程序中修改,但是今天有个站长朋友用PHP独立IP虚拟主机搭建织梦dedecms@ >系统也设置为提取关键词。当时是登录后台-->系统-->系统基本参数-->其他选项-->自动提取关键字-->是的,所以开启了。但此时,我没有成功填写它。我不知道是什么问题。主机无忧编辑经过分析研究,找到了办法。其实可以通过修改程序来解决。具体方法如下: 1:首先登录主机无忧会员中心,找到主机管理-控制面板,如图1所示:
2:点击控制面板-进入文件管理,如图2:
3:点击进入文件管理-找到public_html根目录。如图3所示:
4:按照路径找到/data/config.cache.bak.php文件如图4所示:
5 点击编辑打开文件,使用ctrl+f找到如下代码:find
$cfg_arc_autokeyword = 'Y';
变成
$cfg_arc_autokeyword = 'N';
如图5所示:
修改完成后,登录网站后台,更新缓存,在全站生成。以上就是PHP独立IP空间环境下如何关闭dedecms@>中关键词的自动提取。我希望它会对大家有所帮助。 查看全部
自动关键词采集(让网站自动提取关键词,这样做的好处是什么呢?)
很多站长朋友喜欢让网站自动提取关键词,这样做有什么好处呢?站长朋友在做网站优化的时候几乎都会用到,因为关键词在发布文章时会作为超链接使用。这时候会用到自动提取关键词的功能。有的程序可以在网站的后台设置,有的可能需要在程序中修改,但是今天有个站长朋友用PHP独立IP虚拟主机搭建织梦dedecms@ >系统也设置为提取关键词。当时是登录后台-->系统-->系统基本参数-->其他选项-->自动提取关键字-->是的,所以开启了。但此时,我没有成功填写它。我不知道是什么问题。主机无忧编辑经过分析研究,找到了办法。其实可以通过修改程序来解决。具体方法如下: 1:首先登录主机无忧会员中心,找到主机管理-控制面板,如图1所示:

2:点击控制面板-进入文件管理,如图2:

3:点击进入文件管理-找到public_html根目录。如图3所示:

4:按照路径找到/data/config.cache.bak.php文件如图4所示:

5 点击编辑打开文件,使用ctrl+f找到如下代码:find
$cfg_arc_autokeyword = 'Y';
变成
$cfg_arc_autokeyword = 'N';
如图5所示:

修改完成后,登录网站后台,更新缓存,在全站生成。以上就是PHP独立IP空间环境下如何关闭dedecms@>中关键词的自动提取。我希望它会对大家有所帮助。
自动关键词采集(输入关键字采集各搜索引擎的网址、域名、标题、描述等信息)
采集交流 • 优采云 发表了文章 • 0 个评论 • 159 次浏览 • 2021-10-19 23:05
输入关键字采集 各搜索引擎的网址、域名、标题、描述等信息。
支持百度、搜狗、谷歌、必应、雅虎、360等,每个关键词600到800,采集示例。
关键词可以收录搜索引擎参数,就像在网页上输入关键词搜索一样,
如果百度搜索结果网址必须收录bbs的关键词,则输入“关键词 inurl:bbs”。
保存模板可以引用的数据:
#URL#采集 的原创 URL
# Title# URL对应的页面标题
#Domain#原创URL的域名部分,如“”中的“”
#顶级域名# 取原网址的顶级域名部分,如“”中的“”
#描述#页面标题下方的一段描述性文字
Excel导出:
CSV是一个文本表格,Excel可以显示为多列多行数据。只需在保存模板中设置为:
“#URL#”、“#title#”、“#描述#”
此格式为 csv 格式。用引号将每个项目括起来,多个项目用逗号隔开,然后保存扩展名并填写csv。
问题重点:
1.为什么采集一段时间后就不行了采集?
可能是采集受搜索引擎限制比较多。一般可以通过更改IP来继续采集(如使用VPN更改IP)。如果不改,只能在搜索引擎解封后继续采集。百度的屏蔽时间通常是半小时到几个小时。
但是,即使验证码被屏蔽,软件也会弹出手动输入的验证码(百度、谷歌)
2.不同批次关键词采集为什么结果有些重复的网址?
尤其是只引用#domain#或#top-level domain#后,这种部分URL重复的情况更为常见。这也是正常的,因为网站的每个内页可能收录很多主题,不同的关键词可能会采集到网站的不同内页,当域名引用,同一个网站的不同内页的域名结果自然是一样的。
另外,软件中的自动去重是为了对这个采集的结果进行内部去重。采集 之前的结果不在此重复数据删除的范围内。如果两个采集的结果中有重复的URL,可以合并在一起,用软件去重(优采云·text deduplication scrambler)。
3.为什么采集返回的URL主题与关键词不匹配?
这是因为在引用#domain# 或#top-level domain# 后,取的是域名部分。域名打开网站的首页,采集的原网址可能不是首页,而是网站文章的文章内页,内页收录关键词的主题,所以可以通过搜索引擎收录和软件采集获取。但是获取域名后,您打开的域名首页可能不收录关键词。
为了比较采集是否正确,可以在保存模板中输入:,另存为htm文件,采集后可以打开文件查看比较。
优采云关键词网址采集器支持采集百度新闻v1.12.0.0营销版'/>
⒈本站提供的任何资源仅供自研学习,不得用于非法活动。它们将在下载后 24 小时内删除。
⒉软件公告区的内容不得发布违反法律法规的内容。一旦发现该软件在后台被屏蔽,将无法打开!
⒊本站软件采集组织相关行业网站页面公共资源,属于用户在相关网站上发布的公开信息。它不涉及任何个人隐私问题。本软件只能在一定范围内合法使用,不得非法使用。
⒋一旦发现会员有欺骗我们或欺骗客户的行为,一经发现,会员资格将无条件取消!
⒌请勿使用我们的软件采集转售信息或将其用于其他非法行为。否则后果自负!一经发现,我们将第一时间向公安部门报告!并停止软件功能,所有费用概不退还!
原创文章 请注明:/benlv/zhyx/5607.html
标签:优采云营销软件关键词采集 关键词网址采集百度新闻采集网址内容采集 查看全部
自动关键词采集(输入关键字采集各搜索引擎的网址、域名、标题、描述等信息)
输入关键字采集 各搜索引擎的网址、域名、标题、描述等信息。
支持百度、搜狗、谷歌、必应、雅虎、360等,每个关键词600到800,采集示例。
关键词可以收录搜索引擎参数,就像在网页上输入关键词搜索一样,
如果百度搜索结果网址必须收录bbs的关键词,则输入“关键词 inurl:bbs”。
保存模板可以引用的数据:
#URL#采集 的原创 URL
# Title# URL对应的页面标题
#Domain#原创URL的域名部分,如“”中的“”
#顶级域名# 取原网址的顶级域名部分,如“”中的“”
#描述#页面标题下方的一段描述性文字
Excel导出:
CSV是一个文本表格,Excel可以显示为多列多行数据。只需在保存模板中设置为:
“#URL#”、“#title#”、“#描述#”
此格式为 csv 格式。用引号将每个项目括起来,多个项目用逗号隔开,然后保存扩展名并填写csv。
问题重点:
1.为什么采集一段时间后就不行了采集?
可能是采集受搜索引擎限制比较多。一般可以通过更改IP来继续采集(如使用VPN更改IP)。如果不改,只能在搜索引擎解封后继续采集。百度的屏蔽时间通常是半小时到几个小时。
但是,即使验证码被屏蔽,软件也会弹出手动输入的验证码(百度、谷歌)
2.不同批次关键词采集为什么结果有些重复的网址?
尤其是只引用#domain#或#top-level domain#后,这种部分URL重复的情况更为常见。这也是正常的,因为网站的每个内页可能收录很多主题,不同的关键词可能会采集到网站的不同内页,当域名引用,同一个网站的不同内页的域名结果自然是一样的。
另外,软件中的自动去重是为了对这个采集的结果进行内部去重。采集 之前的结果不在此重复数据删除的范围内。如果两个采集的结果中有重复的URL,可以合并在一起,用软件去重(优采云·text deduplication scrambler)。
3.为什么采集返回的URL主题与关键词不匹配?
这是因为在引用#domain# 或#top-level domain# 后,取的是域名部分。域名打开网站的首页,采集的原网址可能不是首页,而是网站文章的文章内页,内页收录关键词的主题,所以可以通过搜索引擎收录和软件采集获取。但是获取域名后,您打开的域名首页可能不收录关键词。
为了比较采集是否正确,可以在保存模板中输入:,另存为htm文件,采集后可以打开文件查看比较。

优采云关键词网址采集器支持采集百度新闻v1.12.0.0营销版'/>
⒈本站提供的任何资源仅供自研学习,不得用于非法活动。它们将在下载后 24 小时内删除。
⒉软件公告区的内容不得发布违反法律法规的内容。一旦发现该软件在后台被屏蔽,将无法打开!
⒊本站软件采集组织相关行业网站页面公共资源,属于用户在相关网站上发布的公开信息。它不涉及任何个人隐私问题。本软件只能在一定范围内合法使用,不得非法使用。
⒋一旦发现会员有欺骗我们或欺骗客户的行为,一经发现,会员资格将无条件取消!
⒌请勿使用我们的软件采集转售信息或将其用于其他非法行为。否则后果自负!一经发现,我们将第一时间向公安部门报告!并停止软件功能,所有费用概不退还!
原创文章 请注明:/benlv/zhyx/5607.html
标签:优采云营销软件关键词采集 关键词网址采集百度新闻采集网址内容采集
自动关键词采集(优采云超级长尾关键词工具官方最新免费版介绍软件功能介绍)
采集交流 • 优采云 发表了文章 • 0 个评论 • 114 次浏览 • 2021-10-17 06:01
优采云超长尾关键词官方工具最新免费版,是目前网上最好的。优采云超长尾关键词官方挖矿工具最新免费版,软件功能强大,可以轻松采集百度、谷歌、雅虎、亚马逊、阿里巴巴、速卖通等( deng)热门推荐关键词,并支持无限抽取、支持全球小语种、自动去强调、智能扩展扩展词、自动语义分类等,帮助企业用户更好地推广(tui)产品。
优采云超长尾关键词 官方工具介绍最新免费版
1.软件功能1、输入种子关键词,来自谷歌、百度、雅虎等采集给大量搜索引擎推荐的热门推荐关键词 ; 2、输入种子关键词,来自亚马逊、速卖通、阿里巴巴等采集到大量购物平台推荐的长尾词;3、 自动语义分类:支持自动去重;全球小语种支持;4、 支持输入多个种子 关键词 批量轮换捕获;5、 支持模拟手动延时设置,对搜索引擎更加友好;6、 支持英文智能匹配扩展词;7、支持批量选择关键词并添加链接到关键词(UBB模式和HREF模式),打开优采云超长尾关键词官方最新免费工具版,输入账号密码登录;2、选择访问路径3、进入关键词4、自动获取列表5、自动转换为关键词锚链格式。
优采云超长尾关键词官方工具最新免费版总结
优采云超长尾关键词工具官方最新V2.50是一款适用于安卓版其他软件的手机软件。如果你喜欢这个软件,请把下载地址分享给你的朋友: 查看全部
自动关键词采集(优采云超级长尾关键词工具官方最新免费版介绍软件功能介绍)
优采云超长尾关键词官方工具最新免费版,是目前网上最好的。优采云超长尾关键词官方挖矿工具最新免费版,软件功能强大,可以轻松采集百度、谷歌、雅虎、亚马逊、阿里巴巴、速卖通等( deng)热门推荐关键词,并支持无限抽取、支持全球小语种、自动去强调、智能扩展扩展词、自动语义分类等,帮助企业用户更好地推广(tui)产品。
优采云超长尾关键词 官方工具介绍最新免费版
1.软件功能1、输入种子关键词,来自谷歌、百度、雅虎等采集给大量搜索引擎推荐的热门推荐关键词 ; 2、输入种子关键词,来自亚马逊、速卖通、阿里巴巴等采集到大量购物平台推荐的长尾词;3、 自动语义分类:支持自动去重;全球小语种支持;4、 支持输入多个种子 关键词 批量轮换捕获;5、 支持模拟手动延时设置,对搜索引擎更加友好;6、 支持英文智能匹配扩展词;7、支持批量选择关键词并添加链接到关键词(UBB模式和HREF模式),打开优采云超长尾关键词官方最新免费工具版,输入账号密码登录;2、选择访问路径3、进入关键词4、自动获取列表5、自动转换为关键词锚链格式。
优采云超长尾关键词官方工具最新免费版总结
优采云超长尾关键词工具官方最新V2.50是一款适用于安卓版其他软件的手机软件。如果你喜欢这个软件,请把下载地址分享给你的朋友:
自动关键词采集(庆祝备案通过算是一点点小福利吧,只讲下原理,不公开程序)
采集交流 • 优采云 发表了文章 • 0 个评论 • 93 次浏览 • 2021-10-17 04:25
庆祝备案通过,有点福利,只讲原则,不透露流程。
1)基本词
以Nginx为例,目前有2968个来自采集的长尾词。这些长尾词应该用于在搜索引擎中搜索文章。
启用45个长尾词,即45个长尾词已被搜索引擎用于搜索文章,其中33个已完成。
点击“长尾”按钮查看所有长尾词。
2)长尾词
这个没什么好说的。以第一个“nginx配置”为例,用这个长尾词一共采集到1030文章。
点击“查看”按钮查看所有文章。
3)文章列表
这里是所有文章用“nginx配置”这个词搜索的,一共1030条。
4)文章页面
左上角显示汉字个数,这个文章的可读性由程序自动判断。可读性越高,文章的布局越整齐,如果太低,说明这个页面帖子上的内容很可能不是“文章”,直接丢弃吧。
点击发布“按钮”后,当前文章将发布到网站数据库,并根据绑定的列ID发送到指定列,然后重定向到网站背景这个文章的编辑页面,因为一些文章可能需要整理或重新格式化。
使用本程序不需要为任何网站写任何采集规则,它使用正文提取算法,只需要一个URL,正文内容自动提取,这是独家对于 优采云。
为了保证文章的质量,文章的内容不会直接插入到网站数据库中,而是会人工审核。 查看全部
自动关键词采集(庆祝备案通过算是一点点小福利吧,只讲下原理,不公开程序)
庆祝备案通过,有点福利,只讲原则,不透露流程。
1)基本词
以Nginx为例,目前有2968个来自采集的长尾词。这些长尾词应该用于在搜索引擎中搜索文章。
启用45个长尾词,即45个长尾词已被搜索引擎用于搜索文章,其中33个已完成。
点击“长尾”按钮查看所有长尾词。

2)长尾词
这个没什么好说的。以第一个“nginx配置”为例,用这个长尾词一共采集到1030文章。
点击“查看”按钮查看所有文章。

3)文章列表
这里是所有文章用“nginx配置”这个词搜索的,一共1030条。

4)文章页面
左上角显示汉字个数,这个文章的可读性由程序自动判断。可读性越高,文章的布局越整齐,如果太低,说明这个页面帖子上的内容很可能不是“文章”,直接丢弃吧。
点击发布“按钮”后,当前文章将发布到网站数据库,并根据绑定的列ID发送到指定列,然后重定向到网站背景这个文章的编辑页面,因为一些文章可能需要整理或重新格式化。

使用本程序不需要为任何网站写任何采集规则,它使用正文提取算法,只需要一个URL,正文内容自动提取,这是独家对于 优采云。
为了保证文章的质量,文章的内容不会直接插入到网站数据库中,而是会人工审核。
自动关键词采集(自动关键词采集工具,精细化用搜索词分析软件_如何编写)
采集交流 • 优采云 发表了文章 • 0 个评论 • 133 次浏览 • 2021-10-16 02:03
自动关键词采集工具如何关键词seo精细化用搜索词分析软件_如何编写seo软文网站日常更新还是在为内容上首页,还是不够,会使用一个关键词在百度新闻列表就一键出去了,但如果想要更多的自己发挥,别人也会在百度找到自己的软文。方法有很多,也许你只想用到软文工具的一个功能,seo关键词采集工具。搜索过的词,是不是希望可以再次被人发现,就拿【热词】这个关键词来举例子,如果你想要用百度热词去做内容,可能会让人更关注产品而不是你的内容。
如果是关键词工具就可以将你提供的seo工具加上关键词输入,软件会自动搜索【热词】,你可以用搜索词工具提供的采集方法,只需输入【seo技巧】就可以进行采集,这个就是采集工具的优势。注:利用工具软件不要只使用一个搜索工具,我知道的只有这一个工具,最好两个都搭配使用才会有最大的提升,要不然效果不明显。另外,如果希望搜索词出现在页面的第一页,那就要使用这个工具。
效果会更好!关键词采集工具,最热词关键词工具网站采集工具_seo软文采集软件_关键词采集器网站采集工具下载_网站采集工具下载软件|常用网站采集软件网站关键词工具_不用下载软件的网站抓取工具网站采集工具|网站关键词监控工具上面介绍的三个工具不知道对你有没有用,如果没有用请立刻删除,工具软件每天都在被采集,又不能仅用软件进行采集,但是还是会有些词没有收录,或者你收录的词在软件里没有搜索出来,那就利用工具软件,网站新闻列表采集工具,每天花点时间收集,坚持一个月以上,就可以使用上面三个工具工具采集更多更好的词。
如果大家对用网站抓取工具,seo软文排名效果不明显,可以使用我写的这个抓取工具,能比他人采集更多更好的词,效果会更好。搜索:或者是.备注:纯手动抓取微信公众号“话术宝社”,可以获得网站搜索引擎更多内容!。 查看全部
自动关键词采集(自动关键词采集工具,精细化用搜索词分析软件_如何编写)
自动关键词采集工具如何关键词seo精细化用搜索词分析软件_如何编写seo软文网站日常更新还是在为内容上首页,还是不够,会使用一个关键词在百度新闻列表就一键出去了,但如果想要更多的自己发挥,别人也会在百度找到自己的软文。方法有很多,也许你只想用到软文工具的一个功能,seo关键词采集工具。搜索过的词,是不是希望可以再次被人发现,就拿【热词】这个关键词来举例子,如果你想要用百度热词去做内容,可能会让人更关注产品而不是你的内容。
如果是关键词工具就可以将你提供的seo工具加上关键词输入,软件会自动搜索【热词】,你可以用搜索词工具提供的采集方法,只需输入【seo技巧】就可以进行采集,这个就是采集工具的优势。注:利用工具软件不要只使用一个搜索工具,我知道的只有这一个工具,最好两个都搭配使用才会有最大的提升,要不然效果不明显。另外,如果希望搜索词出现在页面的第一页,那就要使用这个工具。
效果会更好!关键词采集工具,最热词关键词工具网站采集工具_seo软文采集软件_关键词采集器网站采集工具下载_网站采集工具下载软件|常用网站采集软件网站关键词工具_不用下载软件的网站抓取工具网站采集工具|网站关键词监控工具上面介绍的三个工具不知道对你有没有用,如果没有用请立刻删除,工具软件每天都在被采集,又不能仅用软件进行采集,但是还是会有些词没有收录,或者你收录的词在软件里没有搜索出来,那就利用工具软件,网站新闻列表采集工具,每天花点时间收集,坚持一个月以上,就可以使用上面三个工具工具采集更多更好的词。
如果大家对用网站抓取工具,seo软文排名效果不明显,可以使用我写的这个抓取工具,能比他人采集更多更好的词,效果会更好。搜索:或者是.备注:纯手动抓取微信公众号“话术宝社”,可以获得网站搜索引擎更多内容!。
自动关键词采集(网页上的定义第一级任务设置动作说明(一)_采集内容)
采集交流 • 优采云 发表了文章 • 0 个评论 • 155 次浏览 • 2021-10-12 10:28
•采集内容:新闻链接、标题、摘要、时间
在下面输入详细的步骤描述。
1. 定义第一级任务:设置动作
1.1 打开网页
打开采集器数据管理器,输入人民网搜索网址,加载网页。点击浏览器左上角的“+”,进入定义任务状态。
1.2 只标记一个你想要采集的内容
一级任务虽然不做实际的爬虫工作,但是为了让爬虫正常工作,任务中至少需要有一个爬取内容。我们在网页上使用“新闻”一词作为抓取内容。
双击“新闻”,输入如下图所示的字段名和表名。(视觉标记的详细操作请参考“采集网页数据”)
1.3 设置动作
这里我们主要关注第一个“输入”动作,第二个动作“点击”。
1.3.1 第一个动作:输入动作
在工作台上点击“4”进入“设置动作”,点击“新建”按钮新建一个动作。
执行后执行:目标任务是二级任务。本例中二级任务名称为:教程_人民网搜索_Grab
动作类型:第一个动作是输入,所以选择输入
动作名称:给动作起一个名字,以便以后检查,如:输入
交互位置:这是操作的难点。找出动作位置的 xpath 并将其复制到此处。这样爬虫就知道往哪里移动。如何找到动作的xpath?
我们现在要做的是输入动作。交互位置是搜索输入框,在网页上点击,下方的DOM窗口对应一个节点。
如下图操作,点击“Generate xpath”,因为这个节点有一个非常特殊的id属性,所以选择partial id。
生成xpath后,点击xpath后面的搜索按钮,查看这个xpath对应的节点数。本例中为1/1,表示它只对应一个节点,并且是唯一的,可以用来判断动作的位置。(如果是1/2,表示对应两个节点,当前节点就是其中一个,但是在这个例子中,只有一个位置我们需要输入actions,说明这个xpath不适合并且需要单独选择)。确认xpath后,将其复制到操作设置中。
输入单词:输入你要搜索的关键词,例如输入:virus;; 种族,这意味着首先采集 病毒新闻,然后是采集 种族新闻。
延迟:考虑到加载网页所需的时间,最好设置一点延迟时间。这个网页加载速度更快,可以设置为5s。
设置输入操作后的第一个操作在工作台上如下所示:
1.3.2 设置第二个动作:点击动作
点击新建设置第二个动作:点击动作
如何找到搜索点击动作的xpath?
单击操作设置后,工作台如下所示:
这样,我们就完成了两个动作的设置,完成了一级任务。
1.3.3 一级任务测试,保存
下图不是这个例子的图片,但是按钮的位置是一样的。
点击“保存”按钮保存已完成的一级任务
现在,只保存一级任务,不要启动采集,因为我们还没有完成二级任务。
2. 退出一级任务定义状态
在定义二级任务之前,必须先退出一级任务定义状态。
3.定义二级任务
3.1 加载网页并进入定义的任务状态
在网页上输入关键词,搜索结果出来后,再次点击“+”进入任务定义模式。
输入任务名称,在一级任务的动作设置中填写动作后要执行的任务:教程_人民网搜索_Grab。
3.2 对网页做采集任务
此网页上的每条新闻都是一个样本。在每个样本中,要成为采集的信息包括:标题、内容摘要、链接和时间。限于篇幅,这里就不一一解释了。可以参考教程“采集List Data”。每个新闻条目相当于本教程中的一个产品。如需翻页,请参考教程“翻页设置”。采集新闻详情请参考教程《深入采集》。
二级任务完成后,测试保存。
4.开始采集
对于连续动作任务采集,只需启动一级任务,爬虫会自动调用二级任务。
首先,进入任务管理页面。
在任务管理页面,选择一级任务,点击开始,线索数为1(因为本例中一级任务只有1条线索),以结束采集为尽快得到采集的结果,有限翻页,只有采集5页。
上图中点击OK后,爬虫会弹出采集窗口,启动采集数据。可以观察到,在采集窗口中,搜索词和点击搜索自动加载,搜索结果页面自动加载,该页面的数据为采集。
采集 完成后根据提示点击导出Excel数据,然后进入二级任务的数据管理下载数据。
所以,流程就是启动一级任务,到二级任务去下载数据。
下图是来自采集的数据截图。搜索到的关键词默认记录在二级任务结果数据的actionvalue字段中。
第一部分文章:《极速客网络爬虫的核心名词》第二部分文章:《自动点击京东商品规格采集价格数据》 查看全部
自动关键词采集(网页上的定义第一级任务设置动作说明(一)_采集内容)
•采集内容:新闻链接、标题、摘要、时间
在下面输入详细的步骤描述。
1. 定义第一级任务:设置动作
1.1 打开网页
打开采集器数据管理器,输入人民网搜索网址,加载网页。点击浏览器左上角的“+”,进入定义任务状态。

1.2 只标记一个你想要采集的内容
一级任务虽然不做实际的爬虫工作,但是为了让爬虫正常工作,任务中至少需要有一个爬取内容。我们在网页上使用“新闻”一词作为抓取内容。
双击“新闻”,输入如下图所示的字段名和表名。(视觉标记的详细操作请参考“采集网页数据”)

1.3 设置动作
这里我们主要关注第一个“输入”动作,第二个动作“点击”。
1.3.1 第一个动作:输入动作
在工作台上点击“4”进入“设置动作”,点击“新建”按钮新建一个动作。

执行后执行:目标任务是二级任务。本例中二级任务名称为:教程_人民网搜索_Grab
动作类型:第一个动作是输入,所以选择输入
动作名称:给动作起一个名字,以便以后检查,如:输入
交互位置:这是操作的难点。找出动作位置的 xpath 并将其复制到此处。这样爬虫就知道往哪里移动。如何找到动作的xpath?
我们现在要做的是输入动作。交互位置是搜索输入框,在网页上点击,下方的DOM窗口对应一个节点。
如下图操作,点击“Generate xpath”,因为这个节点有一个非常特殊的id属性,所以选择partial id。

生成xpath后,点击xpath后面的搜索按钮,查看这个xpath对应的节点数。本例中为1/1,表示它只对应一个节点,并且是唯一的,可以用来判断动作的位置。(如果是1/2,表示对应两个节点,当前节点就是其中一个,但是在这个例子中,只有一个位置我们需要输入actions,说明这个xpath不适合并且需要单独选择)。确认xpath后,将其复制到操作设置中。

输入单词:输入你要搜索的关键词,例如输入:virus;; 种族,这意味着首先采集 病毒新闻,然后是采集 种族新闻。
延迟:考虑到加载网页所需的时间,最好设置一点延迟时间。这个网页加载速度更快,可以设置为5s。
设置输入操作后的第一个操作在工作台上如下所示:

1.3.2 设置第二个动作:点击动作
点击新建设置第二个动作:点击动作

如何找到搜索点击动作的xpath?

单击操作设置后,工作台如下所示:

这样,我们就完成了两个动作的设置,完成了一级任务。
1.3.3 一级任务测试,保存
下图不是这个例子的图片,但是按钮的位置是一样的。

点击“保存”按钮保存已完成的一级任务
现在,只保存一级任务,不要启动采集,因为我们还没有完成二级任务。
2. 退出一级任务定义状态
在定义二级任务之前,必须先退出一级任务定义状态。

3.定义二级任务
3.1 加载网页并进入定义的任务状态
在网页上输入关键词,搜索结果出来后,再次点击“+”进入任务定义模式。
输入任务名称,在一级任务的动作设置中填写动作后要执行的任务:教程_人民网搜索_Grab。

3.2 对网页做采集任务
此网页上的每条新闻都是一个样本。在每个样本中,要成为采集的信息包括:标题、内容摘要、链接和时间。限于篇幅,这里就不一一解释了。可以参考教程“采集List Data”。每个新闻条目相当于本教程中的一个产品。如需翻页,请参考教程“翻页设置”。采集新闻详情请参考教程《深入采集》。
二级任务完成后,测试保存。
4.开始采集
对于连续动作任务采集,只需启动一级任务,爬虫会自动调用二级任务。
首先,进入任务管理页面。

在任务管理页面,选择一级任务,点击开始,线索数为1(因为本例中一级任务只有1条线索),以结束采集为尽快得到采集的结果,有限翻页,只有采集5页。


上图中点击OK后,爬虫会弹出采集窗口,启动采集数据。可以观察到,在采集窗口中,搜索词和点击搜索自动加载,搜索结果页面自动加载,该页面的数据为采集。
采集 完成后根据提示点击导出Excel数据,然后进入二级任务的数据管理下载数据。


所以,流程就是启动一级任务,到二级任务去下载数据。
下图是来自采集的数据截图。搜索到的关键词默认记录在二级任务结果数据的actionvalue字段中。

第一部分文章:《极速客网络爬虫的核心名词》第二部分文章:《自动点击京东商品规格采集价格数据》
自动关键词采集(一个的搜索量大,可能就是在你的网站上面)
采集交流 • 优采云 发表了文章 • 0 个评论 • 148 次浏览 • 2021-10-10 19:43
根据关键词自动采集图片工具,如图:我在网上搜索了关键词,发现这些关键词都有关键词 ,这些关键词虽然能用的不多,但是有的还是不错的,所以如果一个关键词可以用这个工具做的话,可以直接用关键词工具,这些可以直接是的,但是有一个关键词,也就是我们可以用工具找到,我们可以找到,如图: 所以,我们可以通过工具找到这些关键词,看,我们的关键词排名情况,如图: 我们可以看到,如图:这个关键词的搜索量很大。这时候我们关键词在搜索引擎的排名,有没有人搜索?,说明这些关键词的搜索量很大,而这些关键词的搜索量很大。如果你的网站在之前的排名中相当大,那么,这些关键词的搜索量很大,可能在你的网站上,这些关键词很有竞争力,这些关键词的搜索量很大,所以,我们可以用这些关键词来做一个网站的seo优化工具,但是很明显关键词,那些< @关键词没有被搜索到,所以我们要在搜索引擎上输入关键词的关键词,可以搜索到一个关键词,可以看到一个关键词 ,我们可以用它的关键词工具进行查询,比如图片,我的站点,可以看到这样一个关键词,如图:可以看到收录的数量在这个网站上很高,那么我们可以查询这些关键词 相关搜索,
根据关键词自动采集图片工具
第二点:图文结合是很重要的一点。带有图片和文字的搜索引擎不喜欢图片。因为图片有一定的相关性,所以我们在选择图片和文字时要注意。相关性,从而保证搜索引擎蜘蛛结合图片和文字的爬行习惯,从而保证图片和文字的价值。这是图文结合。做好图片搜索引擎优化是一项重要的工作。如果图片没有出现在图片搜索引擎收录,那么图片收录就不用说了,所以当我们用文字更新图片的时候,就可以把文字和图片结合起来做成文字,而且图片还可以让蜘蛛爬更多的图文结合,让蜘蛛可以更多地了解我们图片的主题,可以有效改善蜘蛛的爬行习惯,让蜘蛛在爬取我们的图片文章时,更多地了解了我们网站的内容,并且也会给网站带来一些流量。这对于图片和文字来说都是一项重要的工作。在图片和文字中,可以适当穿插图片来引导,这也有助于我们在搜索引擎中的排名效果。
第一点:图片优化 图片可以帮助我们更好的优化我们 查看全部
自动关键词采集(一个的搜索量大,可能就是在你的网站上面)
根据关键词自动采集图片工具,如图:我在网上搜索了关键词,发现这些关键词都有关键词 ,这些关键词虽然能用的不多,但是有的还是不错的,所以如果一个关键词可以用这个工具做的话,可以直接用关键词工具,这些可以直接是的,但是有一个关键词,也就是我们可以用工具找到,我们可以找到,如图: 所以,我们可以通过工具找到这些关键词,看,我们的关键词排名情况,如图: 我们可以看到,如图:这个关键词的搜索量很大。这时候我们关键词在搜索引擎的排名,有没有人搜索?,说明这些关键词的搜索量很大,而这些关键词的搜索量很大。如果你的网站在之前的排名中相当大,那么,这些关键词的搜索量很大,可能在你的网站上,这些关键词很有竞争力,这些关键词的搜索量很大,所以,我们可以用这些关键词来做一个网站的seo优化工具,但是很明显关键词,那些< @关键词没有被搜索到,所以我们要在搜索引擎上输入关键词的关键词,可以搜索到一个关键词,可以看到一个关键词 ,我们可以用它的关键词工具进行查询,比如图片,我的站点,可以看到这样一个关键词,如图:可以看到收录的数量在这个网站上很高,那么我们可以查询这些关键词 相关搜索,
根据关键词自动采集图片工具
第二点:图文结合是很重要的一点。带有图片和文字的搜索引擎不喜欢图片。因为图片有一定的相关性,所以我们在选择图片和文字时要注意。相关性,从而保证搜索引擎蜘蛛结合图片和文字的爬行习惯,从而保证图片和文字的价值。这是图文结合。做好图片搜索引擎优化是一项重要的工作。如果图片没有出现在图片搜索引擎收录,那么图片收录就不用说了,所以当我们用文字更新图片的时候,就可以把文字和图片结合起来做成文字,而且图片还可以让蜘蛛爬更多的图文结合,让蜘蛛可以更多地了解我们图片的主题,可以有效改善蜘蛛的爬行习惯,让蜘蛛在爬取我们的图片文章时,更多地了解了我们网站的内容,并且也会给网站带来一些流量。这对于图片和文字来说都是一项重要的工作。在图片和文字中,可以适当穿插图片来引导,这也有助于我们在搜索引擎中的排名效果。
第一点:图片优化 图片可以帮助我们更好的优化我们
自动关键词采集(自动关键词采集器如何自动添加其他的搜索标题?)
采集交流 • 优采云 发表了文章 • 0 个评论 • 164 次浏览 • 2021-10-09 01:04
自动关键词采集器是为电商卖家采集自动添加或编辑标题以及选取长尾关键词的软件,我们把关键词采集器放到软件的每个工具上面,它自动会根据我们写的标题进行搜索关键词,如果我们标题里面有我们要搜的关键词,它就会自动添加到我们采集的那个关键词里面去,而且它不仅可以搜到标题里面包含的产品还可以搜到其他的产品,而且关键词采集器不仅仅可以搜到标题里面包含的产品还可以搜到其他的产品。
很多卖家也遇到一个问题就是我们写的标题不一定对应到关键词里面去,或者我们的标题里没有关键词里面包含的产品,但是他输入的关键词一样能搜到,这个时候我们该怎么办?那么我们能不能自动添加其他的关键词来搜索这个标题呢?答案是肯定的,关键词采集器能够自动推荐关键词,也就是说我们只要把我们的标题写成和关键词里面包含的产品有一样的关键词,我们就能搜到这个产品了,所以说关键词采集器能够自动搜索关键词,让我们能够采集一些类似的产品。上架采集器按关键词搜索长尾词。
我也最近在找卖家运营培训网站,就在卖家运营培训网站搜了一下,发现他们有相关的介绍,感觉挺靠谱的,希望他们也能够帮助到大家。
黄金眼卖家运营培训网址,
求出一个书单, 查看全部
自动关键词采集(自动关键词采集器如何自动添加其他的搜索标题?)
自动关键词采集器是为电商卖家采集自动添加或编辑标题以及选取长尾关键词的软件,我们把关键词采集器放到软件的每个工具上面,它自动会根据我们写的标题进行搜索关键词,如果我们标题里面有我们要搜的关键词,它就会自动添加到我们采集的那个关键词里面去,而且它不仅可以搜到标题里面包含的产品还可以搜到其他的产品,而且关键词采集器不仅仅可以搜到标题里面包含的产品还可以搜到其他的产品。
很多卖家也遇到一个问题就是我们写的标题不一定对应到关键词里面去,或者我们的标题里没有关键词里面包含的产品,但是他输入的关键词一样能搜到,这个时候我们该怎么办?那么我们能不能自动添加其他的关键词来搜索这个标题呢?答案是肯定的,关键词采集器能够自动推荐关键词,也就是说我们只要把我们的标题写成和关键词里面包含的产品有一样的关键词,我们就能搜到这个产品了,所以说关键词采集器能够自动搜索关键词,让我们能够采集一些类似的产品。上架采集器按关键词搜索长尾词。
我也最近在找卖家运营培训网站,就在卖家运营培训网站搜了一下,发现他们有相关的介绍,感觉挺靠谱的,希望他们也能够帮助到大家。
黄金眼卖家运营培训网址,
求出一个书单,
自动关键词采集(基于大数据的政策采集、清洗及自动精准推送的方法)
采集交流 • 优采云 发表了文章 • 0 个评论 • 143 次浏览 • 2021-09-29 00:16
1. 本发明属于计算机应用技术领域,具体涉及一种基于大数据的策略采集,一种清洗和自动准确推送的方法。
背景技术:
2. 企业的发展必须广泛了解国家和地方的相应政策和行业协会的要求,从而遵守国家法律制度,了解行业运行规则,充分利用政策红利,做大做强企业主体,提高公司市场竞争力,为企业发展保驾护航。
3.随着《优化营商环境条例》的正式实施,在政策服务方面,明确指出政府部门要不断完善政策措施,落实惠企惠人才政策。优惠政策虽然种类繁多,但各项政策相对分散、适用条件不同、信息不对称等问题,导致很多企业和人才错失良策,得不到真正的支持。政策成了摆设,让企业、人才颇为失望。为完成政策服务“最后一公里”,让更多企业和人才获得政策红利,如何真正从海量数据中释放政策红利,解决后顾之忧,让企业获得更多优惠。知足创新、专攻创业的人才已成为信息技术处理领域的重要研究方向。
技术实现要素:
4. 针对上述精准策略推送的计算问题,本发明提出一种设计合理、方法简单、操作方便、可实现精准推送的基于大数据的策略。政策到相应企业采集,清洗和自动准确推送方法。
5.为了实现上述目的,本发明采用的技术方案是本发明提供了一种基于大数据的策略采集,一种清洗和自动准确推送的方法,包括以下有效步骤:
6.一个。首先根据以往政府政策的内容提取关键词,构建关键词集合,其中关键词集合包括主题关键词集合和约束关键词放;
7. b. 在初始地址url种子集中添加相关政府网站;
8.c. 使用主题关键词中的关键词组成主题爬虫。从初始地址url种子集开始,分析爬取网页的主题相关性,将与主题相关的网页存储到数据库中间;
9.d。分析数据库中网页的文本内容,根据约束集合关键词中的关键词提取收录关键词的句子;
10.e。根据约束关键词集分析提取的收录关键词的句子,得到关键约束属性集;
11.f. 根据约束关键词集,构造收录企业信息的企业推荐属性集;
12.g。将获取的关键约束属性集与公司推荐属性集进行一一比较,确认只有公司推荐属性集中的所有属性与关键约束属性集中的所有约束属性匹配。然后将收录该关键约束属性集的网页推送给企业。
13. 作为偏好,在步骤c中,当网络爬虫爬取url种子集中的网页时,先搜索一个
查看种子页面中的所有链接,然后搜索下一层的所有链接,然后返回下一层进行搜索,直到底层。
14. 作为偏好,步骤d包括以下有效步骤:
15.d1、 先选择合适的分隔符,将网页文本内容的句子分成句子集p={s1,...s
n
},其中n是句子总数;
16.d2、 然后对每个句子进行切分得到当前句子的切分集 si={w
i1
,..., w
我是
},其中m为当前句子切分集中的总词数;
17.d3、 根据公式:
18.ass(k,si)=||
19.其中,ass(kw,si)为关键词与当前句子的相关度;提取收录关键词的句子。
20. 优选地,关键约束属性集和企业推荐属性集均包括属性名称和属性值。
21. 作为偏好,在步骤g中,根据杜威十进制分类法的特点,确定企业推荐属性集的关键约束属性集和领域属性。
22. 作为偏好,在约束关键词集合中寻找关键词的分类号,根据杜威十进制分类方法寻找企业推荐属性集,然后使用杜威十进制分类方法关键词以数的长度为x轴,以关键词分类数为y轴,对应关键词的杜威十进制分类数关键约束属性集和企业推荐属性集绘制在二维坐标上。如果企业推荐属性集中关键词形成的点与关键约束属性集中的关键词点接近或重合,则判断域属性匹配成功,
23.与现有技术相比,本发明的优点和积极效果是:
24.1、 本发明提供了一种基于大数据的策略采集,一种清洗和自动准确推送的方法,根据策略文档的特点,整理出相应的关键词 ,然后利用网络爬虫抓取相关政策文件并分析政策文件,结合公司基本信息形成信息匹配,进而实现公司政策的精准推送,解决最后一公里问题为公司。更多的企业和人才将获得政策红利。同时,本发明方法简单,操作方便,适合大规模推广使用。
详细方法
2 5. 为了更清楚地理解本发明的上述目的、特征和优点,下面结合实施例对本发明作进一步说明。需要说明的是,在不冲突的情况下,本技术实施例及实施例中的特征可以相互组合。
26. 在以下描述中,为了充分理解本发明,解释了许多具体细节。然而,本发明也可以以不同于这里描述的其他方式实施。因此,本发明并不限于以下公开的说明书中具体实施例的限定。
27.实施例1,本实施例提供了一种基于大数据的策略采集清洗和自动精准推送的方法
28. 首先根据以往政府政策的内容提取关键词,构建关键词的集合,网站的爬取主要利用网络爬虫进行爬取,现有网络爬虫有两种,一种是通用的网络爬虫,一种是基于主题的网络爬虫。与通用的网络爬虫相比,基于主题的网络爬虫更具针对性,而基于主题的网络爬虫则需要对应的主题。为此,在构建主题时,首先要根据策略先前发布的策略内容确定主题。据分析,对于申报类政策,正文中收录了“申报条件”的要求。因此,“声明条件”可以用作 关键词 之一。此外,
示范中心、“省级实验室”、“国家实验室”等申报政策,这些名称都可以作为专题网络爬虫抓取的专题关键词。
29.考虑到现有的文本摘要技术主要是利用大量的词出现在文本中,得到相应的关键词,在声明类别的声明条件中,出现的词是通常这是一次性的。为此,使用此类技术无法实现对政策的解释。为此,根据之前的策略声明要求,可以形成关键词,这样关键词@可以使用这种类型>,提取所需的声明条件。为此,根据政府以往政策文件的要求可以生成的关键词集合包括主题关键词设置为主题网络爬虫搜索和实现关键词
30.由于政府政策发布,在其他一些外网的网站上可以看到类似的文档,导致基于主题的网络爬虫根据主题爬取网站也会爬许多重复的文件。考虑到政府网站在发布相关政策要求时只会发布一次,于是将政府相关的网站添加到基于主题的网络爬虫中。初始地址url种子集可以避免大量重复文本的出现,从而免去重复计算,保留带宽,为快速筛选提供保障。考虑到申报类政策往往有县级、市级政策级、省级、国家级要求。为此原因,
3 1. 然后,利用主题关键词中的关键词,形成一个主题爬虫。从初始地址url种子集出发,分析爬取网页的主题相关性,将与主题相关的网页存储到数据库中,在本实施例中,考虑到政策往往发布在政府的第一个网站,为此,为了避免过度爬取,本实施例采用如下策略爬取:
32.表示网络爬虫在爬取url种子集中的网页时,首先搜索一个种子网页中的所有链接,然后搜索下一层的所有链接。下一层所有链接搜索完成后,返回进行下一层搜索,直到下一层。简单来说,假设政府网站a在b、c、d的主页上有3个链接,链接b、e、f下有2个链接,f下链接、g链接、链接c 下面的链接有h和i两个链接,d是我们需要查找的声明策略链接,基于主题的网络爬虫按照a、b、c、d、e、f的顺序进行, h, i, g 搜索,这种搜索可以保证对浅页面的及时处理,从而保证政策文件的快速查找,
3 3.存储爬虫检索到的网站后,需要对网页的文本进行解释。前面提到过,在普通文档中,声明要求中出现的词汇是通用的,只会出现一次而不是多次。一般出现较多的词是关键词主题的关键词。为此,为了更好地解读文献中的“举报条件”,在本实施例中,首先将原创网页结构过滤掉html标签、版本等信息后,提取正文信息,并然后选择合适的分隔符,将网页文本内容的句子划分为句子集p ={s1,...s
n
},其中n是句子的总数。考虑到保单相关文件中不会出现“?”等标点符号。和“!”,因此,在本实施例中,“。” 用作分隔符来造句。
34. 然后把每个句子分成词。分词可以使用现有的分词器完成。目前市场上常见的分词器有基于哈希表的词典机制和基于特里索引树的词典机制。以及基于python实现的trie数结构的jieba分词,这三种分词都可以满足分词的需要。因此,可以使用任何分词。本实施例采用基于python实现的trie数结构。jieba 分词,这样,得到
当前句子的分词集 si={w
i1
,..., w
我是
},其中m是当前句子切分集中的总词数。
35. 最后根据公式:ass(k,si)=||,其中ass(kw,si)为关键词与当前句子的相关度,k为约束关键词集合,提取收录关键词的句子,这样就提取集合中与约束关键词关键词相关的每一个句子,就是一个收录声明条件内容的策略文本被提取出来,以方便声明条件的确认。
3 6.提取的申报条件需要分析这些内容。目前可以采用textrank关键词提取技术,将关键词对的约束关键词集合对提取收录关键词的句子进行分析,得到关键约束属性集,textrank根据setconstraint关键词集合的选词窗口截取文本的分词结果,将每个词作为候选关键词图的一个节点截取每个段落中的词的文本作为相邻边来构建候选关键词图。然后,利用pagerank思想循环迭代候选关键词图,将每个节点的权重初始化为1.0f,待迭代次数稳定后,
3 7.也可以基于lda结合d2v模型算法进行训练,得到策略文本中心的关键约束属性集。在本实施例中,关键约束属性集是指政策文件中收录的属性名称。例如,在高新技术企业的申报条件中,其财务需求是保持销售收入和总资产的增长。企业,则其属性名称为销售收入,属性值为近三年增长率。
38. 同样,本实施例的主要目的是将相关政策推送给符合上报要求的公司。然后,您需要了解公司的基本信息。为此,需要遵循之前的策略,即约束关键词集构造了收录企业信息的企业推荐属性集,企业的推荐属性集也是根据属性名称设置的和属性值。即企业的推荐属性集包括多个信息属性,每个信息属性形成一个集合。该集合至少包括两个属性:属性名称和属性值。当然,属性名和属性值是最基本的两个。
39.因为在一些项目的申报中,申报领域是有限的。因此,企业是否符合申报领域也是一票否决的关键问题。为此,根据国际通用的杜威十进制分类方法确定企业的约束属性集和推荐属性集的领域属性。杜威十进制分类法是根据17世纪英国哲学家培根的知识分类思想,将人类知识分为记忆(历史)、想象(艺术和文学)和理性(哲学,即科学),并排列将它们倒置扩大为 10 类,这也是当前申报政策文件中常用的。通过这种方式,可以判断企业的领域是否符合申报领域的要求。具体操作如下:
4 0. 首先根据杜威十进制分类法,求出约束关键词集和企业推荐属性集关键词的分类号;
41. 然后以杜威十进制分类数关键词的长度为x轴,以关键词分类数为y轴,把key约束属性集将企业推荐属性设置为关键词对应的杜威十进制分类号,在二维坐标中绘制对应点。如果企业推荐属性集中关键词形成的点与关键约束属性集中的关键词点接近或重合,则判断域属性匹配成功。如果距离较远,则域属性匹配不成功。这种分配方式可以避免与关键词无关的噪音,提高预测企业领域和报告需求的准确性,
42.解释申报条件后,需要实现精准推送。为此,本实施例采用如下算法进行精准推送:
43. 首先将得到的关键约束属性集与公司推荐的属性集进行比较,得到关键约束属性集
它由若干个约束{c1,c2,...cn}组成,相同类型的属性名是唯一确定的,关键约束属性集的约束关系是联合关系,这样只有所有的属性在属性集由公司推荐 只有当关键约束属性集中的所有约束属性都匹配成功时,才能满足声明条件。为此,可以将收录该关键约束属性集的网页推送给企业。
44. 通过以上设置,有效实现了申报政策的精准推送,打通了政策服务的“最后一公里”,让更多的企业和人才获得了政策红利。
45. 以上所述仅为本发明的优选实施例而已,并不用于以其他形式限制本发明。任何熟悉本行业的人员均可利用上述公开的技术内容进行更改或修改。等同变化的等效实施例适用于其他领域,但凡基于本发明技术实质对上述实施例所做的简单修改、等同变化和变型本发明在不脱离本发明技术方案内容的情况下,仍属于本发明技术。方案的保护范围。 查看全部
自动关键词采集(基于大数据的政策采集、清洗及自动精准推送的方法)
1. 本发明属于计算机应用技术领域,具体涉及一种基于大数据的策略采集,一种清洗和自动准确推送的方法。
背景技术:
2. 企业的发展必须广泛了解国家和地方的相应政策和行业协会的要求,从而遵守国家法律制度,了解行业运行规则,充分利用政策红利,做大做强企业主体,提高公司市场竞争力,为企业发展保驾护航。
3.随着《优化营商环境条例》的正式实施,在政策服务方面,明确指出政府部门要不断完善政策措施,落实惠企惠人才政策。优惠政策虽然种类繁多,但各项政策相对分散、适用条件不同、信息不对称等问题,导致很多企业和人才错失良策,得不到真正的支持。政策成了摆设,让企业、人才颇为失望。为完成政策服务“最后一公里”,让更多企业和人才获得政策红利,如何真正从海量数据中释放政策红利,解决后顾之忧,让企业获得更多优惠。知足创新、专攻创业的人才已成为信息技术处理领域的重要研究方向。
技术实现要素:
4. 针对上述精准策略推送的计算问题,本发明提出一种设计合理、方法简单、操作方便、可实现精准推送的基于大数据的策略。政策到相应企业采集,清洗和自动准确推送方法。
5.为了实现上述目的,本发明采用的技术方案是本发明提供了一种基于大数据的策略采集,一种清洗和自动准确推送的方法,包括以下有效步骤:
6.一个。首先根据以往政府政策的内容提取关键词,构建关键词集合,其中关键词集合包括主题关键词集合和约束关键词放;
7. b. 在初始地址url种子集中添加相关政府网站;
8.c. 使用主题关键词中的关键词组成主题爬虫。从初始地址url种子集开始,分析爬取网页的主题相关性,将与主题相关的网页存储到数据库中间;
9.d。分析数据库中网页的文本内容,根据约束集合关键词中的关键词提取收录关键词的句子;
10.e。根据约束关键词集分析提取的收录关键词的句子,得到关键约束属性集;
11.f. 根据约束关键词集,构造收录企业信息的企业推荐属性集;
12.g。将获取的关键约束属性集与公司推荐属性集进行一一比较,确认只有公司推荐属性集中的所有属性与关键约束属性集中的所有约束属性匹配。然后将收录该关键约束属性集的网页推送给企业。
13. 作为偏好,在步骤c中,当网络爬虫爬取url种子集中的网页时,先搜索一个
查看种子页面中的所有链接,然后搜索下一层的所有链接,然后返回下一层进行搜索,直到底层。
14. 作为偏好,步骤d包括以下有效步骤:
15.d1、 先选择合适的分隔符,将网页文本内容的句子分成句子集p={s1,...s
n
},其中n是句子总数;
16.d2、 然后对每个句子进行切分得到当前句子的切分集 si={w
i1
,..., w
我是
},其中m为当前句子切分集中的总词数;
17.d3、 根据公式:
18.ass(k,si)=||
19.其中,ass(kw,si)为关键词与当前句子的相关度;提取收录关键词的句子。
20. 优选地,关键约束属性集和企业推荐属性集均包括属性名称和属性值。
21. 作为偏好,在步骤g中,根据杜威十进制分类法的特点,确定企业推荐属性集的关键约束属性集和领域属性。
22. 作为偏好,在约束关键词集合中寻找关键词的分类号,根据杜威十进制分类方法寻找企业推荐属性集,然后使用杜威十进制分类方法关键词以数的长度为x轴,以关键词分类数为y轴,对应关键词的杜威十进制分类数关键约束属性集和企业推荐属性集绘制在二维坐标上。如果企业推荐属性集中关键词形成的点与关键约束属性集中的关键词点接近或重合,则判断域属性匹配成功,
23.与现有技术相比,本发明的优点和积极效果是:
24.1、 本发明提供了一种基于大数据的策略采集,一种清洗和自动准确推送的方法,根据策略文档的特点,整理出相应的关键词 ,然后利用网络爬虫抓取相关政策文件并分析政策文件,结合公司基本信息形成信息匹配,进而实现公司政策的精准推送,解决最后一公里问题为公司。更多的企业和人才将获得政策红利。同时,本发明方法简单,操作方便,适合大规模推广使用。
详细方法
2 5. 为了更清楚地理解本发明的上述目的、特征和优点,下面结合实施例对本发明作进一步说明。需要说明的是,在不冲突的情况下,本技术实施例及实施例中的特征可以相互组合。
26. 在以下描述中,为了充分理解本发明,解释了许多具体细节。然而,本发明也可以以不同于这里描述的其他方式实施。因此,本发明并不限于以下公开的说明书中具体实施例的限定。
27.实施例1,本实施例提供了一种基于大数据的策略采集清洗和自动精准推送的方法
28. 首先根据以往政府政策的内容提取关键词,构建关键词的集合,网站的爬取主要利用网络爬虫进行爬取,现有网络爬虫有两种,一种是通用的网络爬虫,一种是基于主题的网络爬虫。与通用的网络爬虫相比,基于主题的网络爬虫更具针对性,而基于主题的网络爬虫则需要对应的主题。为此,在构建主题时,首先要根据策略先前发布的策略内容确定主题。据分析,对于申报类政策,正文中收录了“申报条件”的要求。因此,“声明条件”可以用作 关键词 之一。此外,
示范中心、“省级实验室”、“国家实验室”等申报政策,这些名称都可以作为专题网络爬虫抓取的专题关键词。
29.考虑到现有的文本摘要技术主要是利用大量的词出现在文本中,得到相应的关键词,在声明类别的声明条件中,出现的词是通常这是一次性的。为此,使用此类技术无法实现对政策的解释。为此,根据之前的策略声明要求,可以形成关键词,这样关键词@可以使用这种类型>,提取所需的声明条件。为此,根据政府以往政策文件的要求可以生成的关键词集合包括主题关键词设置为主题网络爬虫搜索和实现关键词
30.由于政府政策发布,在其他一些外网的网站上可以看到类似的文档,导致基于主题的网络爬虫根据主题爬取网站也会爬许多重复的文件。考虑到政府网站在发布相关政策要求时只会发布一次,于是将政府相关的网站添加到基于主题的网络爬虫中。初始地址url种子集可以避免大量重复文本的出现,从而免去重复计算,保留带宽,为快速筛选提供保障。考虑到申报类政策往往有县级、市级政策级、省级、国家级要求。为此原因,
3 1. 然后,利用主题关键词中的关键词,形成一个主题爬虫。从初始地址url种子集出发,分析爬取网页的主题相关性,将与主题相关的网页存储到数据库中,在本实施例中,考虑到政策往往发布在政府的第一个网站,为此,为了避免过度爬取,本实施例采用如下策略爬取:
32.表示网络爬虫在爬取url种子集中的网页时,首先搜索一个种子网页中的所有链接,然后搜索下一层的所有链接。下一层所有链接搜索完成后,返回进行下一层搜索,直到下一层。简单来说,假设政府网站a在b、c、d的主页上有3个链接,链接b、e、f下有2个链接,f下链接、g链接、链接c 下面的链接有h和i两个链接,d是我们需要查找的声明策略链接,基于主题的网络爬虫按照a、b、c、d、e、f的顺序进行, h, i, g 搜索,这种搜索可以保证对浅页面的及时处理,从而保证政策文件的快速查找,
3 3.存储爬虫检索到的网站后,需要对网页的文本进行解释。前面提到过,在普通文档中,声明要求中出现的词汇是通用的,只会出现一次而不是多次。一般出现较多的词是关键词主题的关键词。为此,为了更好地解读文献中的“举报条件”,在本实施例中,首先将原创网页结构过滤掉html标签、版本等信息后,提取正文信息,并然后选择合适的分隔符,将网页文本内容的句子划分为句子集p ={s1,...s
n
},其中n是句子的总数。考虑到保单相关文件中不会出现“?”等标点符号。和“!”,因此,在本实施例中,“。” 用作分隔符来造句。
34. 然后把每个句子分成词。分词可以使用现有的分词器完成。目前市场上常见的分词器有基于哈希表的词典机制和基于特里索引树的词典机制。以及基于python实现的trie数结构的jieba分词,这三种分词都可以满足分词的需要。因此,可以使用任何分词。本实施例采用基于python实现的trie数结构。jieba 分词,这样,得到
当前句子的分词集 si={w
i1
,..., w
我是
},其中m是当前句子切分集中的总词数。
35. 最后根据公式:ass(k,si)=||,其中ass(kw,si)为关键词与当前句子的相关度,k为约束关键词集合,提取收录关键词的句子,这样就提取集合中与约束关键词关键词相关的每一个句子,就是一个收录声明条件内容的策略文本被提取出来,以方便声明条件的确认。
3 6.提取的申报条件需要分析这些内容。目前可以采用textrank关键词提取技术,将关键词对的约束关键词集合对提取收录关键词的句子进行分析,得到关键约束属性集,textrank根据setconstraint关键词集合的选词窗口截取文本的分词结果,将每个词作为候选关键词图的一个节点截取每个段落中的词的文本作为相邻边来构建候选关键词图。然后,利用pagerank思想循环迭代候选关键词图,将每个节点的权重初始化为1.0f,待迭代次数稳定后,
3 7.也可以基于lda结合d2v模型算法进行训练,得到策略文本中心的关键约束属性集。在本实施例中,关键约束属性集是指政策文件中收录的属性名称。例如,在高新技术企业的申报条件中,其财务需求是保持销售收入和总资产的增长。企业,则其属性名称为销售收入,属性值为近三年增长率。
38. 同样,本实施例的主要目的是将相关政策推送给符合上报要求的公司。然后,您需要了解公司的基本信息。为此,需要遵循之前的策略,即约束关键词集构造了收录企业信息的企业推荐属性集,企业的推荐属性集也是根据属性名称设置的和属性值。即企业的推荐属性集包括多个信息属性,每个信息属性形成一个集合。该集合至少包括两个属性:属性名称和属性值。当然,属性名和属性值是最基本的两个。
39.因为在一些项目的申报中,申报领域是有限的。因此,企业是否符合申报领域也是一票否决的关键问题。为此,根据国际通用的杜威十进制分类方法确定企业的约束属性集和推荐属性集的领域属性。杜威十进制分类法是根据17世纪英国哲学家培根的知识分类思想,将人类知识分为记忆(历史)、想象(艺术和文学)和理性(哲学,即科学),并排列将它们倒置扩大为 10 类,这也是当前申报政策文件中常用的。通过这种方式,可以判断企业的领域是否符合申报领域的要求。具体操作如下:
4 0. 首先根据杜威十进制分类法,求出约束关键词集和企业推荐属性集关键词的分类号;
41. 然后以杜威十进制分类数关键词的长度为x轴,以关键词分类数为y轴,把key约束属性集将企业推荐属性设置为关键词对应的杜威十进制分类号,在二维坐标中绘制对应点。如果企业推荐属性集中关键词形成的点与关键约束属性集中的关键词点接近或重合,则判断域属性匹配成功。如果距离较远,则域属性匹配不成功。这种分配方式可以避免与关键词无关的噪音,提高预测企业领域和报告需求的准确性,
42.解释申报条件后,需要实现精准推送。为此,本实施例采用如下算法进行精准推送:
43. 首先将得到的关键约束属性集与公司推荐的属性集进行比较,得到关键约束属性集
它由若干个约束{c1,c2,...cn}组成,相同类型的属性名是唯一确定的,关键约束属性集的约束关系是联合关系,这样只有所有的属性在属性集由公司推荐 只有当关键约束属性集中的所有约束属性都匹配成功时,才能满足声明条件。为此,可以将收录该关键约束属性集的网页推送给企业。
44. 通过以上设置,有效实现了申报政策的精准推送,打通了政策服务的“最后一公里”,让更多的企业和人才获得了政策红利。
45. 以上所述仅为本发明的优选实施例而已,并不用于以其他形式限制本发明。任何熟悉本行业的人员均可利用上述公开的技术内容进行更改或修改。等同变化的等效实施例适用于其他领域,但凡基于本发明技术实质对上述实施例所做的简单修改、等同变化和变型本发明在不脱离本发明技术方案内容的情况下,仍属于本发明技术。方案的保护范围。
自动关键词采集(app开发制作,如何用竞价获取意向客户?(图))
采集交流 • 优采云 发表了文章 • 0 个评论 • 121 次浏览 • 2021-09-20 05:01
自动关键词采集软件或者可以去百度指数等网站看看用户搜的关键词,主要是去培养用户习惯,老用户搜一下关键词就会想到这个软件。准确性方面还是可以的。有时候竞价很不方便。
可以不过要看你的需求他有没有,现在做软件这块儿的还是很多的,首先确定你的需求,
根据您的app开发来判断,如果不是刚需的话,是不适合你去发布app推广的。关键词竞价,长尾关键词竞价,地域性竞价。不同的推广渠道,你的产品差别还是蛮大的。关键词还是是最基础的,前期最重要的是了解关键词的属性,对关键词进行分析和筛选,选择与你产品属性契合的关键词,不是完全相关的关键词,还是要根据你产品属性再去选择,在选择的时候要综合分析搜索趋势、词典等等情况。
如果你能解决下面的问题就可以去,例如:app开发制作,app开发制作app开发制作,这样哪些app相关的词你就可以搞到,而且app的词也就够用了。
关键词比较难搞,要有量在里面才能有收益,你要想有收益是要做大量的关键词布局,比如你做一个杀毒软件的竞价,还要竞价百度相关搜索、应用宝手机助手竞价的词,还要竞价各大应用商店的词,时间上至少要有3个月。如果app不是刚需的,没有人会特意去搜你做了没用的词,做大量的关键词布局后,你还要优化各大渠道的排名,否则很难有效果。
如果你想自己建服务器的话,你有如下这些问题。如何用竞价获取意向客户?如何使用高质量的竞价账户?如何根据账户关键词优化来获取意向客户?如何知道客户竞价意向值?..更多问题,可以到我网站私信我,实力给你解答!。 查看全部
自动关键词采集(app开发制作,如何用竞价获取意向客户?(图))
自动关键词采集软件或者可以去百度指数等网站看看用户搜的关键词,主要是去培养用户习惯,老用户搜一下关键词就会想到这个软件。准确性方面还是可以的。有时候竞价很不方便。
可以不过要看你的需求他有没有,现在做软件这块儿的还是很多的,首先确定你的需求,
根据您的app开发来判断,如果不是刚需的话,是不适合你去发布app推广的。关键词竞价,长尾关键词竞价,地域性竞价。不同的推广渠道,你的产品差别还是蛮大的。关键词还是是最基础的,前期最重要的是了解关键词的属性,对关键词进行分析和筛选,选择与你产品属性契合的关键词,不是完全相关的关键词,还是要根据你产品属性再去选择,在选择的时候要综合分析搜索趋势、词典等等情况。
如果你能解决下面的问题就可以去,例如:app开发制作,app开发制作app开发制作,这样哪些app相关的词你就可以搞到,而且app的词也就够用了。
关键词比较难搞,要有量在里面才能有收益,你要想有收益是要做大量的关键词布局,比如你做一个杀毒软件的竞价,还要竞价百度相关搜索、应用宝手机助手竞价的词,还要竞价各大应用商店的词,时间上至少要有3个月。如果app不是刚需的,没有人会特意去搜你做了没用的词,做大量的关键词布局后,你还要优化各大渠道的排名,否则很难有效果。
如果你想自己建服务器的话,你有如下这些问题。如何用竞价获取意向客户?如何使用高质量的竞价账户?如何根据账户关键词优化来获取意向客户?如何知道客户竞价意向值?..更多问题,可以到我网站私信我,实力给你解答!。
自动关键词采集(如何做googlesearchanalytics数据报告_产品经理训练营_新浪博客)
采集交流 • 优采云 发表了文章 • 0 个评论 • 123 次浏览 • 2021-09-19 18:05
自动关键词采集器kingfisher的话可以调用:/
analytics3
可以尝试尝试这个:如何做googlesearchanalytics数据报告_产品经理训练营_新浪博客
可以用,
如果有相关需求的话可以考虑amztracker。
我正准备用
binginternationalanalysis
天天淘米,
analyticssolutions有专门做数据采集的
用过一些,国内的如亿玛、天天淘米,国外的doubleclick或者analysiaes,
有了这个,想什么时候弄就什么时候弄,
--产品与行业数据分析平台,就是专门针对搜索分析做的一个应用研发商场,一般外包出去的人专门做这些东西。
类似:天天淘米分析(首页-天天淘米分析平台)
亿玛、千捷、淘米,
阿里妈妈的bi--数据入口研发平台,
beechart天天淘米
亿玛
专业好用,不用客户开发、运维,真的很赞,目前我们公司就找中立公司做,简单、效率高。后台系统与现有系统配套。可以把所有分析数据汇总在一起,非常实用。就像一个平板一样,任何行业可以轻松玩转了。
零创定制化营销分析ai方案——产品特性只需一张表格统计5万条相关指标, 查看全部
自动关键词采集(如何做googlesearchanalytics数据报告_产品经理训练营_新浪博客)
自动关键词采集器kingfisher的话可以调用:/
analytics3
可以尝试尝试这个:如何做googlesearchanalytics数据报告_产品经理训练营_新浪博客
可以用,
如果有相关需求的话可以考虑amztracker。
我正准备用
binginternationalanalysis
天天淘米,
analyticssolutions有专门做数据采集的
用过一些,国内的如亿玛、天天淘米,国外的doubleclick或者analysiaes,
有了这个,想什么时候弄就什么时候弄,
--产品与行业数据分析平台,就是专门针对搜索分析做的一个应用研发商场,一般外包出去的人专门做这些东西。
类似:天天淘米分析(首页-天天淘米分析平台)
亿玛、千捷、淘米,
阿里妈妈的bi--数据入口研发平台,
beechart天天淘米
亿玛
专业好用,不用客户开发、运维,真的很赞,目前我们公司就找中立公司做,简单、效率高。后台系统与现有系统配套。可以把所有分析数据汇总在一起,非常实用。就像一个平板一样,任何行业可以轻松玩转了。
零创定制化营销分析ai方案——产品特性只需一张表格统计5万条相关指标,
自动关键词采集(亚马逊运营中关键词免费的方式和付费方式(一))
采集交流 • 优采云 发表了文章 • 0 个评论 • 185 次浏览 • 2021-09-18 16:24
在亚马逊的运营中,关键词有多重要,这恐怕不必多说。
当你的产品上传以后,系统不会知道这是款什么样的产品,系统对你产品的识别方式,主要就是靠你嵌入的那些关键词(key words)。
所以可以这样说,你嵌入什么样的关键词,你的产品在亚马逊的眼中就是什么样子的。
关键词,就是你的产品在亚马逊平台身份识别器。
因此,能找到与自己产品相关的关键词,然后将这些关键词按照一定的优先顺序嵌入listing中,是产品上线前的最重要的工作之一。
卖家寻找关键词的方式,我今天简单分为免费的方式和付费的方式。
关键词的寻找方式很多,包括但不限于以下我所介绍的这些。
一、免费的方式
说到免费的方式,主要集中在亚马逊站内。
站内的一些地方,都可以找到搜索率较高的相关产品关键词的身影。
1、亚马逊搜索框
当你在亚马逊的搜索框输入某个关键词时,亚马逊会根据顾客搜索量的大小和匹配程度,把与这个词相关的搜索量最高的一些词推荐给你。
比如我想卖的是刀具(knife),我在亚马逊的搜索框输入“knife”,则下方会出现很多的与knife相关的关键词。
这些词是按照搜索量的大小和相关程度来综合进行排序的。
其实这里也可以看做是一个选品的灵感来源地。
当你已经注册好店铺,但是却迟迟不能确定自己想要做什么样的产品时,可以来这里寻找一下选品的灵感。
比如你想走knife刀具周边产品,那么你就会发现上面的下拉框中出现了以下关键词。
-01、knife sharpener磨刀器。
-02、knife set 刀具套装
-03、knife set with block带刀架刀具套装
-04、knife sharpeners best 最好的磨刀器
。。。。。
这里,你就可以看到在knife这个词的周边,有哪些产品是顾客最经常搜索到的关键词。
搜索量的大小,代表的就是这款产品的市场需求程度的大小。
如果你想做knife周边的产品,再依照选品的一些方法对这些产品进行下一步的筛选,可能也会选出自己中意的产品。
话题扯远了,继续关键词的话题。
2、竞品的listing页面
我们常说,向高手学习,会学到很多我们并不具备的能力。
做亚马逊也是一样,那些排在头部的产品,永远是大家学习的榜样。
就像你如果想做充电宝产品,那么anker就是你必须去深入学习的榜样。
在anker的产品listing的title、bullet points、description、Q&A、review等模块,你可以得到很多的关键词灵感。
3、广告活动推荐词
当你在创建产品的广告活动时,系统会根据你输入的词,来自动推荐一些产品的关键词。
这些关键词也是按照搜索量和相关性来综合排名的。
比如我的产品是bedding周边,输入bedding,系统会自动推荐一些主要关键词。
4、广告报表中的词
做广告的目的有很多,可以提升关键词排名、可以利用广告出单。
但是在新品期的自动广告中,最重要的一项职能,便是为手动广告组来筛选关键词。
当新品的自动广告跑了一段时间以后,我们就可以在后台下载广告报表,根据这些广告报表中的词,我们再来进行下一步手动广告的创建。
自动广告报表中的那些点击率和转化率都不错的词,一般是产品的精准关键词。
这类关键词已经经过了购买和转化的考验,是后续应该重点关注和培养的词。
5、免费关键词软件
免费关键词的软件有很多,声呐(Sonar)就是其中比较好用的一款。
打开声呐网站,我们可以看到,在搜索框的上方有三个选项。
“关键词”选项,可以根据你输入的关键词,来为你推荐与这个词重合的一些词。
比如我输入“charger”(充电器),点击“检索”,下方会显示所有带有“charger”的关键词。
这些词同样也是按照右侧的搜索热度来进行排名的。
那么,第二个“扩展词”选项,显示的结果就是与“charger”相关联的一些产品关键词。
这些关键词不一定带有“charger”,却一定是和“charger”的关联度比较高的词。
还是输入刚才的“charger”,则下方的“扩展词”出现的都是一些“数据线”、“苹果数据线”之类的词。
第三个Asin选项,则是属于查询竞争对手关键词的方式。
如果我们想查询某款产品的搜索关键词来源,则copy这个产品的asin码。
粘贴进搜索框,然后点击“检索”。
我们就可以看到这个listing的关键词的主要构成。
这款声呐软件的基础功能是永久免费的,其他的高级功能可以按照自己的需求来购买。
二、付费的方式
付费的方式主要就是利用付费软件的一些功能来查询产品的关键词。
有此类功能的软件有很多,这里就给大家简单的介绍两款。
第一款,是Merchantwords,这款软件相信老卖家和老运营都不会陌生。
早年,很多运营都说,亚马逊数据运营的三大必备软件:JS、Merchantwords、keepa。
不过现在随着软件数量的增多,大家可选择的软件种类越来越多。
Merchantwords这款软件的数据比较全面,几乎覆盖了亚马逊的主流国家站点。
第二款,介绍一下卖家精灵软件。
在卖家精灵的“关键词精灵”选项中,共提供4中关键词功能。
其中,“关键词挖掘”和“关键词反查”对于查找关键词来讲,是两个比较重要的功能。
“关键词挖掘”,是用来查找相关关键词的功能。
当你在“关键词挖掘”的搜索框输入“apple”,点击“立即查询”。
则搜索结果中就会出现有关“apple”这个词的所有相关关键词信息。
包括这些关键词的月搜索量、热度、购买量、广告竞价分析等。
“关键词反查”,是用来筛查竞品关键词信息的的功能。
你想查询哪个产品的相关关键词,就把这个产品的asin码复制到搜索框,点击“反查关键词”。
则在搜索结果中,你就可以看到这个竞品的主要关键词流量来源。
像其他的很多软件,也有相似的功能。
各个软件的功能和价格都大同小异,卖家可以根据自己的个人兴趣来进行选择。
如果想快速掌握亚马逊的运营知识,可以阅读我的亚马逊运营书籍《亚马逊跨境电商运营手册》- 京东正版图书。
下面的亚马逊运营系列文章也可以帮到你。 查看全部
自动关键词采集(亚马逊运营中关键词免费的方式和付费方式(一))
在亚马逊的运营中,关键词有多重要,这恐怕不必多说。
当你的产品上传以后,系统不会知道这是款什么样的产品,系统对你产品的识别方式,主要就是靠你嵌入的那些关键词(key words)。
所以可以这样说,你嵌入什么样的关键词,你的产品在亚马逊的眼中就是什么样子的。
关键词,就是你的产品在亚马逊平台身份识别器。
因此,能找到与自己产品相关的关键词,然后将这些关键词按照一定的优先顺序嵌入listing中,是产品上线前的最重要的工作之一。
卖家寻找关键词的方式,我今天简单分为免费的方式和付费的方式。
关键词的寻找方式很多,包括但不限于以下我所介绍的这些。
一、免费的方式
说到免费的方式,主要集中在亚马逊站内。
站内的一些地方,都可以找到搜索率较高的相关产品关键词的身影。
1、亚马逊搜索框
当你在亚马逊的搜索框输入某个关键词时,亚马逊会根据顾客搜索量的大小和匹配程度,把与这个词相关的搜索量最高的一些词推荐给你。
比如我想卖的是刀具(knife),我在亚马逊的搜索框输入“knife”,则下方会出现很多的与knife相关的关键词。

这些词是按照搜索量的大小和相关程度来综合进行排序的。
其实这里也可以看做是一个选品的灵感来源地。
当你已经注册好店铺,但是却迟迟不能确定自己想要做什么样的产品时,可以来这里寻找一下选品的灵感。
比如你想走knife刀具周边产品,那么你就会发现上面的下拉框中出现了以下关键词。
-01、knife sharpener磨刀器。
-02、knife set 刀具套装
-03、knife set with block带刀架刀具套装
-04、knife sharpeners best 最好的磨刀器
。。。。。
这里,你就可以看到在knife这个词的周边,有哪些产品是顾客最经常搜索到的关键词。
搜索量的大小,代表的就是这款产品的市场需求程度的大小。
如果你想做knife周边的产品,再依照选品的一些方法对这些产品进行下一步的筛选,可能也会选出自己中意的产品。
话题扯远了,继续关键词的话题。
2、竞品的listing页面
我们常说,向高手学习,会学到很多我们并不具备的能力。
做亚马逊也是一样,那些排在头部的产品,永远是大家学习的榜样。
就像你如果想做充电宝产品,那么anker就是你必须去深入学习的榜样。
在anker的产品listing的title、bullet points、description、Q&A、review等模块,你可以得到很多的关键词灵感。

3、广告活动推荐词
当你在创建产品的广告活动时,系统会根据你输入的词,来自动推荐一些产品的关键词。
这些关键词也是按照搜索量和相关性来综合排名的。
比如我的产品是bedding周边,输入bedding,系统会自动推荐一些主要关键词。

4、广告报表中的词
做广告的目的有很多,可以提升关键词排名、可以利用广告出单。
但是在新品期的自动广告中,最重要的一项职能,便是为手动广告组来筛选关键词。
当新品的自动广告跑了一段时间以后,我们就可以在后台下载广告报表,根据这些广告报表中的词,我们再来进行下一步手动广告的创建。

自动广告报表中的那些点击率和转化率都不错的词,一般是产品的精准关键词。
这类关键词已经经过了购买和转化的考验,是后续应该重点关注和培养的词。
5、免费关键词软件
免费关键词的软件有很多,声呐(Sonar)就是其中比较好用的一款。
打开声呐网站,我们可以看到,在搜索框的上方有三个选项。

“关键词”选项,可以根据你输入的关键词,来为你推荐与这个词重合的一些词。
比如我输入“charger”(充电器),点击“检索”,下方会显示所有带有“charger”的关键词。

这些词同样也是按照右侧的搜索热度来进行排名的。
那么,第二个“扩展词”选项,显示的结果就是与“charger”相关联的一些产品关键词。
这些关键词不一定带有“charger”,却一定是和“charger”的关联度比较高的词。
还是输入刚才的“charger”,则下方的“扩展词”出现的都是一些“数据线”、“苹果数据线”之类的词。

第三个Asin选项,则是属于查询竞争对手关键词的方式。
如果我们想查询某款产品的搜索关键词来源,则copy这个产品的asin码。
粘贴进搜索框,然后点击“检索”。

我们就可以看到这个listing的关键词的主要构成。
这款声呐软件的基础功能是永久免费的,其他的高级功能可以按照自己的需求来购买。
二、付费的方式
付费的方式主要就是利用付费软件的一些功能来查询产品的关键词。
有此类功能的软件有很多,这里就给大家简单的介绍两款。
第一款,是Merchantwords,这款软件相信老卖家和老运营都不会陌生。
早年,很多运营都说,亚马逊数据运营的三大必备软件:JS、Merchantwords、keepa。
不过现在随着软件数量的增多,大家可选择的软件种类越来越多。
Merchantwords这款软件的数据比较全面,几乎覆盖了亚马逊的主流国家站点。

第二款,介绍一下卖家精灵软件。
在卖家精灵的“关键词精灵”选项中,共提供4中关键词功能。

其中,“关键词挖掘”和“关键词反查”对于查找关键词来讲,是两个比较重要的功能。
“关键词挖掘”,是用来查找相关关键词的功能。
当你在“关键词挖掘”的搜索框输入“apple”,点击“立即查询”。

则搜索结果中就会出现有关“apple”这个词的所有相关关键词信息。
包括这些关键词的月搜索量、热度、购买量、广告竞价分析等。

“关键词反查”,是用来筛查竞品关键词信息的的功能。
你想查询哪个产品的相关关键词,就把这个产品的asin码复制到搜索框,点击“反查关键词”。

则在搜索结果中,你就可以看到这个竞品的主要关键词流量来源。

像其他的很多软件,也有相似的功能。
各个软件的功能和价格都大同小异,卖家可以根据自己的个人兴趣来进行选择。
如果想快速掌握亚马逊的运营知识,可以阅读我的亚马逊运营书籍《亚马逊跨境电商运营手册》- 京东正版图书。
下面的亚马逊运营系列文章也可以帮到你。
自动关键词采集(自动网络探索评论情况,自动生成评论,智能评论机器人)
采集交流 • 优采云 发表了文章 • 0 个评论 • 272 次浏览 • 2021-09-17 11:08
自动关键词采集器,
想找一些卖劣质仿品的,
我知道一个能很好的解决你这个问题的app,但是需要注册,不过注册完以后我推荐你去试一下我的线报群,它可以把线报群转变成分享群,在分享群里一些售价高的商品,相对于原价降低很多,一分一毛看得见。
查啊评论机器人!!自动网络探索评论情况,自动生成评论,自动编辑评论文案,自动发表评论,回复后自动生成二维码,扫描识别就能给朋友推送自己的评论!做运营的可以去试试,尤其是通过这个工具做活动,效果杠杠的。这是我去年做的运营活动,
个人有用的评论网站:1.小评论网::
最好的办法就是用软件自动查评论
可以去了解一下哪些网站有评论。
评论机器人,
e网e行这个网站你可以去了解看看
智能评论网,智能评论机器人。
闲鱼,转转这些平台上评论机器人最方便,毕竟你花钱买机器人的话,主要还是为了搜索,而不是买评论机器人。机器人都是按页面筛选的,不存在花钱买评论机器人不需要的情况,付费用户的评论、收藏加购物车、收藏等评论还可以全部展示出来,非常完美。
搜索附近,然后看有没有评论机器人,有的话对方挂评论,你点加qq然后可以转账发货等等,多试试,差不多就买了。 查看全部
自动关键词采集(自动网络探索评论情况,自动生成评论,智能评论机器人)
自动关键词采集器,
想找一些卖劣质仿品的,
我知道一个能很好的解决你这个问题的app,但是需要注册,不过注册完以后我推荐你去试一下我的线报群,它可以把线报群转变成分享群,在分享群里一些售价高的商品,相对于原价降低很多,一分一毛看得见。
查啊评论机器人!!自动网络探索评论情况,自动生成评论,自动编辑评论文案,自动发表评论,回复后自动生成二维码,扫描识别就能给朋友推送自己的评论!做运营的可以去试试,尤其是通过这个工具做活动,效果杠杠的。这是我去年做的运营活动,
个人有用的评论网站:1.小评论网::
最好的办法就是用软件自动查评论
可以去了解一下哪些网站有评论。
评论机器人,
e网e行这个网站你可以去了解看看
智能评论网,智能评论机器人。
闲鱼,转转这些平台上评论机器人最方便,毕竟你花钱买机器人的话,主要还是为了搜索,而不是买评论机器人。机器人都是按页面筛选的,不存在花钱买评论机器人不需要的情况,付费用户的评论、收藏加购物车、收藏等评论还可以全部展示出来,非常完美。
搜索附近,然后看有没有评论机器人,有的话对方挂评论,你点加qq然后可以转账发货等等,多试试,差不多就买了。
自动关键词采集(独立创建h5自定义关键词文字选中(组图))
采集交流 • 优采云 发表了文章 • 0 个评论 • 153 次浏览 • 2021-09-08 00:04
自动关键词采集,一键批量复制、导出全部关键词数据。内置关键词转化率统计分析及挖掘功能,全面分析内容传播效果!内置独有文字价格统计分析功能。支持独立文字版面素材、h5模板。独立创建h5自定义关键词列表。独立自定义关键词文字选中。支持全屏多颜色设置。支持全屏关键词排列设置。支持部分多颜色格式设置。支持关键词词库独立设置。
支持关键词精选组合。支持独立定义关键词排行。支持多选关键词,关键词密度图。支持字数与关键词匹配高质量文字。以上功能全新升级,全面提升pr转化率!不但能快速采集大量h5资源,且覆盖平台广泛、数据全面。所有收集资源排序无规律,实现筛选检索,按转化率高低分布资源。支持自定义关键词词库。支持关键词公式自定义一键排序。
支持单独导出keywords关键词进行不一致及任意异型导出。支持抓取h5内所有关键词,增量复制过来支持全部免费扩展第三方api,实现大数据自动化分析和挖掘。内置高转化率抓取的h5音乐专辑,单曲秒杀一切h5音乐作品。支持自定义h5文字关键词。支持任意h5音乐形态,包括纯h5、动态音乐视频和文字版单曲。支持同一关键词更多字体颜色编辑等多种方式支持更换颜色。
支持多段多文字标题多种格式导出。支持单一关键词点击率/获赞/激活/人气全维度分析。导出文字版面文本统计分析,支持自定义版面颜色。支持上传多版面图片。支持自定义markdown格式更加方便阅读。支持实时pr和roi。支持自定义组合键:手势上、下/左/右键、多指关键词大键盘快捷键。可自定义关键词调色盘样式。
支持h5pr高转化率单文字/词云pr词云自定义版面设置。支持部分多颜色格式设置。支持关键词转化率keyword文字高亮显示和批量清除。支持支持独立qq号导入,实现高效授权。支持内置图片超清大小设置支持单元格上下滑动切换查看。支持组合键:左/右、上/下/左/右/右/键。支持识别微信,发朋友圈、文章,群发文章和二维码实现免费或付费分享。支持其他方式导入媒体文件。支持功能还在不断升级,并可持续盈利,欢迎交流合作。 查看全部
自动关键词采集(独立创建h5自定义关键词文字选中(组图))
自动关键词采集,一键批量复制、导出全部关键词数据。内置关键词转化率统计分析及挖掘功能,全面分析内容传播效果!内置独有文字价格统计分析功能。支持独立文字版面素材、h5模板。独立创建h5自定义关键词列表。独立自定义关键词文字选中。支持全屏多颜色设置。支持全屏关键词排列设置。支持部分多颜色格式设置。支持关键词词库独立设置。
支持关键词精选组合。支持独立定义关键词排行。支持多选关键词,关键词密度图。支持字数与关键词匹配高质量文字。以上功能全新升级,全面提升pr转化率!不但能快速采集大量h5资源,且覆盖平台广泛、数据全面。所有收集资源排序无规律,实现筛选检索,按转化率高低分布资源。支持自定义关键词词库。支持关键词公式自定义一键排序。
支持单独导出keywords关键词进行不一致及任意异型导出。支持抓取h5内所有关键词,增量复制过来支持全部免费扩展第三方api,实现大数据自动化分析和挖掘。内置高转化率抓取的h5音乐专辑,单曲秒杀一切h5音乐作品。支持自定义h5文字关键词。支持任意h5音乐形态,包括纯h5、动态音乐视频和文字版单曲。支持同一关键词更多字体颜色编辑等多种方式支持更换颜色。
支持多段多文字标题多种格式导出。支持单一关键词点击率/获赞/激活/人气全维度分析。导出文字版面文本统计分析,支持自定义版面颜色。支持上传多版面图片。支持自定义markdown格式更加方便阅读。支持实时pr和roi。支持自定义组合键:手势上、下/左/右键、多指关键词大键盘快捷键。可自定义关键词调色盘样式。
支持h5pr高转化率单文字/词云pr词云自定义版面设置。支持部分多颜色格式设置。支持关键词转化率keyword文字高亮显示和批量清除。支持支持独立qq号导入,实现高效授权。支持内置图片超清大小设置支持单元格上下滑动切换查看。支持组合键:左/右、上/下/左/右/右/键。支持识别微信,发朋友圈、文章,群发文章和二维码实现免费或付费分享。支持其他方式导入媒体文件。支持功能还在不断升级,并可持续盈利,欢迎交流合作。
自动关键词采集(十种关键词收集方法,你get到了几个?!)
采集交流 • 优采云 发表了文章 • 0 个评论 • 448 次浏览 • 2021-09-06 22:05
众所周知,关键词是电子商务的核心。对于国际站的新人来说,关键词采集 一直是个头疼的问题。今天给大家分享十种关键词采集方法。
一、热门搜索词
该频道所有店铺通用,一个账号可以查看所有关键词。
输入步骤:数据管理器-了解行情-热门搜索词
二、词源
词源:为您的产品带来曝光率和点击量的买家搜索词。显示曝光率最高的 30 个词。如果总暴露字数小于30,则按实际数量显示。
换句话说,这部分的词是买家实际使用的词。所以不管热不热,放手吧。无论是用于P4P推广,还是推出新品,总之不要错过。尤其是带有点击的字词。
进入步骤:数据管家-知己-我的产品-词源
三、我的词
我的词:由两部分组成,一是我设置关键词或参与外贸直通车推广的词,二是买家找到我的词。对于少数字量大于10000的供应商,只提供10000字,选出网站给你带来最多曝光度和最高搜索兴趣的前10000个字。
此方法适用于开店半年以上的店铺。开放时间太短,没有流量,也没有数据积累。这个方法可以起到很小的作用。
进入步骤:Data Manager-Confidant-My Words
PS:我的话可以后台直接导出。
四、Visitor Details-常用搜索词
进入步骤:数据经理-了解买家-访客详情
筛选时,您可以在区域内选择“海外”,排除来自中国大陆的游客。
五、行业热词榜
进入步骤:数据管理员-新数据管理员(基础版)-行业-行业热词榜
您可以使用三种类型的词:热搜词、蓝海词和潜在词。您可以根据需要使用它。
六、行业视角
进入步骤:数据管家-了解行情-行业视角
行业视角可以采集“热门搜索词”、“搜索上升最快的词”和“零少词”。这里的话没有太大变化,你可以每季度看一次。最大的优点是可以按地区搜索,对于目标国家市场明确的卖家可以很好的使用,查询频率可以是一个月/次。
七、RFQ商机
输入步骤:数据管理员-了解报价-RFQ 商业机会
八、搜索栏下拉框
通过搜索栏下拉框采集阿里的热门关键词或长尾词:
九、陪用关键词
估计这是大家比较感兴趣的一种方法,我们要找的产品一定是自然排名高的产品。然后点击进入商品详情页,进入商品页面,将鼠标放在标签页上,会显示商品的标题和3个关键词,如图:
十、Google Adwords
第一步:注册一个谷歌账号,进入,点击关键词规划师。
第 2 步:选择关键词规划师。
第三步:输入你要搜索的关键词,搜索。
温馨提示:Google adwords关键词可以直接下载。 查看全部
自动关键词采集(十种关键词收集方法,你get到了几个?!)
众所周知,关键词是电子商务的核心。对于国际站的新人来说,关键词采集 一直是个头疼的问题。今天给大家分享十种关键词采集方法。
一、热门搜索词
该频道所有店铺通用,一个账号可以查看所有关键词。
输入步骤:数据管理器-了解行情-热门搜索词

二、词源
词源:为您的产品带来曝光率和点击量的买家搜索词。显示曝光率最高的 30 个词。如果总暴露字数小于30,则按实际数量显示。
换句话说,这部分的词是买家实际使用的词。所以不管热不热,放手吧。无论是用于P4P推广,还是推出新品,总之不要错过。尤其是带有点击的字词。
进入步骤:数据管家-知己-我的产品-词源

三、我的词
我的词:由两部分组成,一是我设置关键词或参与外贸直通车推广的词,二是买家找到我的词。对于少数字量大于10000的供应商,只提供10000字,选出网站给你带来最多曝光度和最高搜索兴趣的前10000个字。
此方法适用于开店半年以上的店铺。开放时间太短,没有流量,也没有数据积累。这个方法可以起到很小的作用。
进入步骤:Data Manager-Confidant-My Words

PS:我的话可以后台直接导出。
四、Visitor Details-常用搜索词
进入步骤:数据经理-了解买家-访客详情
筛选时,您可以在区域内选择“海外”,排除来自中国大陆的游客。

五、行业热词榜
进入步骤:数据管理员-新数据管理员(基础版)-行业-行业热词榜
您可以使用三种类型的词:热搜词、蓝海词和潜在词。您可以根据需要使用它。

六、行业视角
进入步骤:数据管家-了解行情-行业视角
行业视角可以采集“热门搜索词”、“搜索上升最快的词”和“零少词”。这里的话没有太大变化,你可以每季度看一次。最大的优点是可以按地区搜索,对于目标国家市场明确的卖家可以很好的使用,查询频率可以是一个月/次。

七、RFQ商机
输入步骤:数据管理员-了解报价-RFQ 商业机会

八、搜索栏下拉框
通过搜索栏下拉框采集阿里的热门关键词或长尾词:

九、陪用关键词
估计这是大家比较感兴趣的一种方法,我们要找的产品一定是自然排名高的产品。然后点击进入商品详情页,进入商品页面,将鼠标放在标签页上,会显示商品的标题和3个关键词,如图:

十、Google Adwords
第一步:注册一个谷歌账号,进入,点击关键词规划师。

第 2 步:选择关键词规划师。

第三步:输入你要搜索的关键词,搜索。

温馨提示:Google adwords关键词可以直接下载。
自动关键词采集(《_collect_Discuz)_discuz开发者应用中心的应用)
采集交流 • 优采云 发表了文章 • 0 个评论 • 140 次浏览 • 2021-09-06 22:04
网站名称:“Discuz 论坛自动采集V10.01.49(addon_collect_Discuz)_Discuz Plug-in_Discuz应用中心”被网友积极提交查询,并被网友发布整理外链收录,部分站点可能跑掉,无法打开、关闭等,无法访问。无法访问的原因等,什么,做什么,如何,如何,如何,以及其他问题与本网站无关。本站仅提供基本参考信息显示:IP地址:-地址:-,百度权重为1、百度手机重重为,百度收录为493000,360收录为6520,搜狗收录为85846文章, Google收录为- 文章,百度访问量在1431~1909之间,百度手机访问量在1297~1728之间,备案号为皖ICP备16010102-4、备案主题名:,百度收录有141个关键词,手机关键词有108个。至此,6年7月18日创建。
上一篇:DiscuzB站视频自动采集V11.02.57(addon_collect_bilibili)_Discuz应用中心|下一篇:众大云采集-智伍应用的应用_discuz开发者_discuz应用作者_Discuz申请中心 查看全部
自动关键词采集(《_collect_Discuz)_discuz开发者应用中心的应用)
网站名称:“Discuz 论坛自动采集V10.01.49(addon_collect_Discuz)_Discuz Plug-in_Discuz应用中心”被网友积极提交查询,并被网友发布整理外链收录,部分站点可能跑掉,无法打开、关闭等,无法访问。无法访问的原因等,什么,做什么,如何,如何,如何,以及其他问题与本网站无关。本站仅提供基本参考信息显示:IP地址:-地址:-,百度权重为1、百度手机重重为,百度收录为493000,360收录为6520,搜狗收录为85846文章, Google收录为- 文章,百度访问量在1431~1909之间,百度手机访问量在1297~1728之间,备案号为皖ICP备16010102-4、备案主题名:,百度收录有141个关键词,手机关键词有108个。至此,6年7月18日创建。
上一篇:DiscuzB站视频自动采集V11.02.57(addon_collect_bilibili)_Discuz应用中心|下一篇:众大云采集-智伍应用的应用_discuz开发者_discuz应用作者_Discuz申请中心
自动关键词采集(网络爬虫系统的原理和工作流程及注意事项介绍-乐题库)
采集交流 • 优采云 发表了文章 • 0 个评论 • 144 次浏览 • 2021-10-30 06:20
网络数据采集是指通过网络爬虫或网站公共API从网站获取数据信息。这种方法可以从网页中提取非结构化数据,将其存储为统一的本地数据文件,并以结构化的方式存储。支持采集的图片、音频、视频等文件或附件,可以自动关联附件和文字。
在互联网时代,网络爬虫主要为搜索引擎提供最全面、最新的数据。
在大数据时代,网络爬虫对于采集来自互联网的数据来说更是一种优势工具。已知的各种网络爬虫工具有数百种,网络爬虫工具基本上可以分为三类。
本节首先简要介绍网络爬虫的原理和工作流程,然后讨论网络爬虫的爬取策略,最后介绍典型的网络工具。
网络爬虫的原理
网络爬虫是根据一定的规则自动抓取网络信息的程序或脚本。
网络爬虫可以自动采集所有可以访问的页面内容,为搜索引擎和大数据分析提供数据源。就功能而言,爬虫一般具有数据采集、处理和存储三个功能,如图1所示。
图1 网络爬虫示意图
除了供用户阅读的文本信息外,网页还收录一些超链接信息。
网络爬虫系统通过网页中的超链接信息不断获取互联网上的其他网页。网络爬虫从一个或几个初始网页的URL开始,获取初始网页上的URL。在抓取网页的过程中,它不断地从当前页面中提取新的 URL 并将它们放入队列中,直到满足系统的某个停止条件。
网络爬虫系统一般会选择一些外展度(网页中超链接的数量)较高的比较重要的网址作为种子网址集合。
网络爬虫系统使用这些种子集作为初始 URL 开始数据爬取。由于网页收录链接信息,因此可以通过现有网页的网址获取一些新的网址。
网页之间的指向结构可以看成是一片森林,每个种子URL对应的网页就是森林中一棵树的根节点,这样网络爬虫系统就可以按照广度优先搜索算法遍历所有的或深度优先搜索算法页面。
由于深度优先搜索算法可能会导致爬虫系统陷入网站内部,不利于搜索离网站首页较近的网页信息,所以广度优先搜索算法一般为用于 采集 网页。
网络爬虫系统首先将种子网址放入下载队列,简单地从队列头部取一个网址下载对应的网页,获取网页内容并存储,解析网页中的链接信息后,可以获得一些新的网址。
其次,根据一定的网页分析算法过滤掉与主题无关的链接,保留有用的链接,放入URL队列等待抓取。
最后取出一个URL,下载其对应的网页,然后解析,如此循环往复,直到遍历全网或满足某个条件,才会停止。
网络爬虫工作流程
如图2所示,一个网络爬虫的基本工作流程如下。
1)首先选择种子URL的一部分。
2)将这些URL放入URL队列进行爬取。
3) 从待爬取的URL队列中取出待爬取的URL,解析DNS得到主机的IP地址,下载该URL对应的网页并存储在下载的网页中图书馆。另外,将这些 URL 放入爬取的 URL 队列中。
4)对抓取到的URL队列中的URL进行分析,分析其中的其他URL,将这些URL放入待抓取的URL队列中,从而进入下一个循环。
图2 网络爬虫的基本工作流程
网络爬虫抓取策略
谷歌、百度等通用搜索引擎抓取的网页数量通常以亿为单位计算。那么,面对如此多的网页,网络爬虫如何才能尽可能的遍历所有网页,从而尽可能扩大网页信息的覆盖范围呢?这是网络爬虫系统面临的一个非常关键的问题。在网络爬虫系统中,爬取策略决定了爬取网页的顺序。
本节首先简单介绍一下网络爬虫的爬取策略中用到的基本概念。
1)网页之间的关系模型
从互联网的结构来看,网页通过数量不等的超链接相互连接,形成一个庞大而复杂的相互关联的有向图。
如图 3 所示,如果将该网页视为图中的某个节点,将网页中其他网页的链接视为该节点到其他节点的边,那么我们很容易查看整个Internet 网页被建模为有向图。
理论上,通过遍历算法遍历图,几乎可以访问互联网上的所有网页。
图3 网页关系模型图
2)网页分类
从爬虫的角度来划分互联网,互联网的所有页面可以分为5个部分:已下载和未过期网页、已下载和已过期网页、已下载网页、已知网页和不可知网页,如图4所示。
获取的本地网页实际上是互联网内容的镜像和备份。互联网是动态变化的。当互联网上的部分内容发生变化时,抓取到的本地网页就会失效。因此,下载的网页分为两种:下载的未过期网页和下载的过期网页。
图4 网页分类
待下载的页面指的是URL队列中待抓取的页面。
可以看出,网页指的是尚未被抓取的网页,不在待抓取的URL队列中,但可以通过分析抓取的页面或待抓取的URL对应的页面来获取。
还有一些网页是网络爬虫不能直接抓取下载的,称为不可知网页。
下面重点介绍几种常见的爬取策略。
1. 通用网络爬虫
一般的网络爬虫也称为全网爬虫。爬取对象从一些种子网址扩展到整个Web,主要是门户搜索引擎和大型Web服务商采集数据。
一般的网络爬虫为了提高工作效率,都会采用一定的爬取策略。常用的爬取策略包括深度优先策略和广度优先策略。
1)深度优先策略
深度优先策略意味着网络爬虫会从起始页开始,逐个链接地跟随它,直到无法再深入为止。
爬行完成一个分支后,网络爬虫返回上一个链接节点,进一步搜索其他链接。当所有链接都遍历完后,爬取任务结束。
这种策略更适合垂直搜索或站内搜索,但在抓取页面内容更深层次的网站时会造成资源的巨大浪费。
以图3为例,遍历的路径为1→2→5→6→3→7→4→8。
在深度优先策略中,当搜索到某个节点时,该节点的子节点和子节点的后继节点都优先于该节点的兄弟节点。深度优先策略是在搜索空间中。这时候它会尽量走,只有在找不到一个节点的后继节点时才考虑它的兄弟节点。
这样的策略决定了深度优先策略可能无法找到最优解,甚至由于深度的限制而无法找到解。
如果没有限制,它会沿着一条路径无限扩展,从而“陷入”海量数据。一般情况下,使用深度优先策略会选择一个合适的深度,然后反复搜索直到找到一个解,这样就降低了搜索的效率。因此,一般在搜索数据量较小时采用深度优先策略。
2)广度优先策略
广度优先策略根据网页内容目录级别的深度抓取页面,优先抓取较浅目录级别的页面。当同一级别的页面被爬取时,爬虫会进入下一层继续爬取。
仍以图3为例,遍历的路径为1→2→3→4→5→6→7→8
由于广度优先策略是在第N层节点扩展完成后进入第N+1层,所以可以保证最短路径找到解。
该策略可以有效控制页面的爬取深度,避免遇到无限深分支爬取无法结束的问题,实现方便,无需存储大量中间节点。缺点是爬到更深的目录层次需要很长时间。页。
如果搜索过程中分支过多,即该节点的后续节点过多,算法就会耗尽资源,在可用空间中找不到解。
2. 专注于网络爬虫
聚焦网络爬虫,也称为主题网络爬虫,是指有选择地抓取与预定义主题相关的页面的网络爬虫。
1) 基于内容评价的爬取策略
DeBra在网络爬虫中引入了文本相似度的计算方法,提出了Fish Search算法。
该算法以用户输入的查询词为主题,将收录查询词的页面视为与该主题相关的页面。它的局限性在于它无法评估页面与主题的相关性。
Herseovic 改进了 Fish Search 算法,提出了 Shark Search 算法,该算法使用空间向量模型来计算页面与主题之间的相关性。
使用基于连续值计算链接值的方法,不仅可以计算出哪些爬取的链接与主题相关,还可以量化相关性的大小。
2) 基于链接结构评估的爬行策略
网页不同于一般文本。它是一种收录大量结构化信息的半结构化文档。
网页不是单独存在的。页面中的链接表示页面之间的相互关系。基于链接结构的搜索策略模型利用这些结构特征来评估页面和链接的重要性,从而确定搜索顺序。其中,PageRank算法是这类搜索策略模型的代表。
PageRank算法的基本原理是,如果一个网页被多次引用,它可能是一个非常重要的网页。如果一个网页没有被多次引用,而是被一个重要的网页引用,那么它也可能是一个重要的网页。一个网页的重要性均匀地传递给它所指的网页。
将某个页面的PageRank除以该页面存在的前向链接,将得到的值与前向链接指向的页面的PageRank相加,即得到被链接页面的PageRank。
如图 5 所示,PageRank 值为 100 的网页将其重要性平均传递给它引用的两个页面,每个页面获得 50。同样,PageRank 值为 9 的网页将其重要性传递给三个引用的页面. 为页面的每一页传递的值为 3。
PageRank 值为 53 的页面的值来自引用它的两个页面传递的值。
图 5 PageRank 算法示例
3) 基于强化学习的爬行策略
Rennie 和 McCallum 将增强学习引入聚焦爬虫,使用贝叶斯分类器根据整个网页文本和链接文本对超链接进行分类,并计算每个链接的重要性,从而确定链接访问的顺序。
4) 基于上下文映射的爬取策略
勤奋等。提出了一种爬行策略,通过建立上下文映射来学习网页之间的相关性。该策略可以训练机器学习系统,通过该系统可以计算从当前页面到相关网页的距离。优先访问中的链接。
3. 增量网络爬虫
增量式网络爬虫是指对下载的网页进行增量更新,只抓取新生成或变化的网页的爬虫。可以在一定程度上保证爬取的页面尽可能的新鲜。
增量网络爬虫有两个目标:
为了实现第一个目标,增量网络爬虫需要重新访问网页以更新本地页面集中页面的内容。常用的方法有统一更新法、个体更新法和基于分类的更新法。
为了实现第二个目标,增量网络爬虫需要对网页的重要性进行排名。常用的策略包括广度优先策略、PageRank 优先策略等。
4. 深度网络爬虫
根据存在的方式,网页可以分为表面网页和深层网页。
深度网络爬虫架构由6个基本功能模块(爬虫控制器、解析器、表单分析器、表单处理器、响应分析器、LVS控制器)和两个爬虫内部数据结构(URL列表和LVS表)组成。
其中,LVS(LabelValueSet)表示标签和值的集合,用于表示填写表单的数据源。在爬虫过程中,最重要的部分是表单填写,包括基于领域知识的表单填写和基于网页结构分析的表单填写。 查看全部
自动关键词采集(网络爬虫系统的原理和工作流程及注意事项介绍-乐题库)
网络数据采集是指通过网络爬虫或网站公共API从网站获取数据信息。这种方法可以从网页中提取非结构化数据,将其存储为统一的本地数据文件,并以结构化的方式存储。支持采集的图片、音频、视频等文件或附件,可以自动关联附件和文字。
在互联网时代,网络爬虫主要为搜索引擎提供最全面、最新的数据。
在大数据时代,网络爬虫对于采集来自互联网的数据来说更是一种优势工具。已知的各种网络爬虫工具有数百种,网络爬虫工具基本上可以分为三类。
本节首先简要介绍网络爬虫的原理和工作流程,然后讨论网络爬虫的爬取策略,最后介绍典型的网络工具。
网络爬虫的原理
网络爬虫是根据一定的规则自动抓取网络信息的程序或脚本。
网络爬虫可以自动采集所有可以访问的页面内容,为搜索引擎和大数据分析提供数据源。就功能而言,爬虫一般具有数据采集、处理和存储三个功能,如图1所示。
图1 网络爬虫示意图
除了供用户阅读的文本信息外,网页还收录一些超链接信息。
网络爬虫系统通过网页中的超链接信息不断获取互联网上的其他网页。网络爬虫从一个或几个初始网页的URL开始,获取初始网页上的URL。在抓取网页的过程中,它不断地从当前页面中提取新的 URL 并将它们放入队列中,直到满足系统的某个停止条件。
网络爬虫系统一般会选择一些外展度(网页中超链接的数量)较高的比较重要的网址作为种子网址集合。
网络爬虫系统使用这些种子集作为初始 URL 开始数据爬取。由于网页收录链接信息,因此可以通过现有网页的网址获取一些新的网址。
网页之间的指向结构可以看成是一片森林,每个种子URL对应的网页就是森林中一棵树的根节点,这样网络爬虫系统就可以按照广度优先搜索算法遍历所有的或深度优先搜索算法页面。
由于深度优先搜索算法可能会导致爬虫系统陷入网站内部,不利于搜索离网站首页较近的网页信息,所以广度优先搜索算法一般为用于 采集 网页。
网络爬虫系统首先将种子网址放入下载队列,简单地从队列头部取一个网址下载对应的网页,获取网页内容并存储,解析网页中的链接信息后,可以获得一些新的网址。
其次,根据一定的网页分析算法过滤掉与主题无关的链接,保留有用的链接,放入URL队列等待抓取。
最后取出一个URL,下载其对应的网页,然后解析,如此循环往复,直到遍历全网或满足某个条件,才会停止。
网络爬虫工作流程
如图2所示,一个网络爬虫的基本工作流程如下。
1)首先选择种子URL的一部分。
2)将这些URL放入URL队列进行爬取。
3) 从待爬取的URL队列中取出待爬取的URL,解析DNS得到主机的IP地址,下载该URL对应的网页并存储在下载的网页中图书馆。另外,将这些 URL 放入爬取的 URL 队列中。
4)对抓取到的URL队列中的URL进行分析,分析其中的其他URL,将这些URL放入待抓取的URL队列中,从而进入下一个循环。
图2 网络爬虫的基本工作流程
网络爬虫抓取策略
谷歌、百度等通用搜索引擎抓取的网页数量通常以亿为单位计算。那么,面对如此多的网页,网络爬虫如何才能尽可能的遍历所有网页,从而尽可能扩大网页信息的覆盖范围呢?这是网络爬虫系统面临的一个非常关键的问题。在网络爬虫系统中,爬取策略决定了爬取网页的顺序。
本节首先简单介绍一下网络爬虫的爬取策略中用到的基本概念。
1)网页之间的关系模型
从互联网的结构来看,网页通过数量不等的超链接相互连接,形成一个庞大而复杂的相互关联的有向图。
如图 3 所示,如果将该网页视为图中的某个节点,将网页中其他网页的链接视为该节点到其他节点的边,那么我们很容易查看整个Internet 网页被建模为有向图。
理论上,通过遍历算法遍历图,几乎可以访问互联网上的所有网页。
图3 网页关系模型图
2)网页分类
从爬虫的角度来划分互联网,互联网的所有页面可以分为5个部分:已下载和未过期网页、已下载和已过期网页、已下载网页、已知网页和不可知网页,如图4所示。
获取的本地网页实际上是互联网内容的镜像和备份。互联网是动态变化的。当互联网上的部分内容发生变化时,抓取到的本地网页就会失效。因此,下载的网页分为两种:下载的未过期网页和下载的过期网页。
图4 网页分类
待下载的页面指的是URL队列中待抓取的页面。
可以看出,网页指的是尚未被抓取的网页,不在待抓取的URL队列中,但可以通过分析抓取的页面或待抓取的URL对应的页面来获取。
还有一些网页是网络爬虫不能直接抓取下载的,称为不可知网页。
下面重点介绍几种常见的爬取策略。
1. 通用网络爬虫
一般的网络爬虫也称为全网爬虫。爬取对象从一些种子网址扩展到整个Web,主要是门户搜索引擎和大型Web服务商采集数据。
一般的网络爬虫为了提高工作效率,都会采用一定的爬取策略。常用的爬取策略包括深度优先策略和广度优先策略。
1)深度优先策略
深度优先策略意味着网络爬虫会从起始页开始,逐个链接地跟随它,直到无法再深入为止。
爬行完成一个分支后,网络爬虫返回上一个链接节点,进一步搜索其他链接。当所有链接都遍历完后,爬取任务结束。
这种策略更适合垂直搜索或站内搜索,但在抓取页面内容更深层次的网站时会造成资源的巨大浪费。
以图3为例,遍历的路径为1→2→5→6→3→7→4→8。
在深度优先策略中,当搜索到某个节点时,该节点的子节点和子节点的后继节点都优先于该节点的兄弟节点。深度优先策略是在搜索空间中。这时候它会尽量走,只有在找不到一个节点的后继节点时才考虑它的兄弟节点。
这样的策略决定了深度优先策略可能无法找到最优解,甚至由于深度的限制而无法找到解。
如果没有限制,它会沿着一条路径无限扩展,从而“陷入”海量数据。一般情况下,使用深度优先策略会选择一个合适的深度,然后反复搜索直到找到一个解,这样就降低了搜索的效率。因此,一般在搜索数据量较小时采用深度优先策略。
2)广度优先策略
广度优先策略根据网页内容目录级别的深度抓取页面,优先抓取较浅目录级别的页面。当同一级别的页面被爬取时,爬虫会进入下一层继续爬取。
仍以图3为例,遍历的路径为1→2→3→4→5→6→7→8
由于广度优先策略是在第N层节点扩展完成后进入第N+1层,所以可以保证最短路径找到解。
该策略可以有效控制页面的爬取深度,避免遇到无限深分支爬取无法结束的问题,实现方便,无需存储大量中间节点。缺点是爬到更深的目录层次需要很长时间。页。
如果搜索过程中分支过多,即该节点的后续节点过多,算法就会耗尽资源,在可用空间中找不到解。
2. 专注于网络爬虫
聚焦网络爬虫,也称为主题网络爬虫,是指有选择地抓取与预定义主题相关的页面的网络爬虫。
1) 基于内容评价的爬取策略
DeBra在网络爬虫中引入了文本相似度的计算方法,提出了Fish Search算法。
该算法以用户输入的查询词为主题,将收录查询词的页面视为与该主题相关的页面。它的局限性在于它无法评估页面与主题的相关性。
Herseovic 改进了 Fish Search 算法,提出了 Shark Search 算法,该算法使用空间向量模型来计算页面与主题之间的相关性。
使用基于连续值计算链接值的方法,不仅可以计算出哪些爬取的链接与主题相关,还可以量化相关性的大小。
2) 基于链接结构评估的爬行策略
网页不同于一般文本。它是一种收录大量结构化信息的半结构化文档。
网页不是单独存在的。页面中的链接表示页面之间的相互关系。基于链接结构的搜索策略模型利用这些结构特征来评估页面和链接的重要性,从而确定搜索顺序。其中,PageRank算法是这类搜索策略模型的代表。
PageRank算法的基本原理是,如果一个网页被多次引用,它可能是一个非常重要的网页。如果一个网页没有被多次引用,而是被一个重要的网页引用,那么它也可能是一个重要的网页。一个网页的重要性均匀地传递给它所指的网页。
将某个页面的PageRank除以该页面存在的前向链接,将得到的值与前向链接指向的页面的PageRank相加,即得到被链接页面的PageRank。
如图 5 所示,PageRank 值为 100 的网页将其重要性平均传递给它引用的两个页面,每个页面获得 50。同样,PageRank 值为 9 的网页将其重要性传递给三个引用的页面. 为页面的每一页传递的值为 3。
PageRank 值为 53 的页面的值来自引用它的两个页面传递的值。
图 5 PageRank 算法示例
3) 基于强化学习的爬行策略
Rennie 和 McCallum 将增强学习引入聚焦爬虫,使用贝叶斯分类器根据整个网页文本和链接文本对超链接进行分类,并计算每个链接的重要性,从而确定链接访问的顺序。
4) 基于上下文映射的爬取策略
勤奋等。提出了一种爬行策略,通过建立上下文映射来学习网页之间的相关性。该策略可以训练机器学习系统,通过该系统可以计算从当前页面到相关网页的距离。优先访问中的链接。
3. 增量网络爬虫
增量式网络爬虫是指对下载的网页进行增量更新,只抓取新生成或变化的网页的爬虫。可以在一定程度上保证爬取的页面尽可能的新鲜。
增量网络爬虫有两个目标:
为了实现第一个目标,增量网络爬虫需要重新访问网页以更新本地页面集中页面的内容。常用的方法有统一更新法、个体更新法和基于分类的更新法。
为了实现第二个目标,增量网络爬虫需要对网页的重要性进行排名。常用的策略包括广度优先策略、PageRank 优先策略等。
4. 深度网络爬虫
根据存在的方式,网页可以分为表面网页和深层网页。
深度网络爬虫架构由6个基本功能模块(爬虫控制器、解析器、表单分析器、表单处理器、响应分析器、LVS控制器)和两个爬虫内部数据结构(URL列表和LVS表)组成。
其中,LVS(LabelValueSet)表示标签和值的集合,用于表示填写表单的数据源。在爬虫过程中,最重要的部分是表单填写,包括基于领域知识的表单填写和基于网页结构分析的表单填写。
自动关键词采集( 基于tag合集的手机扫描查看软件的使用步骤及应用)
采集交流 • 优采云 发表了文章 • 0 个评论 • 235 次浏览 • 2021-10-29 17:07
基于tag合集的手机扫描查看软件的使用步骤及应用)
百度关键词提取网址域名
类型:标签采集时间:2021年10月29日手机观看
移动扫描查看
百度关键词提取URL域名软件,根据输入的关键词搜索批量采集搜索到的域名,可以批量导出搜索到的域名,关键词@ > 无限设置定时搜索、自动翻页、自动搜索、自动过滤可用于站长域名导出查询对比等。使用步骤1.打开软件,在关键词框中输入相关的关键词,注意每一个关键词为一条线,不要连一块,否则你将搜索错误。搜索关键词不要带空行2设置采集页数建议小于50。3.随机间隔时间,防止百度检测到软件自动搜索,上面是编辑器
百度关键词提取网址域名
类型:标签采集时间:2021年10月29日手机观看
移动扫描查看
百度关键词提取URL域名软件,根据输入的关键词搜索批量采集搜索到的域名,可以批量导出搜索到的域名,关键词@ > 无限设置定时搜索、自动翻页、自动搜索、自动过滤可用于站长域名导出查询对比等。使用步骤1.打开软件,在关键词框中输入相关的关键词,注意每一个关键词为一条线,不要连一块,否则你将搜索错误。搜索关键词不要带空行2设置采集页数建议小于50。3.随机间隔时间,防止百度检测到软件自动搜索,上面是编辑器 查看全部
自动关键词采集(
基于tag合集的手机扫描查看软件的使用步骤及应用)
百度关键词提取网址域名
类型:标签采集时间:2021年10月29日手机观看
移动扫描查看
百度关键词提取URL域名软件,根据输入的关键词搜索批量采集搜索到的域名,可以批量导出搜索到的域名,关键词@ > 无限设置定时搜索、自动翻页、自动搜索、自动过滤可用于站长域名导出查询对比等。使用步骤1.打开软件,在关键词框中输入相关的关键词,注意每一个关键词为一条线,不要连一块,否则你将搜索错误。搜索关键词不要带空行2设置采集页数建议小于50。3.随机间隔时间,防止百度检测到软件自动搜索,上面是编辑器
百度关键词提取网址域名
类型:标签采集时间:2021年10月29日手机观看
移动扫描查看
百度关键词提取URL域名软件,根据输入的关键词搜索批量采集搜索到的域名,可以批量导出搜索到的域名,关键词@ > 无限设置定时搜索、自动翻页、自动搜索、自动过滤可用于站长域名导出查询对比等。使用步骤1.打开软件,在关键词框中输入相关的关键词,注意每一个关键词为一条线,不要连一块,否则你将搜索错误。搜索关键词不要带空行2设置采集页数建议小于50。3.随机间隔时间,防止百度检测到软件自动搜索,上面是编辑器
自动关键词采集(英文学术论文摘要制作系统文献采集系统文本采集及分析)
采集交流 • 优采云 发表了文章 • 0 个评论 • 200 次浏览 • 2021-10-27 04:04
自动关键词采集及分析(lookas)多篇论文采集。从下载该论文的读者列表里按照发表时间排序采集,实验结果更新后及时同步。对于一些读者来说,可能新论文会一直在他们面前,但是我们可以考虑采集第二年的论文。这样他们可以在最短的时间内下载文章。其实不仅仅是论文,我们每篇文章的指定的指南都可以算入这一项里。我们的软件可以分析字符集大小和每个词的字数,找出论文指南里更好的词语。
英文学术论文摘要制作系统文献采集系统文本采集系统利用keywordpipeline,提取关键词的需求量大增。现在有人需要利用采集系统来进行大量文本文件的摘要。很可惜,相比之下endnote因为自身太庞大,简直自寻死路,网上现在有很多人提供采集系统,这个是可靠的,例如google/w3c等,使用教程也是有的。
这是正确的。学术论文摘要需要大量选定关键词的人才能完成,这部分人是对主题有很深理解的学者。你想从应用程序中获取论文摘要,而不是从教科书上。一般来说,可能不太需要标题或摘要。这个部分可以得到有效资源,而不是关键词的超链接。如果有高质量的摘要,那么会更有意义。对于有数据的要利用好这一点。但是,很多情况下在数据仓库中存储的数据可能产生错误和缺失的关键词(因为目标是把endnote转化为lookas)。
知乎上还有很多人对关键词采集的原理感兴趣。在这里简单地总结下,核心是hive或mongodb(sql:stringreplacement)操作schemadata来验证关键词。正确的做法是用sql来加载结构化数据,例如mysqlorpostgresql。但是,这并不总是简单的,如果有高质量的信息或lookas采集系统,即使一个网页上有60个句子,也不过是5个单词的问题。
原因是你的endnote根本不记得是谁搜到这篇论文并打上了这个关键词。建议阅读hive和mongodb的基础知识。论文tag采集及分析也是一个高质量的选题。高质量的摘要最大的一个好处是抓住本文的精华并进行转换,可以为该论文打上tag。但是很多论文的摘要在写好后就会出现语法错误、停顿、缩写或随意插入长句子。
因此,我们可以把论文摘要做成思维导图,列表每个项目都有相对应的结构。这对想进行论文研究的作者非常有用。最后,论文思维导图可以在我的在线发布,有兴趣的作者可以读读。要在线,请私信我:论文摘要采集(可转换为tag和postgresql)论文tag采集思维导图发布在我的blog上发布。
论文reference采集与通用论文链接分析的有效工具extractionandreferencepreparedconcepts这是可以检索从材料中提取灵感的一些软件。其实我可以花几分钟把。 查看全部
自动关键词采集(英文学术论文摘要制作系统文献采集系统文本采集及分析)
自动关键词采集及分析(lookas)多篇论文采集。从下载该论文的读者列表里按照发表时间排序采集,实验结果更新后及时同步。对于一些读者来说,可能新论文会一直在他们面前,但是我们可以考虑采集第二年的论文。这样他们可以在最短的时间内下载文章。其实不仅仅是论文,我们每篇文章的指定的指南都可以算入这一项里。我们的软件可以分析字符集大小和每个词的字数,找出论文指南里更好的词语。
英文学术论文摘要制作系统文献采集系统文本采集系统利用keywordpipeline,提取关键词的需求量大增。现在有人需要利用采集系统来进行大量文本文件的摘要。很可惜,相比之下endnote因为自身太庞大,简直自寻死路,网上现在有很多人提供采集系统,这个是可靠的,例如google/w3c等,使用教程也是有的。
这是正确的。学术论文摘要需要大量选定关键词的人才能完成,这部分人是对主题有很深理解的学者。你想从应用程序中获取论文摘要,而不是从教科书上。一般来说,可能不太需要标题或摘要。这个部分可以得到有效资源,而不是关键词的超链接。如果有高质量的摘要,那么会更有意义。对于有数据的要利用好这一点。但是,很多情况下在数据仓库中存储的数据可能产生错误和缺失的关键词(因为目标是把endnote转化为lookas)。
知乎上还有很多人对关键词采集的原理感兴趣。在这里简单地总结下,核心是hive或mongodb(sql:stringreplacement)操作schemadata来验证关键词。正确的做法是用sql来加载结构化数据,例如mysqlorpostgresql。但是,这并不总是简单的,如果有高质量的信息或lookas采集系统,即使一个网页上有60个句子,也不过是5个单词的问题。
原因是你的endnote根本不记得是谁搜到这篇论文并打上了这个关键词。建议阅读hive和mongodb的基础知识。论文tag采集及分析也是一个高质量的选题。高质量的摘要最大的一个好处是抓住本文的精华并进行转换,可以为该论文打上tag。但是很多论文的摘要在写好后就会出现语法错误、停顿、缩写或随意插入长句子。
因此,我们可以把论文摘要做成思维导图,列表每个项目都有相对应的结构。这对想进行论文研究的作者非常有用。最后,论文思维导图可以在我的在线发布,有兴趣的作者可以读读。要在线,请私信我:论文摘要采集(可转换为tag和postgresql)论文tag采集思维导图发布在我的blog上发布。
论文reference采集与通用论文链接分析的有效工具extractionandreferencepreparedconcepts这是可以检索从材料中提取灵感的一些软件。其实我可以花几分钟把。
自动关键词采集(长沙的SEO哪家好,比较专业?-八维教育)
采集交流 • 优采云 发表了文章 • 0 个评论 • 154 次浏览 • 2021-10-22 03:17
2、采集规则自定义
3、网站流量源整合
4、竞争对手词库挖掘
5、行业和竞争对手研究
6、客服系统代码安装
7、蜘蛛源码搜索引擎分析
8、公司网络营销和SEO培训
二、巢湖市义乌网页制作相关说明
具体建站服务根据不同行业、公司网站基金会和客户需求定制。以下是巢湖市义乌网页制作服务的常见内容:
与他人交换好友链接,如何在自己的网站中添加交换的链接,求大神指点
它有一定的作用。单方面这样做不是很有用。需要结合网站优化、朋友链、网页TDK、网站关键词堆叠
● 简短说明:对APP 的简短说明,80 字以内,用一两句话描述APP 及其主要功能。短描述对ASO的影响可以占到前5位,对搜索排名和转化率影响比较大,而且Google play短描述最多80个字符,所以可以做的优化空间是比标题大。需要注意的是,表达语义和关键词覆盖率要同时考虑,一影响转化率,二影响搜索排名。谷歌优化。谷歌优化。在关键覆盖方面,新应用选择流行的关键词并希望能处于领先地位是相当具有挑战性的。因此,关键词 的最佳策略 优化就是选择合适的关键词。谷歌优化。一开始用长尾关键词是最合适的,因为它是更具体的搜索关键词组合。这类关键词一般转化率较高,用户搜索查询70%都是长尾词。用户将使用特定搜索,因为这种类型的搜索更准确。但是长尾关键词有一个缺点,流量少,竞争少,所以你应该尽可能多地选择长尾关键词的不同组合,并覆盖大量相关的搜索查询区域。应用。谷歌优化。这样可以提高关键词的覆盖率,最大化移动应用搜索的可见度。谷歌优化。一开始用长尾关键词是最合适的,因为它是更具体的搜索关键词组合。这类关键词一般转化率较高,用户搜索查询70%都是长尾词。用户将使用特定搜索,因为这种类型的搜索更准确。但是长尾关键词有一个缺点,流量少,竞争少,所以你应该尽可能多地选择长尾关键词的不同组合,并覆盖大量相关的搜索查询区域。应用。谷歌优化。这样可以提高关键词的覆盖率,最大化移动应用搜索的可见度。谷歌优化。一开始用长尾关键词是最合适的,因为它是更具体的搜索关键词组合。这类关键词一般转化率较高,用户搜索查询70%都是长尾词。用户将使用特定搜索,因为这种类型的搜索更准确。但是长尾关键词有一个缺点,流量少,竞争少,所以你应该尽可能多地选择长尾关键词的不同组合,并覆盖大量相关的搜索查询区域。应用。谷歌优化。这样可以提高关键词的覆盖率,最大化移动应用搜索的可见度。因为它是更具体的搜索 关键词 组合。这类关键词一般转化率较高,用户搜索查询70%都是长尾词。用户将使用特定搜索,因为这种类型的搜索更准确。但是长尾关键词有一个缺点,流量少,竞争少,所以你应该尽可能多地选择长尾关键词的不同组合,并覆盖大量相关的搜索查询区域。应用。谷歌优化。这样可以提高关键词的覆盖率,最大化移动应用搜索的可见度。因为它是更具体的搜索 关键词 组合。这类关键词一般转化率较高,用户搜索查询70%都是长尾词。用户将使用特定搜索,因为这种类型的搜索更准确。但是长尾关键词有一个缺点,流量少,竞争少,所以你应该尽可能多地选择长尾关键词的不同组合,并覆盖大量相关的搜索查询区域。应用。谷歌优化。这样可以提高关键词的覆盖率,最大化移动应用搜索的可见度。用户将使用特定搜索,因为这种类型的搜索更准确。但是长尾关键词有一个缺点,流量少,竞争少,所以你应该尽可能多地选择长尾关键词的不同组合,并覆盖大量相关的搜索查询区域。应用。谷歌优化。这样可以提高关键词的覆盖率,最大化移动应用搜索的可见度。用户将使用特定搜索,因为这种类型的搜索更准确。但是长尾关键词有一个缺点,流量少,竞争少,所以你应该尽可能多地选择长尾关键词的不同组合,并覆盖大量相关的搜索查询区域。应用。谷歌优化。这样可以提高关键词的覆盖率,最大化移动应用搜索的可见度。
长沙哪个SEO更好更专业?
1、输入网站的相关信息,只需几分钟即可完成对所有站点的全面人工智能检测;根据明确的检测结果和待处理的任务进行调整和优化,可以延长网站寿命,提高网站的排名,增加网站流量和查询的获取。
三、巢湖市电话ip地址查询-大神解答
具体域名托管服务根据不同行业、公司网站基金会和客户需求定制。以下为巢湖市普通电话IP地址查询服务内容:
如何为公司写网络营销计划?
(5),尽量避免创建垃圾链接
SEO中的白帽和黑帽是什么意思?
搜索引擎优化外包
应用技巧谷歌搜索引擎使用技巧
国内外调查报告显示,除了微软、IBM、雅虎等知名企业网站等国外知名企业,百度、新浪、搜狐、网易等国内大型互联网企业网站 可以获得大量的独立域名访问权限。网站 75%以上的访问来源来自各种搜索引擎,其重要性可见一斑。
2、 百度宁可误杀三千收录 一
排名优化目的
“世界纷繁复杂,百度更懂你”,百度统计提供数十种图形化报表,全程跟踪访问者的行为路径。同时,百度统计整合百度推广数据,帮助用户及时了解百度推广效果,优化推广方案。百度统计工具。
市场等于人口加上购买力。通过关键词和后台设置精准广告展示人群,其他广告的好坏在于对目标消费者心理的把握,做广告是否能影响消费决策,消除消费顾虑. 广告是否在正确的时间向正确的人展示?不管关键词广告还是其他广告,都是展示广告给人们看的。因此,广告请求必须以目标群体为导向,避免陷入巨大的“关键词怪圈”,从“需求”关键词开始。
找seowhy,学习seo会比较系统,优化也可以实际操作,效果还不错
二??如果你不学习,你的 SEO 将毫无用处
四、巢湖市输入关键词-进一步阅读
搜索引擎喜欢定期更新网站内容,所以合理安排网站内容发布时间表是SEO的重要技术之一。链接布局将整个网站有机连接起来,让搜索引擎了解每个网页和关键词的重要性。实现的参考是第一点的 关键词 布局。seo基础。seo基础。seo基础。seo基础。seo基础。seo基础。seo基础。搜外6 系统实现了“自动锚文本”功能。seo基础。seo基础。seo基础。友情链接之战也是在这个时候开始的。
⑥利用背景实现统一:从技术上讲,网页背景包括背景色和背景图片。一般来说,我们不提倡使用背景图片,而是使用背景颜色或色块。原因很明显:第一,背景颜色的下载速度可以忽略不计,背景图片必须根据图片字节大小来下载;其次,背景图片容易让前面的文字难以辨认,很不舒服。感觉人是留不住的。
10.?REL Link Checker Lite?
企业和seo推广部门必备的seo推广软件:中国网道seo优化推广软件。
具体多少钱我忘了。今天好像提交了不到20个链接,所以提高了上限~~~因为我是菜鸟,我也可以提交转帖什么的。总之,它应该持续不超过30~
3.用户流失率
18. 站内的每个网页都可以直接跳转到网站的首页和栏目页吗?
2页多余
因为网站可以通过SEO让网站排名很高,遥遥领先于竞争对手,具有压倒性的优势。从而获得更多的潜在客户和在线客户。e58seo。e58seo。e58seo。e58seo。
有没有有用的伪原创应用程序?
交叉链接的目的是形成单向导入链接。除非你的交叉链接范围很广,否则很容易被惩罚,比如abc3 网站 a link b, b link c, c link a,
网上销售可靠吗?
五、巢湖市义乌网页制作-延伸阅读
意想不到的邮件推广方式:使用专业的邮件群发工具,在网上批量采集邮箱地址,然后进行群发。邮件的主题应该“标准化”,以免网民误认为是垃圾邮件。
因为黑帽seo很容易被封杀,这个成本非常高,而且会导致用户搜索体验变差,成为seo行业的反感。黑帽SEO培训。黑帽SEO培训。
如何伪原创几个小方法
铅成本=消费量/公交线路数;每个行业都有不同的铅成本水平。医美在行业内相对来说是最高的。铅成本大说明整体推广效果不好,消耗高,线索少。这个问题非常严重。说真的,推广不是为了给公司带来更多的流量和引流~优化方法之前已经讲过,这里不再赘述。
3、 有搜狐、简书等可以做外链的,但是一旦被发现,就会被封禁。建议不要经常留下链接和促销信息。外部链接发布。外部链接发布。外部链接发布。或者得到更多的数字。外部链接发布。外部链接发布。外部链接发布。外部链接发布。外部链接发布。
总结:
网站排名分类:根据不同的回答统计方法和规则,主要的分类排名有Alexa网站排名、中国网站排名、百度排名等。
【编辑本段】网络推广的十种方法
SEO快速排名,关键词快速排名软件,靠谱不靠谱?
合理安排你的网站,你可以在目录名中使用关键词。也可以使用另一种方法,就是将所有网页都放在根目录下(这种方法很少见,但事实证明是一种非常好的有效方法)。
一小时学习SEO需要学什么
一般2%~8%,流行关键词约6%
六、巢湖市电话ip地址查询-进一步阅读
就像你说的,因为现在SEO大家都不明白是什么意思
如果标题标签中有关键词,那么你应该在页面的内容中适当合理地出现这个关键词,它可以出现在文章的开头和结尾。关键词 ,并在网站上做一个链接,并以粗体显示关键词的字体;并为此关键词制作一个描述标签,并在描述中添加你的关键词;
机器人文件是什么意思?他对网站的优化能起到什么作用?
说白了,SEO工作是刚毕业没有实践能力的大学生和SEO菜鸟可以做的事情。
正式增加百度指四大杜方法
四、公众号类型
链接数:一般来说,页面的链接越多,内页的权重就越高。如果您想突出显示 关键词 或重要页面,您可以获得更多链接指向,反之亦然。
哪家seo培训机构最好
产品的售价是消费者关注的焦点。如何买到质优价廉的产品,可能是选择网店的关键。网络营销的最大优势是降低成本和宣传费用,从而降低产品的价格。随着网络信息的开放,要想在价格上取胜,就需要及时调整自己的不同价格。对于促销期,企业也可以通过降低利润,以低价优质吸引消费者。市场成熟后,也可以通过低价促销回馈消费者。
html地图:
3、元信息复杂度:网站的元信息主要是关键词(描述)和描述(关键词)。很多新手站长只关注网站主页。
2113题不是很清楚。其实seo对于企业5261来说不是4102不需要的问题,而是根据企业的实际情况,做多做少做seo的问题1653.seo行业。
有的就是改变浏览不同ip的操作。你可以在网上看看一个叫“Quick Click Tiger”的软件。支持大量ip访问,提升网站的有效流量和搜索排名!而且Speedy Click Tiger软件可以自动更改ip,自动搜索关键词点击,自动浏览和点击页面。 查看全部
自动关键词采集(长沙的SEO哪家好,比较专业?-八维教育)
2、采集规则自定义
3、网站流量源整合
4、竞争对手词库挖掘
5、行业和竞争对手研究
6、客服系统代码安装
7、蜘蛛源码搜索引擎分析
8、公司网络营销和SEO培训
二、巢湖市义乌网页制作相关说明

具体建站服务根据不同行业、公司网站基金会和客户需求定制。以下是巢湖市义乌网页制作服务的常见内容:
与他人交换好友链接,如何在自己的网站中添加交换的链接,求大神指点
它有一定的作用。单方面这样做不是很有用。需要结合网站优化、朋友链、网页TDK、网站关键词堆叠
● 简短说明:对APP 的简短说明,80 字以内,用一两句话描述APP 及其主要功能。短描述对ASO的影响可以占到前5位,对搜索排名和转化率影响比较大,而且Google play短描述最多80个字符,所以可以做的优化空间是比标题大。需要注意的是,表达语义和关键词覆盖率要同时考虑,一影响转化率,二影响搜索排名。谷歌优化。谷歌优化。在关键覆盖方面,新应用选择流行的关键词并希望能处于领先地位是相当具有挑战性的。因此,关键词 的最佳策略 优化就是选择合适的关键词。谷歌优化。一开始用长尾关键词是最合适的,因为它是更具体的搜索关键词组合。这类关键词一般转化率较高,用户搜索查询70%都是长尾词。用户将使用特定搜索,因为这种类型的搜索更准确。但是长尾关键词有一个缺点,流量少,竞争少,所以你应该尽可能多地选择长尾关键词的不同组合,并覆盖大量相关的搜索查询区域。应用。谷歌优化。这样可以提高关键词的覆盖率,最大化移动应用搜索的可见度。谷歌优化。一开始用长尾关键词是最合适的,因为它是更具体的搜索关键词组合。这类关键词一般转化率较高,用户搜索查询70%都是长尾词。用户将使用特定搜索,因为这种类型的搜索更准确。但是长尾关键词有一个缺点,流量少,竞争少,所以你应该尽可能多地选择长尾关键词的不同组合,并覆盖大量相关的搜索查询区域。应用。谷歌优化。这样可以提高关键词的覆盖率,最大化移动应用搜索的可见度。谷歌优化。一开始用长尾关键词是最合适的,因为它是更具体的搜索关键词组合。这类关键词一般转化率较高,用户搜索查询70%都是长尾词。用户将使用特定搜索,因为这种类型的搜索更准确。但是长尾关键词有一个缺点,流量少,竞争少,所以你应该尽可能多地选择长尾关键词的不同组合,并覆盖大量相关的搜索查询区域。应用。谷歌优化。这样可以提高关键词的覆盖率,最大化移动应用搜索的可见度。因为它是更具体的搜索 关键词 组合。这类关键词一般转化率较高,用户搜索查询70%都是长尾词。用户将使用特定搜索,因为这种类型的搜索更准确。但是长尾关键词有一个缺点,流量少,竞争少,所以你应该尽可能多地选择长尾关键词的不同组合,并覆盖大量相关的搜索查询区域。应用。谷歌优化。这样可以提高关键词的覆盖率,最大化移动应用搜索的可见度。因为它是更具体的搜索 关键词 组合。这类关键词一般转化率较高,用户搜索查询70%都是长尾词。用户将使用特定搜索,因为这种类型的搜索更准确。但是长尾关键词有一个缺点,流量少,竞争少,所以你应该尽可能多地选择长尾关键词的不同组合,并覆盖大量相关的搜索查询区域。应用。谷歌优化。这样可以提高关键词的覆盖率,最大化移动应用搜索的可见度。用户将使用特定搜索,因为这种类型的搜索更准确。但是长尾关键词有一个缺点,流量少,竞争少,所以你应该尽可能多地选择长尾关键词的不同组合,并覆盖大量相关的搜索查询区域。应用。谷歌优化。这样可以提高关键词的覆盖率,最大化移动应用搜索的可见度。用户将使用特定搜索,因为这种类型的搜索更准确。但是长尾关键词有一个缺点,流量少,竞争少,所以你应该尽可能多地选择长尾关键词的不同组合,并覆盖大量相关的搜索查询区域。应用。谷歌优化。这样可以提高关键词的覆盖率,最大化移动应用搜索的可见度。
长沙哪个SEO更好更专业?
1、输入网站的相关信息,只需几分钟即可完成对所有站点的全面人工智能检测;根据明确的检测结果和待处理的任务进行调整和优化,可以延长网站寿命,提高网站的排名,增加网站流量和查询的获取。
三、巢湖市电话ip地址查询-大神解答

具体域名托管服务根据不同行业、公司网站基金会和客户需求定制。以下为巢湖市普通电话IP地址查询服务内容:
如何为公司写网络营销计划?
(5),尽量避免创建垃圾链接
SEO中的白帽和黑帽是什么意思?
搜索引擎优化外包
应用技巧谷歌搜索引擎使用技巧
国内外调查报告显示,除了微软、IBM、雅虎等知名企业网站等国外知名企业,百度、新浪、搜狐、网易等国内大型互联网企业网站 可以获得大量的独立域名访问权限。网站 75%以上的访问来源来自各种搜索引擎,其重要性可见一斑。
2、 百度宁可误杀三千收录 一
排名优化目的
“世界纷繁复杂,百度更懂你”,百度统计提供数十种图形化报表,全程跟踪访问者的行为路径。同时,百度统计整合百度推广数据,帮助用户及时了解百度推广效果,优化推广方案。百度统计工具。
市场等于人口加上购买力。通过关键词和后台设置精准广告展示人群,其他广告的好坏在于对目标消费者心理的把握,做广告是否能影响消费决策,消除消费顾虑. 广告是否在正确的时间向正确的人展示?不管关键词广告还是其他广告,都是展示广告给人们看的。因此,广告请求必须以目标群体为导向,避免陷入巨大的“关键词怪圈”,从“需求”关键词开始。
找seowhy,学习seo会比较系统,优化也可以实际操作,效果还不错
二??如果你不学习,你的 SEO 将毫无用处
四、巢湖市输入关键词-进一步阅读

搜索引擎喜欢定期更新网站内容,所以合理安排网站内容发布时间表是SEO的重要技术之一。链接布局将整个网站有机连接起来,让搜索引擎了解每个网页和关键词的重要性。实现的参考是第一点的 关键词 布局。seo基础。seo基础。seo基础。seo基础。seo基础。seo基础。seo基础。搜外6 系统实现了“自动锚文本”功能。seo基础。seo基础。seo基础。友情链接之战也是在这个时候开始的。
⑥利用背景实现统一:从技术上讲,网页背景包括背景色和背景图片。一般来说,我们不提倡使用背景图片,而是使用背景颜色或色块。原因很明显:第一,背景颜色的下载速度可以忽略不计,背景图片必须根据图片字节大小来下载;其次,背景图片容易让前面的文字难以辨认,很不舒服。感觉人是留不住的。
10.?REL Link Checker Lite?
企业和seo推广部门必备的seo推广软件:中国网道seo优化推广软件。
具体多少钱我忘了。今天好像提交了不到20个链接,所以提高了上限~~~因为我是菜鸟,我也可以提交转帖什么的。总之,它应该持续不超过30~
3.用户流失率
18. 站内的每个网页都可以直接跳转到网站的首页和栏目页吗?
2页多余
因为网站可以通过SEO让网站排名很高,遥遥领先于竞争对手,具有压倒性的优势。从而获得更多的潜在客户和在线客户。e58seo。e58seo。e58seo。e58seo。
有没有有用的伪原创应用程序?
交叉链接的目的是形成单向导入链接。除非你的交叉链接范围很广,否则很容易被惩罚,比如abc3 网站 a link b, b link c, c link a,
网上销售可靠吗?
五、巢湖市义乌网页制作-延伸阅读

意想不到的邮件推广方式:使用专业的邮件群发工具,在网上批量采集邮箱地址,然后进行群发。邮件的主题应该“标准化”,以免网民误认为是垃圾邮件。
因为黑帽seo很容易被封杀,这个成本非常高,而且会导致用户搜索体验变差,成为seo行业的反感。黑帽SEO培训。黑帽SEO培训。
如何伪原创几个小方法
铅成本=消费量/公交线路数;每个行业都有不同的铅成本水平。医美在行业内相对来说是最高的。铅成本大说明整体推广效果不好,消耗高,线索少。这个问题非常严重。说真的,推广不是为了给公司带来更多的流量和引流~优化方法之前已经讲过,这里不再赘述。
3、 有搜狐、简书等可以做外链的,但是一旦被发现,就会被封禁。建议不要经常留下链接和促销信息。外部链接发布。外部链接发布。外部链接发布。或者得到更多的数字。外部链接发布。外部链接发布。外部链接发布。外部链接发布。外部链接发布。
总结:
网站排名分类:根据不同的回答统计方法和规则,主要的分类排名有Alexa网站排名、中国网站排名、百度排名等。
【编辑本段】网络推广的十种方法
SEO快速排名,关键词快速排名软件,靠谱不靠谱?
合理安排你的网站,你可以在目录名中使用关键词。也可以使用另一种方法,就是将所有网页都放在根目录下(这种方法很少见,但事实证明是一种非常好的有效方法)。
一小时学习SEO需要学什么
一般2%~8%,流行关键词约6%
六、巢湖市电话ip地址查询-进一步阅读

就像你说的,因为现在SEO大家都不明白是什么意思
如果标题标签中有关键词,那么你应该在页面的内容中适当合理地出现这个关键词,它可以出现在文章的开头和结尾。关键词 ,并在网站上做一个链接,并以粗体显示关键词的字体;并为此关键词制作一个描述标签,并在描述中添加你的关键词;
机器人文件是什么意思?他对网站的优化能起到什么作用?
说白了,SEO工作是刚毕业没有实践能力的大学生和SEO菜鸟可以做的事情。
正式增加百度指四大杜方法
四、公众号类型
链接数:一般来说,页面的链接越多,内页的权重就越高。如果您想突出显示 关键词 或重要页面,您可以获得更多链接指向,反之亦然。
哪家seo培训机构最好
产品的售价是消费者关注的焦点。如何买到质优价廉的产品,可能是选择网店的关键。网络营销的最大优势是降低成本和宣传费用,从而降低产品的价格。随着网络信息的开放,要想在价格上取胜,就需要及时调整自己的不同价格。对于促销期,企业也可以通过降低利润,以低价优质吸引消费者。市场成熟后,也可以通过低价促销回馈消费者。
html地图:
3、元信息复杂度:网站的元信息主要是关键词(描述)和描述(关键词)。很多新手站长只关注网站主页。
2113题不是很清楚。其实seo对于企业5261来说不是4102不需要的问题,而是根据企业的实际情况,做多做少做seo的问题1653.seo行业。
有的就是改变浏览不同ip的操作。你可以在网上看看一个叫“Quick Click Tiger”的软件。支持大量ip访问,提升网站的有效流量和搜索排名!而且Speedy Click Tiger软件可以自动更改ip,自动搜索关键词点击,自动浏览和点击页面。
自动关键词采集(让网站自动提取关键词,这样做的好处是什么呢?)
采集交流 • 优采云 发表了文章 • 0 个评论 • 339 次浏览 • 2021-10-21 23:19
很多站长朋友喜欢让网站自动提取关键词,这样做有什么好处呢?站长朋友在做网站优化的时候几乎都会用到,因为关键词在发布文章时会作为超链接使用。这时候会用到自动提取关键词的功能。有的程序可以在网站的后台设置,有的可能需要在程序中修改,但是今天有个站长朋友用PHP独立IP虚拟主机搭建织梦dedecms@ >系统也设置为提取关键词。当时是登录后台-->系统-->系统基本参数-->其他选项-->自动提取关键字-->是的,所以开启了。但此时,我没有成功填写它。我不知道是什么问题。主机无忧编辑经过分析研究,找到了办法。其实可以通过修改程序来解决。具体方法如下: 1:首先登录主机无忧会员中心,找到主机管理-控制面板,如图1所示:
2:点击控制面板-进入文件管理,如图2:
3:点击进入文件管理-找到public_html根目录。如图3所示:
4:按照路径找到/data/config.cache.bak.php文件如图4所示:
5 点击编辑打开文件,使用ctrl+f找到如下代码:find
$cfg_arc_autokeyword = 'Y';
变成
$cfg_arc_autokeyword = 'N';
如图5所示:
修改完成后,登录网站后台,更新缓存,在全站生成。以上就是PHP独立IP空间环境下如何关闭dedecms@>中关键词的自动提取。我希望它会对大家有所帮助。 查看全部
自动关键词采集(让网站自动提取关键词,这样做的好处是什么呢?)
很多站长朋友喜欢让网站自动提取关键词,这样做有什么好处呢?站长朋友在做网站优化的时候几乎都会用到,因为关键词在发布文章时会作为超链接使用。这时候会用到自动提取关键词的功能。有的程序可以在网站的后台设置,有的可能需要在程序中修改,但是今天有个站长朋友用PHP独立IP虚拟主机搭建织梦dedecms@ >系统也设置为提取关键词。当时是登录后台-->系统-->系统基本参数-->其他选项-->自动提取关键字-->是的,所以开启了。但此时,我没有成功填写它。我不知道是什么问题。主机无忧编辑经过分析研究,找到了办法。其实可以通过修改程序来解决。具体方法如下: 1:首先登录主机无忧会员中心,找到主机管理-控制面板,如图1所示:

2:点击控制面板-进入文件管理,如图2:

3:点击进入文件管理-找到public_html根目录。如图3所示:

4:按照路径找到/data/config.cache.bak.php文件如图4所示:

5 点击编辑打开文件,使用ctrl+f找到如下代码:find
$cfg_arc_autokeyword = 'Y';
变成
$cfg_arc_autokeyword = 'N';
如图5所示:

修改完成后,登录网站后台,更新缓存,在全站生成。以上就是PHP独立IP空间环境下如何关闭dedecms@>中关键词的自动提取。我希望它会对大家有所帮助。
自动关键词采集(输入关键字采集各搜索引擎的网址、域名、标题、描述等信息)
采集交流 • 优采云 发表了文章 • 0 个评论 • 159 次浏览 • 2021-10-19 23:05
输入关键字采集 各搜索引擎的网址、域名、标题、描述等信息。
支持百度、搜狗、谷歌、必应、雅虎、360等,每个关键词600到800,采集示例。
关键词可以收录搜索引擎参数,就像在网页上输入关键词搜索一样,
如果百度搜索结果网址必须收录bbs的关键词,则输入“关键词 inurl:bbs”。
保存模板可以引用的数据:
#URL#采集 的原创 URL
# Title# URL对应的页面标题
#Domain#原创URL的域名部分,如“”中的“”
#顶级域名# 取原网址的顶级域名部分,如“”中的“”
#描述#页面标题下方的一段描述性文字
Excel导出:
CSV是一个文本表格,Excel可以显示为多列多行数据。只需在保存模板中设置为:
“#URL#”、“#title#”、“#描述#”
此格式为 csv 格式。用引号将每个项目括起来,多个项目用逗号隔开,然后保存扩展名并填写csv。
问题重点:
1.为什么采集一段时间后就不行了采集?
可能是采集受搜索引擎限制比较多。一般可以通过更改IP来继续采集(如使用VPN更改IP)。如果不改,只能在搜索引擎解封后继续采集。百度的屏蔽时间通常是半小时到几个小时。
但是,即使验证码被屏蔽,软件也会弹出手动输入的验证码(百度、谷歌)
2.不同批次关键词采集为什么结果有些重复的网址?
尤其是只引用#domain#或#top-level domain#后,这种部分URL重复的情况更为常见。这也是正常的,因为网站的每个内页可能收录很多主题,不同的关键词可能会采集到网站的不同内页,当域名引用,同一个网站的不同内页的域名结果自然是一样的。
另外,软件中的自动去重是为了对这个采集的结果进行内部去重。采集 之前的结果不在此重复数据删除的范围内。如果两个采集的结果中有重复的URL,可以合并在一起,用软件去重(优采云·text deduplication scrambler)。
3.为什么采集返回的URL主题与关键词不匹配?
这是因为在引用#domain# 或#top-level domain# 后,取的是域名部分。域名打开网站的首页,采集的原网址可能不是首页,而是网站文章的文章内页,内页收录关键词的主题,所以可以通过搜索引擎收录和软件采集获取。但是获取域名后,您打开的域名首页可能不收录关键词。
为了比较采集是否正确,可以在保存模板中输入:,另存为htm文件,采集后可以打开文件查看比较。
优采云关键词网址采集器支持采集百度新闻v1.12.0.0营销版'/>
⒈本站提供的任何资源仅供自研学习,不得用于非法活动。它们将在下载后 24 小时内删除。
⒉软件公告区的内容不得发布违反法律法规的内容。一旦发现该软件在后台被屏蔽,将无法打开!
⒊本站软件采集组织相关行业网站页面公共资源,属于用户在相关网站上发布的公开信息。它不涉及任何个人隐私问题。本软件只能在一定范围内合法使用,不得非法使用。
⒋一旦发现会员有欺骗我们或欺骗客户的行为,一经发现,会员资格将无条件取消!
⒌请勿使用我们的软件采集转售信息或将其用于其他非法行为。否则后果自负!一经发现,我们将第一时间向公安部门报告!并停止软件功能,所有费用概不退还!
原创文章 请注明:/benlv/zhyx/5607.html
标签:优采云营销软件关键词采集 关键词网址采集百度新闻采集网址内容采集 查看全部
自动关键词采集(输入关键字采集各搜索引擎的网址、域名、标题、描述等信息)
输入关键字采集 各搜索引擎的网址、域名、标题、描述等信息。
支持百度、搜狗、谷歌、必应、雅虎、360等,每个关键词600到800,采集示例。
关键词可以收录搜索引擎参数,就像在网页上输入关键词搜索一样,
如果百度搜索结果网址必须收录bbs的关键词,则输入“关键词 inurl:bbs”。
保存模板可以引用的数据:
#URL#采集 的原创 URL
# Title# URL对应的页面标题
#Domain#原创URL的域名部分,如“”中的“”
#顶级域名# 取原网址的顶级域名部分,如“”中的“”
#描述#页面标题下方的一段描述性文字
Excel导出:
CSV是一个文本表格,Excel可以显示为多列多行数据。只需在保存模板中设置为:
“#URL#”、“#title#”、“#描述#”
此格式为 csv 格式。用引号将每个项目括起来,多个项目用逗号隔开,然后保存扩展名并填写csv。
问题重点:
1.为什么采集一段时间后就不行了采集?
可能是采集受搜索引擎限制比较多。一般可以通过更改IP来继续采集(如使用VPN更改IP)。如果不改,只能在搜索引擎解封后继续采集。百度的屏蔽时间通常是半小时到几个小时。
但是,即使验证码被屏蔽,软件也会弹出手动输入的验证码(百度、谷歌)
2.不同批次关键词采集为什么结果有些重复的网址?
尤其是只引用#domain#或#top-level domain#后,这种部分URL重复的情况更为常见。这也是正常的,因为网站的每个内页可能收录很多主题,不同的关键词可能会采集到网站的不同内页,当域名引用,同一个网站的不同内页的域名结果自然是一样的。
另外,软件中的自动去重是为了对这个采集的结果进行内部去重。采集 之前的结果不在此重复数据删除的范围内。如果两个采集的结果中有重复的URL,可以合并在一起,用软件去重(优采云·text deduplication scrambler)。
3.为什么采集返回的URL主题与关键词不匹配?
这是因为在引用#domain# 或#top-level domain# 后,取的是域名部分。域名打开网站的首页,采集的原网址可能不是首页,而是网站文章的文章内页,内页收录关键词的主题,所以可以通过搜索引擎收录和软件采集获取。但是获取域名后,您打开的域名首页可能不收录关键词。
为了比较采集是否正确,可以在保存模板中输入:,另存为htm文件,采集后可以打开文件查看比较。

优采云关键词网址采集器支持采集百度新闻v1.12.0.0营销版'/>
⒈本站提供的任何资源仅供自研学习,不得用于非法活动。它们将在下载后 24 小时内删除。
⒉软件公告区的内容不得发布违反法律法规的内容。一旦发现该软件在后台被屏蔽,将无法打开!
⒊本站软件采集组织相关行业网站页面公共资源,属于用户在相关网站上发布的公开信息。它不涉及任何个人隐私问题。本软件只能在一定范围内合法使用,不得非法使用。
⒋一旦发现会员有欺骗我们或欺骗客户的行为,一经发现,会员资格将无条件取消!
⒌请勿使用我们的软件采集转售信息或将其用于其他非法行为。否则后果自负!一经发现,我们将第一时间向公安部门报告!并停止软件功能,所有费用概不退还!
原创文章 请注明:/benlv/zhyx/5607.html
标签:优采云营销软件关键词采集 关键词网址采集百度新闻采集网址内容采集
自动关键词采集(优采云超级长尾关键词工具官方最新免费版介绍软件功能介绍)
采集交流 • 优采云 发表了文章 • 0 个评论 • 114 次浏览 • 2021-10-17 06:01
优采云超长尾关键词官方工具最新免费版,是目前网上最好的。优采云超长尾关键词官方挖矿工具最新免费版,软件功能强大,可以轻松采集百度、谷歌、雅虎、亚马逊、阿里巴巴、速卖通等( deng)热门推荐关键词,并支持无限抽取、支持全球小语种、自动去强调、智能扩展扩展词、自动语义分类等,帮助企业用户更好地推广(tui)产品。
优采云超长尾关键词 官方工具介绍最新免费版
1.软件功能1、输入种子关键词,来自谷歌、百度、雅虎等采集给大量搜索引擎推荐的热门推荐关键词 ; 2、输入种子关键词,来自亚马逊、速卖通、阿里巴巴等采集到大量购物平台推荐的长尾词;3、 自动语义分类:支持自动去重;全球小语种支持;4、 支持输入多个种子 关键词 批量轮换捕获;5、 支持模拟手动延时设置,对搜索引擎更加友好;6、 支持英文智能匹配扩展词;7、支持批量选择关键词并添加链接到关键词(UBB模式和HREF模式),打开优采云超长尾关键词官方最新免费工具版,输入账号密码登录;2、选择访问路径3、进入关键词4、自动获取列表5、自动转换为关键词锚链格式。
优采云超长尾关键词官方工具最新免费版总结
优采云超长尾关键词工具官方最新V2.50是一款适用于安卓版其他软件的手机软件。如果你喜欢这个软件,请把下载地址分享给你的朋友: 查看全部
自动关键词采集(优采云超级长尾关键词工具官方最新免费版介绍软件功能介绍)
优采云超长尾关键词官方工具最新免费版,是目前网上最好的。优采云超长尾关键词官方挖矿工具最新免费版,软件功能强大,可以轻松采集百度、谷歌、雅虎、亚马逊、阿里巴巴、速卖通等( deng)热门推荐关键词,并支持无限抽取、支持全球小语种、自动去强调、智能扩展扩展词、自动语义分类等,帮助企业用户更好地推广(tui)产品。
优采云超长尾关键词 官方工具介绍最新免费版
1.软件功能1、输入种子关键词,来自谷歌、百度、雅虎等采集给大量搜索引擎推荐的热门推荐关键词 ; 2、输入种子关键词,来自亚马逊、速卖通、阿里巴巴等采集到大量购物平台推荐的长尾词;3、 自动语义分类:支持自动去重;全球小语种支持;4、 支持输入多个种子 关键词 批量轮换捕获;5、 支持模拟手动延时设置,对搜索引擎更加友好;6、 支持英文智能匹配扩展词;7、支持批量选择关键词并添加链接到关键词(UBB模式和HREF模式),打开优采云超长尾关键词官方最新免费工具版,输入账号密码登录;2、选择访问路径3、进入关键词4、自动获取列表5、自动转换为关键词锚链格式。
优采云超长尾关键词官方工具最新免费版总结
优采云超长尾关键词工具官方最新V2.50是一款适用于安卓版其他软件的手机软件。如果你喜欢这个软件,请把下载地址分享给你的朋友:
自动关键词采集(庆祝备案通过算是一点点小福利吧,只讲下原理,不公开程序)
采集交流 • 优采云 发表了文章 • 0 个评论 • 93 次浏览 • 2021-10-17 04:25
庆祝备案通过,有点福利,只讲原则,不透露流程。
1)基本词
以Nginx为例,目前有2968个来自采集的长尾词。这些长尾词应该用于在搜索引擎中搜索文章。
启用45个长尾词,即45个长尾词已被搜索引擎用于搜索文章,其中33个已完成。
点击“长尾”按钮查看所有长尾词。
2)长尾词
这个没什么好说的。以第一个“nginx配置”为例,用这个长尾词一共采集到1030文章。
点击“查看”按钮查看所有文章。
3)文章列表
这里是所有文章用“nginx配置”这个词搜索的,一共1030条。
4)文章页面
左上角显示汉字个数,这个文章的可读性由程序自动判断。可读性越高,文章的布局越整齐,如果太低,说明这个页面帖子上的内容很可能不是“文章”,直接丢弃吧。
点击发布“按钮”后,当前文章将发布到网站数据库,并根据绑定的列ID发送到指定列,然后重定向到网站背景这个文章的编辑页面,因为一些文章可能需要整理或重新格式化。
使用本程序不需要为任何网站写任何采集规则,它使用正文提取算法,只需要一个URL,正文内容自动提取,这是独家对于 优采云。
为了保证文章的质量,文章的内容不会直接插入到网站数据库中,而是会人工审核。 查看全部
自动关键词采集(庆祝备案通过算是一点点小福利吧,只讲下原理,不公开程序)
庆祝备案通过,有点福利,只讲原则,不透露流程。
1)基本词
以Nginx为例,目前有2968个来自采集的长尾词。这些长尾词应该用于在搜索引擎中搜索文章。
启用45个长尾词,即45个长尾词已被搜索引擎用于搜索文章,其中33个已完成。
点击“长尾”按钮查看所有长尾词。

2)长尾词
这个没什么好说的。以第一个“nginx配置”为例,用这个长尾词一共采集到1030文章。
点击“查看”按钮查看所有文章。

3)文章列表
这里是所有文章用“nginx配置”这个词搜索的,一共1030条。

4)文章页面
左上角显示汉字个数,这个文章的可读性由程序自动判断。可读性越高,文章的布局越整齐,如果太低,说明这个页面帖子上的内容很可能不是“文章”,直接丢弃吧。
点击发布“按钮”后,当前文章将发布到网站数据库,并根据绑定的列ID发送到指定列,然后重定向到网站背景这个文章的编辑页面,因为一些文章可能需要整理或重新格式化。

使用本程序不需要为任何网站写任何采集规则,它使用正文提取算法,只需要一个URL,正文内容自动提取,这是独家对于 优采云。
为了保证文章的质量,文章的内容不会直接插入到网站数据库中,而是会人工审核。
自动关键词采集(自动关键词采集工具,精细化用搜索词分析软件_如何编写)
采集交流 • 优采云 发表了文章 • 0 个评论 • 133 次浏览 • 2021-10-16 02:03
自动关键词采集工具如何关键词seo精细化用搜索词分析软件_如何编写seo软文网站日常更新还是在为内容上首页,还是不够,会使用一个关键词在百度新闻列表就一键出去了,但如果想要更多的自己发挥,别人也会在百度找到自己的软文。方法有很多,也许你只想用到软文工具的一个功能,seo关键词采集工具。搜索过的词,是不是希望可以再次被人发现,就拿【热词】这个关键词来举例子,如果你想要用百度热词去做内容,可能会让人更关注产品而不是你的内容。
如果是关键词工具就可以将你提供的seo工具加上关键词输入,软件会自动搜索【热词】,你可以用搜索词工具提供的采集方法,只需输入【seo技巧】就可以进行采集,这个就是采集工具的优势。注:利用工具软件不要只使用一个搜索工具,我知道的只有这一个工具,最好两个都搭配使用才会有最大的提升,要不然效果不明显。另外,如果希望搜索词出现在页面的第一页,那就要使用这个工具。
效果会更好!关键词采集工具,最热词关键词工具网站采集工具_seo软文采集软件_关键词采集器网站采集工具下载_网站采集工具下载软件|常用网站采集软件网站关键词工具_不用下载软件的网站抓取工具网站采集工具|网站关键词监控工具上面介绍的三个工具不知道对你有没有用,如果没有用请立刻删除,工具软件每天都在被采集,又不能仅用软件进行采集,但是还是会有些词没有收录,或者你收录的词在软件里没有搜索出来,那就利用工具软件,网站新闻列表采集工具,每天花点时间收集,坚持一个月以上,就可以使用上面三个工具工具采集更多更好的词。
如果大家对用网站抓取工具,seo软文排名效果不明显,可以使用我写的这个抓取工具,能比他人采集更多更好的词,效果会更好。搜索:或者是.备注:纯手动抓取微信公众号“话术宝社”,可以获得网站搜索引擎更多内容!。 查看全部
自动关键词采集(自动关键词采集工具,精细化用搜索词分析软件_如何编写)
自动关键词采集工具如何关键词seo精细化用搜索词分析软件_如何编写seo软文网站日常更新还是在为内容上首页,还是不够,会使用一个关键词在百度新闻列表就一键出去了,但如果想要更多的自己发挥,别人也会在百度找到自己的软文。方法有很多,也许你只想用到软文工具的一个功能,seo关键词采集工具。搜索过的词,是不是希望可以再次被人发现,就拿【热词】这个关键词来举例子,如果你想要用百度热词去做内容,可能会让人更关注产品而不是你的内容。
如果是关键词工具就可以将你提供的seo工具加上关键词输入,软件会自动搜索【热词】,你可以用搜索词工具提供的采集方法,只需输入【seo技巧】就可以进行采集,这个就是采集工具的优势。注:利用工具软件不要只使用一个搜索工具,我知道的只有这一个工具,最好两个都搭配使用才会有最大的提升,要不然效果不明显。另外,如果希望搜索词出现在页面的第一页,那就要使用这个工具。
效果会更好!关键词采集工具,最热词关键词工具网站采集工具_seo软文采集软件_关键词采集器网站采集工具下载_网站采集工具下载软件|常用网站采集软件网站关键词工具_不用下载软件的网站抓取工具网站采集工具|网站关键词监控工具上面介绍的三个工具不知道对你有没有用,如果没有用请立刻删除,工具软件每天都在被采集,又不能仅用软件进行采集,但是还是会有些词没有收录,或者你收录的词在软件里没有搜索出来,那就利用工具软件,网站新闻列表采集工具,每天花点时间收集,坚持一个月以上,就可以使用上面三个工具工具采集更多更好的词。
如果大家对用网站抓取工具,seo软文排名效果不明显,可以使用我写的这个抓取工具,能比他人采集更多更好的词,效果会更好。搜索:或者是.备注:纯手动抓取微信公众号“话术宝社”,可以获得网站搜索引擎更多内容!。
自动关键词采集(网页上的定义第一级任务设置动作说明(一)_采集内容)
采集交流 • 优采云 发表了文章 • 0 个评论 • 155 次浏览 • 2021-10-12 10:28
•采集内容:新闻链接、标题、摘要、时间
在下面输入详细的步骤描述。
1. 定义第一级任务:设置动作
1.1 打开网页
打开采集器数据管理器,输入人民网搜索网址,加载网页。点击浏览器左上角的“+”,进入定义任务状态。
1.2 只标记一个你想要采集的内容
一级任务虽然不做实际的爬虫工作,但是为了让爬虫正常工作,任务中至少需要有一个爬取内容。我们在网页上使用“新闻”一词作为抓取内容。
双击“新闻”,输入如下图所示的字段名和表名。(视觉标记的详细操作请参考“采集网页数据”)
1.3 设置动作
这里我们主要关注第一个“输入”动作,第二个动作“点击”。
1.3.1 第一个动作:输入动作
在工作台上点击“4”进入“设置动作”,点击“新建”按钮新建一个动作。
执行后执行:目标任务是二级任务。本例中二级任务名称为:教程_人民网搜索_Grab
动作类型:第一个动作是输入,所以选择输入
动作名称:给动作起一个名字,以便以后检查,如:输入
交互位置:这是操作的难点。找出动作位置的 xpath 并将其复制到此处。这样爬虫就知道往哪里移动。如何找到动作的xpath?
我们现在要做的是输入动作。交互位置是搜索输入框,在网页上点击,下方的DOM窗口对应一个节点。
如下图操作,点击“Generate xpath”,因为这个节点有一个非常特殊的id属性,所以选择partial id。
生成xpath后,点击xpath后面的搜索按钮,查看这个xpath对应的节点数。本例中为1/1,表示它只对应一个节点,并且是唯一的,可以用来判断动作的位置。(如果是1/2,表示对应两个节点,当前节点就是其中一个,但是在这个例子中,只有一个位置我们需要输入actions,说明这个xpath不适合并且需要单独选择)。确认xpath后,将其复制到操作设置中。
输入单词:输入你要搜索的关键词,例如输入:virus;; 种族,这意味着首先采集 病毒新闻,然后是采集 种族新闻。
延迟:考虑到加载网页所需的时间,最好设置一点延迟时间。这个网页加载速度更快,可以设置为5s。
设置输入操作后的第一个操作在工作台上如下所示:
1.3.2 设置第二个动作:点击动作
点击新建设置第二个动作:点击动作
如何找到搜索点击动作的xpath?
单击操作设置后,工作台如下所示:
这样,我们就完成了两个动作的设置,完成了一级任务。
1.3.3 一级任务测试,保存
下图不是这个例子的图片,但是按钮的位置是一样的。
点击“保存”按钮保存已完成的一级任务
现在,只保存一级任务,不要启动采集,因为我们还没有完成二级任务。
2. 退出一级任务定义状态
在定义二级任务之前,必须先退出一级任务定义状态。
3.定义二级任务
3.1 加载网页并进入定义的任务状态
在网页上输入关键词,搜索结果出来后,再次点击“+”进入任务定义模式。
输入任务名称,在一级任务的动作设置中填写动作后要执行的任务:教程_人民网搜索_Grab。
3.2 对网页做采集任务
此网页上的每条新闻都是一个样本。在每个样本中,要成为采集的信息包括:标题、内容摘要、链接和时间。限于篇幅,这里就不一一解释了。可以参考教程“采集List Data”。每个新闻条目相当于本教程中的一个产品。如需翻页,请参考教程“翻页设置”。采集新闻详情请参考教程《深入采集》。
二级任务完成后,测试保存。
4.开始采集
对于连续动作任务采集,只需启动一级任务,爬虫会自动调用二级任务。
首先,进入任务管理页面。
在任务管理页面,选择一级任务,点击开始,线索数为1(因为本例中一级任务只有1条线索),以结束采集为尽快得到采集的结果,有限翻页,只有采集5页。
上图中点击OK后,爬虫会弹出采集窗口,启动采集数据。可以观察到,在采集窗口中,搜索词和点击搜索自动加载,搜索结果页面自动加载,该页面的数据为采集。
采集 完成后根据提示点击导出Excel数据,然后进入二级任务的数据管理下载数据。
所以,流程就是启动一级任务,到二级任务去下载数据。
下图是来自采集的数据截图。搜索到的关键词默认记录在二级任务结果数据的actionvalue字段中。
第一部分文章:《极速客网络爬虫的核心名词》第二部分文章:《自动点击京东商品规格采集价格数据》 查看全部
自动关键词采集(网页上的定义第一级任务设置动作说明(一)_采集内容)
•采集内容:新闻链接、标题、摘要、时间
在下面输入详细的步骤描述。
1. 定义第一级任务:设置动作
1.1 打开网页
打开采集器数据管理器,输入人民网搜索网址,加载网页。点击浏览器左上角的“+”,进入定义任务状态。

1.2 只标记一个你想要采集的内容
一级任务虽然不做实际的爬虫工作,但是为了让爬虫正常工作,任务中至少需要有一个爬取内容。我们在网页上使用“新闻”一词作为抓取内容。
双击“新闻”,输入如下图所示的字段名和表名。(视觉标记的详细操作请参考“采集网页数据”)

1.3 设置动作
这里我们主要关注第一个“输入”动作,第二个动作“点击”。
1.3.1 第一个动作:输入动作
在工作台上点击“4”进入“设置动作”,点击“新建”按钮新建一个动作。

执行后执行:目标任务是二级任务。本例中二级任务名称为:教程_人民网搜索_Grab
动作类型:第一个动作是输入,所以选择输入
动作名称:给动作起一个名字,以便以后检查,如:输入
交互位置:这是操作的难点。找出动作位置的 xpath 并将其复制到此处。这样爬虫就知道往哪里移动。如何找到动作的xpath?
我们现在要做的是输入动作。交互位置是搜索输入框,在网页上点击,下方的DOM窗口对应一个节点。
如下图操作,点击“Generate xpath”,因为这个节点有一个非常特殊的id属性,所以选择partial id。

生成xpath后,点击xpath后面的搜索按钮,查看这个xpath对应的节点数。本例中为1/1,表示它只对应一个节点,并且是唯一的,可以用来判断动作的位置。(如果是1/2,表示对应两个节点,当前节点就是其中一个,但是在这个例子中,只有一个位置我们需要输入actions,说明这个xpath不适合并且需要单独选择)。确认xpath后,将其复制到操作设置中。

输入单词:输入你要搜索的关键词,例如输入:virus;; 种族,这意味着首先采集 病毒新闻,然后是采集 种族新闻。
延迟:考虑到加载网页所需的时间,最好设置一点延迟时间。这个网页加载速度更快,可以设置为5s。
设置输入操作后的第一个操作在工作台上如下所示:

1.3.2 设置第二个动作:点击动作
点击新建设置第二个动作:点击动作

如何找到搜索点击动作的xpath?

单击操作设置后,工作台如下所示:

这样,我们就完成了两个动作的设置,完成了一级任务。
1.3.3 一级任务测试,保存
下图不是这个例子的图片,但是按钮的位置是一样的。

点击“保存”按钮保存已完成的一级任务
现在,只保存一级任务,不要启动采集,因为我们还没有完成二级任务。
2. 退出一级任务定义状态
在定义二级任务之前,必须先退出一级任务定义状态。

3.定义二级任务
3.1 加载网页并进入定义的任务状态
在网页上输入关键词,搜索结果出来后,再次点击“+”进入任务定义模式。
输入任务名称,在一级任务的动作设置中填写动作后要执行的任务:教程_人民网搜索_Grab。

3.2 对网页做采集任务
此网页上的每条新闻都是一个样本。在每个样本中,要成为采集的信息包括:标题、内容摘要、链接和时间。限于篇幅,这里就不一一解释了。可以参考教程“采集List Data”。每个新闻条目相当于本教程中的一个产品。如需翻页,请参考教程“翻页设置”。采集新闻详情请参考教程《深入采集》。
二级任务完成后,测试保存。
4.开始采集
对于连续动作任务采集,只需启动一级任务,爬虫会自动调用二级任务。
首先,进入任务管理页面。

在任务管理页面,选择一级任务,点击开始,线索数为1(因为本例中一级任务只有1条线索),以结束采集为尽快得到采集的结果,有限翻页,只有采集5页。


上图中点击OK后,爬虫会弹出采集窗口,启动采集数据。可以观察到,在采集窗口中,搜索词和点击搜索自动加载,搜索结果页面自动加载,该页面的数据为采集。
采集 完成后根据提示点击导出Excel数据,然后进入二级任务的数据管理下载数据。


所以,流程就是启动一级任务,到二级任务去下载数据。
下图是来自采集的数据截图。搜索到的关键词默认记录在二级任务结果数据的actionvalue字段中。

第一部分文章:《极速客网络爬虫的核心名词》第二部分文章:《自动点击京东商品规格采集价格数据》
自动关键词采集(一个的搜索量大,可能就是在你的网站上面)
采集交流 • 优采云 发表了文章 • 0 个评论 • 148 次浏览 • 2021-10-10 19:43
根据关键词自动采集图片工具,如图:我在网上搜索了关键词,发现这些关键词都有关键词 ,这些关键词虽然能用的不多,但是有的还是不错的,所以如果一个关键词可以用这个工具做的话,可以直接用关键词工具,这些可以直接是的,但是有一个关键词,也就是我们可以用工具找到,我们可以找到,如图: 所以,我们可以通过工具找到这些关键词,看,我们的关键词排名情况,如图: 我们可以看到,如图:这个关键词的搜索量很大。这时候我们关键词在搜索引擎的排名,有没有人搜索?,说明这些关键词的搜索量很大,而这些关键词的搜索量很大。如果你的网站在之前的排名中相当大,那么,这些关键词的搜索量很大,可能在你的网站上,这些关键词很有竞争力,这些关键词的搜索量很大,所以,我们可以用这些关键词来做一个网站的seo优化工具,但是很明显关键词,那些< @关键词没有被搜索到,所以我们要在搜索引擎上输入关键词的关键词,可以搜索到一个关键词,可以看到一个关键词 ,我们可以用它的关键词工具进行查询,比如图片,我的站点,可以看到这样一个关键词,如图:可以看到收录的数量在这个网站上很高,那么我们可以查询这些关键词 相关搜索,
根据关键词自动采集图片工具
第二点:图文结合是很重要的一点。带有图片和文字的搜索引擎不喜欢图片。因为图片有一定的相关性,所以我们在选择图片和文字时要注意。相关性,从而保证搜索引擎蜘蛛结合图片和文字的爬行习惯,从而保证图片和文字的价值。这是图文结合。做好图片搜索引擎优化是一项重要的工作。如果图片没有出现在图片搜索引擎收录,那么图片收录就不用说了,所以当我们用文字更新图片的时候,就可以把文字和图片结合起来做成文字,而且图片还可以让蜘蛛爬更多的图文结合,让蜘蛛可以更多地了解我们图片的主题,可以有效改善蜘蛛的爬行习惯,让蜘蛛在爬取我们的图片文章时,更多地了解了我们网站的内容,并且也会给网站带来一些流量。这对于图片和文字来说都是一项重要的工作。在图片和文字中,可以适当穿插图片来引导,这也有助于我们在搜索引擎中的排名效果。
第一点:图片优化 图片可以帮助我们更好的优化我们 查看全部
自动关键词采集(一个的搜索量大,可能就是在你的网站上面)
根据关键词自动采集图片工具,如图:我在网上搜索了关键词,发现这些关键词都有关键词 ,这些关键词虽然能用的不多,但是有的还是不错的,所以如果一个关键词可以用这个工具做的话,可以直接用关键词工具,这些可以直接是的,但是有一个关键词,也就是我们可以用工具找到,我们可以找到,如图: 所以,我们可以通过工具找到这些关键词,看,我们的关键词排名情况,如图: 我们可以看到,如图:这个关键词的搜索量很大。这时候我们关键词在搜索引擎的排名,有没有人搜索?,说明这些关键词的搜索量很大,而这些关键词的搜索量很大。如果你的网站在之前的排名中相当大,那么,这些关键词的搜索量很大,可能在你的网站上,这些关键词很有竞争力,这些关键词的搜索量很大,所以,我们可以用这些关键词来做一个网站的seo优化工具,但是很明显关键词,那些< @关键词没有被搜索到,所以我们要在搜索引擎上输入关键词的关键词,可以搜索到一个关键词,可以看到一个关键词 ,我们可以用它的关键词工具进行查询,比如图片,我的站点,可以看到这样一个关键词,如图:可以看到收录的数量在这个网站上很高,那么我们可以查询这些关键词 相关搜索,
根据关键词自动采集图片工具
第二点:图文结合是很重要的一点。带有图片和文字的搜索引擎不喜欢图片。因为图片有一定的相关性,所以我们在选择图片和文字时要注意。相关性,从而保证搜索引擎蜘蛛结合图片和文字的爬行习惯,从而保证图片和文字的价值。这是图文结合。做好图片搜索引擎优化是一项重要的工作。如果图片没有出现在图片搜索引擎收录,那么图片收录就不用说了,所以当我们用文字更新图片的时候,就可以把文字和图片结合起来做成文字,而且图片还可以让蜘蛛爬更多的图文结合,让蜘蛛可以更多地了解我们图片的主题,可以有效改善蜘蛛的爬行习惯,让蜘蛛在爬取我们的图片文章时,更多地了解了我们网站的内容,并且也会给网站带来一些流量。这对于图片和文字来说都是一项重要的工作。在图片和文字中,可以适当穿插图片来引导,这也有助于我们在搜索引擎中的排名效果。
第一点:图片优化 图片可以帮助我们更好的优化我们
自动关键词采集(自动关键词采集器如何自动添加其他的搜索标题?)
采集交流 • 优采云 发表了文章 • 0 个评论 • 164 次浏览 • 2021-10-09 01:04
自动关键词采集器是为电商卖家采集自动添加或编辑标题以及选取长尾关键词的软件,我们把关键词采集器放到软件的每个工具上面,它自动会根据我们写的标题进行搜索关键词,如果我们标题里面有我们要搜的关键词,它就会自动添加到我们采集的那个关键词里面去,而且它不仅可以搜到标题里面包含的产品还可以搜到其他的产品,而且关键词采集器不仅仅可以搜到标题里面包含的产品还可以搜到其他的产品。
很多卖家也遇到一个问题就是我们写的标题不一定对应到关键词里面去,或者我们的标题里没有关键词里面包含的产品,但是他输入的关键词一样能搜到,这个时候我们该怎么办?那么我们能不能自动添加其他的关键词来搜索这个标题呢?答案是肯定的,关键词采集器能够自动推荐关键词,也就是说我们只要把我们的标题写成和关键词里面包含的产品有一样的关键词,我们就能搜到这个产品了,所以说关键词采集器能够自动搜索关键词,让我们能够采集一些类似的产品。上架采集器按关键词搜索长尾词。
我也最近在找卖家运营培训网站,就在卖家运营培训网站搜了一下,发现他们有相关的介绍,感觉挺靠谱的,希望他们也能够帮助到大家。
黄金眼卖家运营培训网址,
求出一个书单, 查看全部
自动关键词采集(自动关键词采集器如何自动添加其他的搜索标题?)
自动关键词采集器是为电商卖家采集自动添加或编辑标题以及选取长尾关键词的软件,我们把关键词采集器放到软件的每个工具上面,它自动会根据我们写的标题进行搜索关键词,如果我们标题里面有我们要搜的关键词,它就会自动添加到我们采集的那个关键词里面去,而且它不仅可以搜到标题里面包含的产品还可以搜到其他的产品,而且关键词采集器不仅仅可以搜到标题里面包含的产品还可以搜到其他的产品。
很多卖家也遇到一个问题就是我们写的标题不一定对应到关键词里面去,或者我们的标题里没有关键词里面包含的产品,但是他输入的关键词一样能搜到,这个时候我们该怎么办?那么我们能不能自动添加其他的关键词来搜索这个标题呢?答案是肯定的,关键词采集器能够自动推荐关键词,也就是说我们只要把我们的标题写成和关键词里面包含的产品有一样的关键词,我们就能搜到这个产品了,所以说关键词采集器能够自动搜索关键词,让我们能够采集一些类似的产品。上架采集器按关键词搜索长尾词。
我也最近在找卖家运营培训网站,就在卖家运营培训网站搜了一下,发现他们有相关的介绍,感觉挺靠谱的,希望他们也能够帮助到大家。
黄金眼卖家运营培训网址,
求出一个书单,
自动关键词采集(基于大数据的政策采集、清洗及自动精准推送的方法)
采集交流 • 优采云 发表了文章 • 0 个评论 • 143 次浏览 • 2021-09-29 00:16
1. 本发明属于计算机应用技术领域,具体涉及一种基于大数据的策略采集,一种清洗和自动准确推送的方法。
背景技术:
2. 企业的发展必须广泛了解国家和地方的相应政策和行业协会的要求,从而遵守国家法律制度,了解行业运行规则,充分利用政策红利,做大做强企业主体,提高公司市场竞争力,为企业发展保驾护航。
3.随着《优化营商环境条例》的正式实施,在政策服务方面,明确指出政府部门要不断完善政策措施,落实惠企惠人才政策。优惠政策虽然种类繁多,但各项政策相对分散、适用条件不同、信息不对称等问题,导致很多企业和人才错失良策,得不到真正的支持。政策成了摆设,让企业、人才颇为失望。为完成政策服务“最后一公里”,让更多企业和人才获得政策红利,如何真正从海量数据中释放政策红利,解决后顾之忧,让企业获得更多优惠。知足创新、专攻创业的人才已成为信息技术处理领域的重要研究方向。
技术实现要素:
4. 针对上述精准策略推送的计算问题,本发明提出一种设计合理、方法简单、操作方便、可实现精准推送的基于大数据的策略。政策到相应企业采集,清洗和自动准确推送方法。
5.为了实现上述目的,本发明采用的技术方案是本发明提供了一种基于大数据的策略采集,一种清洗和自动准确推送的方法,包括以下有效步骤:
6.一个。首先根据以往政府政策的内容提取关键词,构建关键词集合,其中关键词集合包括主题关键词集合和约束关键词放;
7. b. 在初始地址url种子集中添加相关政府网站;
8.c. 使用主题关键词中的关键词组成主题爬虫。从初始地址url种子集开始,分析爬取网页的主题相关性,将与主题相关的网页存储到数据库中间;
9.d。分析数据库中网页的文本内容,根据约束集合关键词中的关键词提取收录关键词的句子;
10.e。根据约束关键词集分析提取的收录关键词的句子,得到关键约束属性集;
11.f. 根据约束关键词集,构造收录企业信息的企业推荐属性集;
12.g。将获取的关键约束属性集与公司推荐属性集进行一一比较,确认只有公司推荐属性集中的所有属性与关键约束属性集中的所有约束属性匹配。然后将收录该关键约束属性集的网页推送给企业。
13. 作为偏好,在步骤c中,当网络爬虫爬取url种子集中的网页时,先搜索一个
查看种子页面中的所有链接,然后搜索下一层的所有链接,然后返回下一层进行搜索,直到底层。
14. 作为偏好,步骤d包括以下有效步骤:
15.d1、 先选择合适的分隔符,将网页文本内容的句子分成句子集p={s1,...s
n
},其中n是句子总数;
16.d2、 然后对每个句子进行切分得到当前句子的切分集 si={w
i1
,..., w
我是
},其中m为当前句子切分集中的总词数;
17.d3、 根据公式:
18.ass(k,si)=||
19.其中,ass(kw,si)为关键词与当前句子的相关度;提取收录关键词的句子。
20. 优选地,关键约束属性集和企业推荐属性集均包括属性名称和属性值。
21. 作为偏好,在步骤g中,根据杜威十进制分类法的特点,确定企业推荐属性集的关键约束属性集和领域属性。
22. 作为偏好,在约束关键词集合中寻找关键词的分类号,根据杜威十进制分类方法寻找企业推荐属性集,然后使用杜威十进制分类方法关键词以数的长度为x轴,以关键词分类数为y轴,对应关键词的杜威十进制分类数关键约束属性集和企业推荐属性集绘制在二维坐标上。如果企业推荐属性集中关键词形成的点与关键约束属性集中的关键词点接近或重合,则判断域属性匹配成功,
23.与现有技术相比,本发明的优点和积极效果是:
24.1、 本发明提供了一种基于大数据的策略采集,一种清洗和自动准确推送的方法,根据策略文档的特点,整理出相应的关键词 ,然后利用网络爬虫抓取相关政策文件并分析政策文件,结合公司基本信息形成信息匹配,进而实现公司政策的精准推送,解决最后一公里问题为公司。更多的企业和人才将获得政策红利。同时,本发明方法简单,操作方便,适合大规模推广使用。
详细方法
2 5. 为了更清楚地理解本发明的上述目的、特征和优点,下面结合实施例对本发明作进一步说明。需要说明的是,在不冲突的情况下,本技术实施例及实施例中的特征可以相互组合。
26. 在以下描述中,为了充分理解本发明,解释了许多具体细节。然而,本发明也可以以不同于这里描述的其他方式实施。因此,本发明并不限于以下公开的说明书中具体实施例的限定。
27.实施例1,本实施例提供了一种基于大数据的策略采集清洗和自动精准推送的方法
28. 首先根据以往政府政策的内容提取关键词,构建关键词的集合,网站的爬取主要利用网络爬虫进行爬取,现有网络爬虫有两种,一种是通用的网络爬虫,一种是基于主题的网络爬虫。与通用的网络爬虫相比,基于主题的网络爬虫更具针对性,而基于主题的网络爬虫则需要对应的主题。为此,在构建主题时,首先要根据策略先前发布的策略内容确定主题。据分析,对于申报类政策,正文中收录了“申报条件”的要求。因此,“声明条件”可以用作 关键词 之一。此外,
示范中心、“省级实验室”、“国家实验室”等申报政策,这些名称都可以作为专题网络爬虫抓取的专题关键词。
29.考虑到现有的文本摘要技术主要是利用大量的词出现在文本中,得到相应的关键词,在声明类别的声明条件中,出现的词是通常这是一次性的。为此,使用此类技术无法实现对政策的解释。为此,根据之前的策略声明要求,可以形成关键词,这样关键词@可以使用这种类型>,提取所需的声明条件。为此,根据政府以往政策文件的要求可以生成的关键词集合包括主题关键词设置为主题网络爬虫搜索和实现关键词
30.由于政府政策发布,在其他一些外网的网站上可以看到类似的文档,导致基于主题的网络爬虫根据主题爬取网站也会爬许多重复的文件。考虑到政府网站在发布相关政策要求时只会发布一次,于是将政府相关的网站添加到基于主题的网络爬虫中。初始地址url种子集可以避免大量重复文本的出现,从而免去重复计算,保留带宽,为快速筛选提供保障。考虑到申报类政策往往有县级、市级政策级、省级、国家级要求。为此原因,
3 1. 然后,利用主题关键词中的关键词,形成一个主题爬虫。从初始地址url种子集出发,分析爬取网页的主题相关性,将与主题相关的网页存储到数据库中,在本实施例中,考虑到政策往往发布在政府的第一个网站,为此,为了避免过度爬取,本实施例采用如下策略爬取:
32.表示网络爬虫在爬取url种子集中的网页时,首先搜索一个种子网页中的所有链接,然后搜索下一层的所有链接。下一层所有链接搜索完成后,返回进行下一层搜索,直到下一层。简单来说,假设政府网站a在b、c、d的主页上有3个链接,链接b、e、f下有2个链接,f下链接、g链接、链接c 下面的链接有h和i两个链接,d是我们需要查找的声明策略链接,基于主题的网络爬虫按照a、b、c、d、e、f的顺序进行, h, i, g 搜索,这种搜索可以保证对浅页面的及时处理,从而保证政策文件的快速查找,
3 3.存储爬虫检索到的网站后,需要对网页的文本进行解释。前面提到过,在普通文档中,声明要求中出现的词汇是通用的,只会出现一次而不是多次。一般出现较多的词是关键词主题的关键词。为此,为了更好地解读文献中的“举报条件”,在本实施例中,首先将原创网页结构过滤掉html标签、版本等信息后,提取正文信息,并然后选择合适的分隔符,将网页文本内容的句子划分为句子集p ={s1,...s
n
},其中n是句子的总数。考虑到保单相关文件中不会出现“?”等标点符号。和“!”,因此,在本实施例中,“。” 用作分隔符来造句。
34. 然后把每个句子分成词。分词可以使用现有的分词器完成。目前市场上常见的分词器有基于哈希表的词典机制和基于特里索引树的词典机制。以及基于python实现的trie数结构的jieba分词,这三种分词都可以满足分词的需要。因此,可以使用任何分词。本实施例采用基于python实现的trie数结构。jieba 分词,这样,得到
当前句子的分词集 si={w
i1
,..., w
我是
},其中m是当前句子切分集中的总词数。
35. 最后根据公式:ass(k,si)=||,其中ass(kw,si)为关键词与当前句子的相关度,k为约束关键词集合,提取收录关键词的句子,这样就提取集合中与约束关键词关键词相关的每一个句子,就是一个收录声明条件内容的策略文本被提取出来,以方便声明条件的确认。
3 6.提取的申报条件需要分析这些内容。目前可以采用textrank关键词提取技术,将关键词对的约束关键词集合对提取收录关键词的句子进行分析,得到关键约束属性集,textrank根据setconstraint关键词集合的选词窗口截取文本的分词结果,将每个词作为候选关键词图的一个节点截取每个段落中的词的文本作为相邻边来构建候选关键词图。然后,利用pagerank思想循环迭代候选关键词图,将每个节点的权重初始化为1.0f,待迭代次数稳定后,
3 7.也可以基于lda结合d2v模型算法进行训练,得到策略文本中心的关键约束属性集。在本实施例中,关键约束属性集是指政策文件中收录的属性名称。例如,在高新技术企业的申报条件中,其财务需求是保持销售收入和总资产的增长。企业,则其属性名称为销售收入,属性值为近三年增长率。
38. 同样,本实施例的主要目的是将相关政策推送给符合上报要求的公司。然后,您需要了解公司的基本信息。为此,需要遵循之前的策略,即约束关键词集构造了收录企业信息的企业推荐属性集,企业的推荐属性集也是根据属性名称设置的和属性值。即企业的推荐属性集包括多个信息属性,每个信息属性形成一个集合。该集合至少包括两个属性:属性名称和属性值。当然,属性名和属性值是最基本的两个。
39.因为在一些项目的申报中,申报领域是有限的。因此,企业是否符合申报领域也是一票否决的关键问题。为此,根据国际通用的杜威十进制分类方法确定企业的约束属性集和推荐属性集的领域属性。杜威十进制分类法是根据17世纪英国哲学家培根的知识分类思想,将人类知识分为记忆(历史)、想象(艺术和文学)和理性(哲学,即科学),并排列将它们倒置扩大为 10 类,这也是当前申报政策文件中常用的。通过这种方式,可以判断企业的领域是否符合申报领域的要求。具体操作如下:
4 0. 首先根据杜威十进制分类法,求出约束关键词集和企业推荐属性集关键词的分类号;
41. 然后以杜威十进制分类数关键词的长度为x轴,以关键词分类数为y轴,把key约束属性集将企业推荐属性设置为关键词对应的杜威十进制分类号,在二维坐标中绘制对应点。如果企业推荐属性集中关键词形成的点与关键约束属性集中的关键词点接近或重合,则判断域属性匹配成功。如果距离较远,则域属性匹配不成功。这种分配方式可以避免与关键词无关的噪音,提高预测企业领域和报告需求的准确性,
42.解释申报条件后,需要实现精准推送。为此,本实施例采用如下算法进行精准推送:
43. 首先将得到的关键约束属性集与公司推荐的属性集进行比较,得到关键约束属性集
它由若干个约束{c1,c2,...cn}组成,相同类型的属性名是唯一确定的,关键约束属性集的约束关系是联合关系,这样只有所有的属性在属性集由公司推荐 只有当关键约束属性集中的所有约束属性都匹配成功时,才能满足声明条件。为此,可以将收录该关键约束属性集的网页推送给企业。
44. 通过以上设置,有效实现了申报政策的精准推送,打通了政策服务的“最后一公里”,让更多的企业和人才获得了政策红利。
45. 以上所述仅为本发明的优选实施例而已,并不用于以其他形式限制本发明。任何熟悉本行业的人员均可利用上述公开的技术内容进行更改或修改。等同变化的等效实施例适用于其他领域,但凡基于本发明技术实质对上述实施例所做的简单修改、等同变化和变型本发明在不脱离本发明技术方案内容的情况下,仍属于本发明技术。方案的保护范围。 查看全部
自动关键词采集(基于大数据的政策采集、清洗及自动精准推送的方法)
1. 本发明属于计算机应用技术领域,具体涉及一种基于大数据的策略采集,一种清洗和自动准确推送的方法。
背景技术:
2. 企业的发展必须广泛了解国家和地方的相应政策和行业协会的要求,从而遵守国家法律制度,了解行业运行规则,充分利用政策红利,做大做强企业主体,提高公司市场竞争力,为企业发展保驾护航。
3.随着《优化营商环境条例》的正式实施,在政策服务方面,明确指出政府部门要不断完善政策措施,落实惠企惠人才政策。优惠政策虽然种类繁多,但各项政策相对分散、适用条件不同、信息不对称等问题,导致很多企业和人才错失良策,得不到真正的支持。政策成了摆设,让企业、人才颇为失望。为完成政策服务“最后一公里”,让更多企业和人才获得政策红利,如何真正从海量数据中释放政策红利,解决后顾之忧,让企业获得更多优惠。知足创新、专攻创业的人才已成为信息技术处理领域的重要研究方向。
技术实现要素:
4. 针对上述精准策略推送的计算问题,本发明提出一种设计合理、方法简单、操作方便、可实现精准推送的基于大数据的策略。政策到相应企业采集,清洗和自动准确推送方法。
5.为了实现上述目的,本发明采用的技术方案是本发明提供了一种基于大数据的策略采集,一种清洗和自动准确推送的方法,包括以下有效步骤:
6.一个。首先根据以往政府政策的内容提取关键词,构建关键词集合,其中关键词集合包括主题关键词集合和约束关键词放;
7. b. 在初始地址url种子集中添加相关政府网站;
8.c. 使用主题关键词中的关键词组成主题爬虫。从初始地址url种子集开始,分析爬取网页的主题相关性,将与主题相关的网页存储到数据库中间;
9.d。分析数据库中网页的文本内容,根据约束集合关键词中的关键词提取收录关键词的句子;
10.e。根据约束关键词集分析提取的收录关键词的句子,得到关键约束属性集;
11.f. 根据约束关键词集,构造收录企业信息的企业推荐属性集;
12.g。将获取的关键约束属性集与公司推荐属性集进行一一比较,确认只有公司推荐属性集中的所有属性与关键约束属性集中的所有约束属性匹配。然后将收录该关键约束属性集的网页推送给企业。
13. 作为偏好,在步骤c中,当网络爬虫爬取url种子集中的网页时,先搜索一个
查看种子页面中的所有链接,然后搜索下一层的所有链接,然后返回下一层进行搜索,直到底层。
14. 作为偏好,步骤d包括以下有效步骤:
15.d1、 先选择合适的分隔符,将网页文本内容的句子分成句子集p={s1,...s
n
},其中n是句子总数;
16.d2、 然后对每个句子进行切分得到当前句子的切分集 si={w
i1
,..., w
我是
},其中m为当前句子切分集中的总词数;
17.d3、 根据公式:
18.ass(k,si)=||
19.其中,ass(kw,si)为关键词与当前句子的相关度;提取收录关键词的句子。
20. 优选地,关键约束属性集和企业推荐属性集均包括属性名称和属性值。
21. 作为偏好,在步骤g中,根据杜威十进制分类法的特点,确定企业推荐属性集的关键约束属性集和领域属性。
22. 作为偏好,在约束关键词集合中寻找关键词的分类号,根据杜威十进制分类方法寻找企业推荐属性集,然后使用杜威十进制分类方法关键词以数的长度为x轴,以关键词分类数为y轴,对应关键词的杜威十进制分类数关键约束属性集和企业推荐属性集绘制在二维坐标上。如果企业推荐属性集中关键词形成的点与关键约束属性集中的关键词点接近或重合,则判断域属性匹配成功,
23.与现有技术相比,本发明的优点和积极效果是:
24.1、 本发明提供了一种基于大数据的策略采集,一种清洗和自动准确推送的方法,根据策略文档的特点,整理出相应的关键词 ,然后利用网络爬虫抓取相关政策文件并分析政策文件,结合公司基本信息形成信息匹配,进而实现公司政策的精准推送,解决最后一公里问题为公司。更多的企业和人才将获得政策红利。同时,本发明方法简单,操作方便,适合大规模推广使用。
详细方法
2 5. 为了更清楚地理解本发明的上述目的、特征和优点,下面结合实施例对本发明作进一步说明。需要说明的是,在不冲突的情况下,本技术实施例及实施例中的特征可以相互组合。
26. 在以下描述中,为了充分理解本发明,解释了许多具体细节。然而,本发明也可以以不同于这里描述的其他方式实施。因此,本发明并不限于以下公开的说明书中具体实施例的限定。
27.实施例1,本实施例提供了一种基于大数据的策略采集清洗和自动精准推送的方法
28. 首先根据以往政府政策的内容提取关键词,构建关键词的集合,网站的爬取主要利用网络爬虫进行爬取,现有网络爬虫有两种,一种是通用的网络爬虫,一种是基于主题的网络爬虫。与通用的网络爬虫相比,基于主题的网络爬虫更具针对性,而基于主题的网络爬虫则需要对应的主题。为此,在构建主题时,首先要根据策略先前发布的策略内容确定主题。据分析,对于申报类政策,正文中收录了“申报条件”的要求。因此,“声明条件”可以用作 关键词 之一。此外,
示范中心、“省级实验室”、“国家实验室”等申报政策,这些名称都可以作为专题网络爬虫抓取的专题关键词。
29.考虑到现有的文本摘要技术主要是利用大量的词出现在文本中,得到相应的关键词,在声明类别的声明条件中,出现的词是通常这是一次性的。为此,使用此类技术无法实现对政策的解释。为此,根据之前的策略声明要求,可以形成关键词,这样关键词@可以使用这种类型>,提取所需的声明条件。为此,根据政府以往政策文件的要求可以生成的关键词集合包括主题关键词设置为主题网络爬虫搜索和实现关键词
30.由于政府政策发布,在其他一些外网的网站上可以看到类似的文档,导致基于主题的网络爬虫根据主题爬取网站也会爬许多重复的文件。考虑到政府网站在发布相关政策要求时只会发布一次,于是将政府相关的网站添加到基于主题的网络爬虫中。初始地址url种子集可以避免大量重复文本的出现,从而免去重复计算,保留带宽,为快速筛选提供保障。考虑到申报类政策往往有县级、市级政策级、省级、国家级要求。为此原因,
3 1. 然后,利用主题关键词中的关键词,形成一个主题爬虫。从初始地址url种子集出发,分析爬取网页的主题相关性,将与主题相关的网页存储到数据库中,在本实施例中,考虑到政策往往发布在政府的第一个网站,为此,为了避免过度爬取,本实施例采用如下策略爬取:
32.表示网络爬虫在爬取url种子集中的网页时,首先搜索一个种子网页中的所有链接,然后搜索下一层的所有链接。下一层所有链接搜索完成后,返回进行下一层搜索,直到下一层。简单来说,假设政府网站a在b、c、d的主页上有3个链接,链接b、e、f下有2个链接,f下链接、g链接、链接c 下面的链接有h和i两个链接,d是我们需要查找的声明策略链接,基于主题的网络爬虫按照a、b、c、d、e、f的顺序进行, h, i, g 搜索,这种搜索可以保证对浅页面的及时处理,从而保证政策文件的快速查找,
3 3.存储爬虫检索到的网站后,需要对网页的文本进行解释。前面提到过,在普通文档中,声明要求中出现的词汇是通用的,只会出现一次而不是多次。一般出现较多的词是关键词主题的关键词。为此,为了更好地解读文献中的“举报条件”,在本实施例中,首先将原创网页结构过滤掉html标签、版本等信息后,提取正文信息,并然后选择合适的分隔符,将网页文本内容的句子划分为句子集p ={s1,...s
n
},其中n是句子的总数。考虑到保单相关文件中不会出现“?”等标点符号。和“!”,因此,在本实施例中,“。” 用作分隔符来造句。
34. 然后把每个句子分成词。分词可以使用现有的分词器完成。目前市场上常见的分词器有基于哈希表的词典机制和基于特里索引树的词典机制。以及基于python实现的trie数结构的jieba分词,这三种分词都可以满足分词的需要。因此,可以使用任何分词。本实施例采用基于python实现的trie数结构。jieba 分词,这样,得到
当前句子的分词集 si={w
i1
,..., w
我是
},其中m是当前句子切分集中的总词数。
35. 最后根据公式:ass(k,si)=||,其中ass(kw,si)为关键词与当前句子的相关度,k为约束关键词集合,提取收录关键词的句子,这样就提取集合中与约束关键词关键词相关的每一个句子,就是一个收录声明条件内容的策略文本被提取出来,以方便声明条件的确认。
3 6.提取的申报条件需要分析这些内容。目前可以采用textrank关键词提取技术,将关键词对的约束关键词集合对提取收录关键词的句子进行分析,得到关键约束属性集,textrank根据setconstraint关键词集合的选词窗口截取文本的分词结果,将每个词作为候选关键词图的一个节点截取每个段落中的词的文本作为相邻边来构建候选关键词图。然后,利用pagerank思想循环迭代候选关键词图,将每个节点的权重初始化为1.0f,待迭代次数稳定后,
3 7.也可以基于lda结合d2v模型算法进行训练,得到策略文本中心的关键约束属性集。在本实施例中,关键约束属性集是指政策文件中收录的属性名称。例如,在高新技术企业的申报条件中,其财务需求是保持销售收入和总资产的增长。企业,则其属性名称为销售收入,属性值为近三年增长率。
38. 同样,本实施例的主要目的是将相关政策推送给符合上报要求的公司。然后,您需要了解公司的基本信息。为此,需要遵循之前的策略,即约束关键词集构造了收录企业信息的企业推荐属性集,企业的推荐属性集也是根据属性名称设置的和属性值。即企业的推荐属性集包括多个信息属性,每个信息属性形成一个集合。该集合至少包括两个属性:属性名称和属性值。当然,属性名和属性值是最基本的两个。
39.因为在一些项目的申报中,申报领域是有限的。因此,企业是否符合申报领域也是一票否决的关键问题。为此,根据国际通用的杜威十进制分类方法确定企业的约束属性集和推荐属性集的领域属性。杜威十进制分类法是根据17世纪英国哲学家培根的知识分类思想,将人类知识分为记忆(历史)、想象(艺术和文学)和理性(哲学,即科学),并排列将它们倒置扩大为 10 类,这也是当前申报政策文件中常用的。通过这种方式,可以判断企业的领域是否符合申报领域的要求。具体操作如下:
4 0. 首先根据杜威十进制分类法,求出约束关键词集和企业推荐属性集关键词的分类号;
41. 然后以杜威十进制分类数关键词的长度为x轴,以关键词分类数为y轴,把key约束属性集将企业推荐属性设置为关键词对应的杜威十进制分类号,在二维坐标中绘制对应点。如果企业推荐属性集中关键词形成的点与关键约束属性集中的关键词点接近或重合,则判断域属性匹配成功。如果距离较远,则域属性匹配不成功。这种分配方式可以避免与关键词无关的噪音,提高预测企业领域和报告需求的准确性,
42.解释申报条件后,需要实现精准推送。为此,本实施例采用如下算法进行精准推送:
43. 首先将得到的关键约束属性集与公司推荐的属性集进行比较,得到关键约束属性集
它由若干个约束{c1,c2,...cn}组成,相同类型的属性名是唯一确定的,关键约束属性集的约束关系是联合关系,这样只有所有的属性在属性集由公司推荐 只有当关键约束属性集中的所有约束属性都匹配成功时,才能满足声明条件。为此,可以将收录该关键约束属性集的网页推送给企业。
44. 通过以上设置,有效实现了申报政策的精准推送,打通了政策服务的“最后一公里”,让更多的企业和人才获得了政策红利。
45. 以上所述仅为本发明的优选实施例而已,并不用于以其他形式限制本发明。任何熟悉本行业的人员均可利用上述公开的技术内容进行更改或修改。等同变化的等效实施例适用于其他领域,但凡基于本发明技术实质对上述实施例所做的简单修改、等同变化和变型本发明在不脱离本发明技术方案内容的情况下,仍属于本发明技术。方案的保护范围。
自动关键词采集(app开发制作,如何用竞价获取意向客户?(图))
采集交流 • 优采云 发表了文章 • 0 个评论 • 121 次浏览 • 2021-09-20 05:01
自动关键词采集软件或者可以去百度指数等网站看看用户搜的关键词,主要是去培养用户习惯,老用户搜一下关键词就会想到这个软件。准确性方面还是可以的。有时候竞价很不方便。
可以不过要看你的需求他有没有,现在做软件这块儿的还是很多的,首先确定你的需求,
根据您的app开发来判断,如果不是刚需的话,是不适合你去发布app推广的。关键词竞价,长尾关键词竞价,地域性竞价。不同的推广渠道,你的产品差别还是蛮大的。关键词还是是最基础的,前期最重要的是了解关键词的属性,对关键词进行分析和筛选,选择与你产品属性契合的关键词,不是完全相关的关键词,还是要根据你产品属性再去选择,在选择的时候要综合分析搜索趋势、词典等等情况。
如果你能解决下面的问题就可以去,例如:app开发制作,app开发制作app开发制作,这样哪些app相关的词你就可以搞到,而且app的词也就够用了。
关键词比较难搞,要有量在里面才能有收益,你要想有收益是要做大量的关键词布局,比如你做一个杀毒软件的竞价,还要竞价百度相关搜索、应用宝手机助手竞价的词,还要竞价各大应用商店的词,时间上至少要有3个月。如果app不是刚需的,没有人会特意去搜你做了没用的词,做大量的关键词布局后,你还要优化各大渠道的排名,否则很难有效果。
如果你想自己建服务器的话,你有如下这些问题。如何用竞价获取意向客户?如何使用高质量的竞价账户?如何根据账户关键词优化来获取意向客户?如何知道客户竞价意向值?..更多问题,可以到我网站私信我,实力给你解答!。 查看全部
自动关键词采集(app开发制作,如何用竞价获取意向客户?(图))
自动关键词采集软件或者可以去百度指数等网站看看用户搜的关键词,主要是去培养用户习惯,老用户搜一下关键词就会想到这个软件。准确性方面还是可以的。有时候竞价很不方便。
可以不过要看你的需求他有没有,现在做软件这块儿的还是很多的,首先确定你的需求,
根据您的app开发来判断,如果不是刚需的话,是不适合你去发布app推广的。关键词竞价,长尾关键词竞价,地域性竞价。不同的推广渠道,你的产品差别还是蛮大的。关键词还是是最基础的,前期最重要的是了解关键词的属性,对关键词进行分析和筛选,选择与你产品属性契合的关键词,不是完全相关的关键词,还是要根据你产品属性再去选择,在选择的时候要综合分析搜索趋势、词典等等情况。
如果你能解决下面的问题就可以去,例如:app开发制作,app开发制作app开发制作,这样哪些app相关的词你就可以搞到,而且app的词也就够用了。
关键词比较难搞,要有量在里面才能有收益,你要想有收益是要做大量的关键词布局,比如你做一个杀毒软件的竞价,还要竞价百度相关搜索、应用宝手机助手竞价的词,还要竞价各大应用商店的词,时间上至少要有3个月。如果app不是刚需的,没有人会特意去搜你做了没用的词,做大量的关键词布局后,你还要优化各大渠道的排名,否则很难有效果。
如果你想自己建服务器的话,你有如下这些问题。如何用竞价获取意向客户?如何使用高质量的竞价账户?如何根据账户关键词优化来获取意向客户?如何知道客户竞价意向值?..更多问题,可以到我网站私信我,实力给你解答!。
自动关键词采集(如何做googlesearchanalytics数据报告_产品经理训练营_新浪博客)
采集交流 • 优采云 发表了文章 • 0 个评论 • 123 次浏览 • 2021-09-19 18:05
自动关键词采集器kingfisher的话可以调用:/
analytics3
可以尝试尝试这个:如何做googlesearchanalytics数据报告_产品经理训练营_新浪博客
可以用,
如果有相关需求的话可以考虑amztracker。
我正准备用
binginternationalanalysis
天天淘米,
analyticssolutions有专门做数据采集的
用过一些,国内的如亿玛、天天淘米,国外的doubleclick或者analysiaes,
有了这个,想什么时候弄就什么时候弄,
--产品与行业数据分析平台,就是专门针对搜索分析做的一个应用研发商场,一般外包出去的人专门做这些东西。
类似:天天淘米分析(首页-天天淘米分析平台)
亿玛、千捷、淘米,
阿里妈妈的bi--数据入口研发平台,
beechart天天淘米
亿玛
专业好用,不用客户开发、运维,真的很赞,目前我们公司就找中立公司做,简单、效率高。后台系统与现有系统配套。可以把所有分析数据汇总在一起,非常实用。就像一个平板一样,任何行业可以轻松玩转了。
零创定制化营销分析ai方案——产品特性只需一张表格统计5万条相关指标, 查看全部
自动关键词采集(如何做googlesearchanalytics数据报告_产品经理训练营_新浪博客)
自动关键词采集器kingfisher的话可以调用:/
analytics3
可以尝试尝试这个:如何做googlesearchanalytics数据报告_产品经理训练营_新浪博客
可以用,
如果有相关需求的话可以考虑amztracker。
我正准备用
binginternationalanalysis
天天淘米,
analyticssolutions有专门做数据采集的
用过一些,国内的如亿玛、天天淘米,国外的doubleclick或者analysiaes,
有了这个,想什么时候弄就什么时候弄,
--产品与行业数据分析平台,就是专门针对搜索分析做的一个应用研发商场,一般外包出去的人专门做这些东西。
类似:天天淘米分析(首页-天天淘米分析平台)
亿玛、千捷、淘米,
阿里妈妈的bi--数据入口研发平台,
beechart天天淘米
亿玛
专业好用,不用客户开发、运维,真的很赞,目前我们公司就找中立公司做,简单、效率高。后台系统与现有系统配套。可以把所有分析数据汇总在一起,非常实用。就像一个平板一样,任何行业可以轻松玩转了。
零创定制化营销分析ai方案——产品特性只需一张表格统计5万条相关指标,
自动关键词采集(亚马逊运营中关键词免费的方式和付费方式(一))
采集交流 • 优采云 发表了文章 • 0 个评论 • 185 次浏览 • 2021-09-18 16:24
在亚马逊的运营中,关键词有多重要,这恐怕不必多说。
当你的产品上传以后,系统不会知道这是款什么样的产品,系统对你产品的识别方式,主要就是靠你嵌入的那些关键词(key words)。
所以可以这样说,你嵌入什么样的关键词,你的产品在亚马逊的眼中就是什么样子的。
关键词,就是你的产品在亚马逊平台身份识别器。
因此,能找到与自己产品相关的关键词,然后将这些关键词按照一定的优先顺序嵌入listing中,是产品上线前的最重要的工作之一。
卖家寻找关键词的方式,我今天简单分为免费的方式和付费的方式。
关键词的寻找方式很多,包括但不限于以下我所介绍的这些。
一、免费的方式
说到免费的方式,主要集中在亚马逊站内。
站内的一些地方,都可以找到搜索率较高的相关产品关键词的身影。
1、亚马逊搜索框
当你在亚马逊的搜索框输入某个关键词时,亚马逊会根据顾客搜索量的大小和匹配程度,把与这个词相关的搜索量最高的一些词推荐给你。
比如我想卖的是刀具(knife),我在亚马逊的搜索框输入“knife”,则下方会出现很多的与knife相关的关键词。
这些词是按照搜索量的大小和相关程度来综合进行排序的。
其实这里也可以看做是一个选品的灵感来源地。
当你已经注册好店铺,但是却迟迟不能确定自己想要做什么样的产品时,可以来这里寻找一下选品的灵感。
比如你想走knife刀具周边产品,那么你就会发现上面的下拉框中出现了以下关键词。
-01、knife sharpener磨刀器。
-02、knife set 刀具套装
-03、knife set with block带刀架刀具套装
-04、knife sharpeners best 最好的磨刀器
。。。。。
这里,你就可以看到在knife这个词的周边,有哪些产品是顾客最经常搜索到的关键词。
搜索量的大小,代表的就是这款产品的市场需求程度的大小。
如果你想做knife周边的产品,再依照选品的一些方法对这些产品进行下一步的筛选,可能也会选出自己中意的产品。
话题扯远了,继续关键词的话题。
2、竞品的listing页面
我们常说,向高手学习,会学到很多我们并不具备的能力。
做亚马逊也是一样,那些排在头部的产品,永远是大家学习的榜样。
就像你如果想做充电宝产品,那么anker就是你必须去深入学习的榜样。
在anker的产品listing的title、bullet points、description、Q&A、review等模块,你可以得到很多的关键词灵感。
3、广告活动推荐词
当你在创建产品的广告活动时,系统会根据你输入的词,来自动推荐一些产品的关键词。
这些关键词也是按照搜索量和相关性来综合排名的。
比如我的产品是bedding周边,输入bedding,系统会自动推荐一些主要关键词。
4、广告报表中的词
做广告的目的有很多,可以提升关键词排名、可以利用广告出单。
但是在新品期的自动广告中,最重要的一项职能,便是为手动广告组来筛选关键词。
当新品的自动广告跑了一段时间以后,我们就可以在后台下载广告报表,根据这些广告报表中的词,我们再来进行下一步手动广告的创建。
自动广告报表中的那些点击率和转化率都不错的词,一般是产品的精准关键词。
这类关键词已经经过了购买和转化的考验,是后续应该重点关注和培养的词。
5、免费关键词软件
免费关键词的软件有很多,声呐(Sonar)就是其中比较好用的一款。
打开声呐网站,我们可以看到,在搜索框的上方有三个选项。
“关键词”选项,可以根据你输入的关键词,来为你推荐与这个词重合的一些词。
比如我输入“charger”(充电器),点击“检索”,下方会显示所有带有“charger”的关键词。
这些词同样也是按照右侧的搜索热度来进行排名的。
那么,第二个“扩展词”选项,显示的结果就是与“charger”相关联的一些产品关键词。
这些关键词不一定带有“charger”,却一定是和“charger”的关联度比较高的词。
还是输入刚才的“charger”,则下方的“扩展词”出现的都是一些“数据线”、“苹果数据线”之类的词。
第三个Asin选项,则是属于查询竞争对手关键词的方式。
如果我们想查询某款产品的搜索关键词来源,则copy这个产品的asin码。
粘贴进搜索框,然后点击“检索”。
我们就可以看到这个listing的关键词的主要构成。
这款声呐软件的基础功能是永久免费的,其他的高级功能可以按照自己的需求来购买。
二、付费的方式
付费的方式主要就是利用付费软件的一些功能来查询产品的关键词。
有此类功能的软件有很多,这里就给大家简单的介绍两款。
第一款,是Merchantwords,这款软件相信老卖家和老运营都不会陌生。
早年,很多运营都说,亚马逊数据运营的三大必备软件:JS、Merchantwords、keepa。
不过现在随着软件数量的增多,大家可选择的软件种类越来越多。
Merchantwords这款软件的数据比较全面,几乎覆盖了亚马逊的主流国家站点。
第二款,介绍一下卖家精灵软件。
在卖家精灵的“关键词精灵”选项中,共提供4中关键词功能。
其中,“关键词挖掘”和“关键词反查”对于查找关键词来讲,是两个比较重要的功能。
“关键词挖掘”,是用来查找相关关键词的功能。
当你在“关键词挖掘”的搜索框输入“apple”,点击“立即查询”。
则搜索结果中就会出现有关“apple”这个词的所有相关关键词信息。
包括这些关键词的月搜索量、热度、购买量、广告竞价分析等。
“关键词反查”,是用来筛查竞品关键词信息的的功能。
你想查询哪个产品的相关关键词,就把这个产品的asin码复制到搜索框,点击“反查关键词”。
则在搜索结果中,你就可以看到这个竞品的主要关键词流量来源。
像其他的很多软件,也有相似的功能。
各个软件的功能和价格都大同小异,卖家可以根据自己的个人兴趣来进行选择。
如果想快速掌握亚马逊的运营知识,可以阅读我的亚马逊运营书籍《亚马逊跨境电商运营手册》- 京东正版图书。
下面的亚马逊运营系列文章也可以帮到你。 查看全部
自动关键词采集(亚马逊运营中关键词免费的方式和付费方式(一))
在亚马逊的运营中,关键词有多重要,这恐怕不必多说。
当你的产品上传以后,系统不会知道这是款什么样的产品,系统对你产品的识别方式,主要就是靠你嵌入的那些关键词(key words)。
所以可以这样说,你嵌入什么样的关键词,你的产品在亚马逊的眼中就是什么样子的。
关键词,就是你的产品在亚马逊平台身份识别器。
因此,能找到与自己产品相关的关键词,然后将这些关键词按照一定的优先顺序嵌入listing中,是产品上线前的最重要的工作之一。
卖家寻找关键词的方式,我今天简单分为免费的方式和付费的方式。
关键词的寻找方式很多,包括但不限于以下我所介绍的这些。
一、免费的方式
说到免费的方式,主要集中在亚马逊站内。
站内的一些地方,都可以找到搜索率较高的相关产品关键词的身影。
1、亚马逊搜索框
当你在亚马逊的搜索框输入某个关键词时,亚马逊会根据顾客搜索量的大小和匹配程度,把与这个词相关的搜索量最高的一些词推荐给你。
比如我想卖的是刀具(knife),我在亚马逊的搜索框输入“knife”,则下方会出现很多的与knife相关的关键词。

这些词是按照搜索量的大小和相关程度来综合进行排序的。
其实这里也可以看做是一个选品的灵感来源地。
当你已经注册好店铺,但是却迟迟不能确定自己想要做什么样的产品时,可以来这里寻找一下选品的灵感。
比如你想走knife刀具周边产品,那么你就会发现上面的下拉框中出现了以下关键词。
-01、knife sharpener磨刀器。
-02、knife set 刀具套装
-03、knife set with block带刀架刀具套装
-04、knife sharpeners best 最好的磨刀器
。。。。。
这里,你就可以看到在knife这个词的周边,有哪些产品是顾客最经常搜索到的关键词。
搜索量的大小,代表的就是这款产品的市场需求程度的大小。
如果你想做knife周边的产品,再依照选品的一些方法对这些产品进行下一步的筛选,可能也会选出自己中意的产品。
话题扯远了,继续关键词的话题。
2、竞品的listing页面
我们常说,向高手学习,会学到很多我们并不具备的能力。
做亚马逊也是一样,那些排在头部的产品,永远是大家学习的榜样。
就像你如果想做充电宝产品,那么anker就是你必须去深入学习的榜样。
在anker的产品listing的title、bullet points、description、Q&A、review等模块,你可以得到很多的关键词灵感。

3、广告活动推荐词
当你在创建产品的广告活动时,系统会根据你输入的词,来自动推荐一些产品的关键词。
这些关键词也是按照搜索量和相关性来综合排名的。
比如我的产品是bedding周边,输入bedding,系统会自动推荐一些主要关键词。

4、广告报表中的词
做广告的目的有很多,可以提升关键词排名、可以利用广告出单。
但是在新品期的自动广告中,最重要的一项职能,便是为手动广告组来筛选关键词。
当新品的自动广告跑了一段时间以后,我们就可以在后台下载广告报表,根据这些广告报表中的词,我们再来进行下一步手动广告的创建。

自动广告报表中的那些点击率和转化率都不错的词,一般是产品的精准关键词。
这类关键词已经经过了购买和转化的考验,是后续应该重点关注和培养的词。
5、免费关键词软件
免费关键词的软件有很多,声呐(Sonar)就是其中比较好用的一款。
打开声呐网站,我们可以看到,在搜索框的上方有三个选项。

“关键词”选项,可以根据你输入的关键词,来为你推荐与这个词重合的一些词。
比如我输入“charger”(充电器),点击“检索”,下方会显示所有带有“charger”的关键词。

这些词同样也是按照右侧的搜索热度来进行排名的。
那么,第二个“扩展词”选项,显示的结果就是与“charger”相关联的一些产品关键词。
这些关键词不一定带有“charger”,却一定是和“charger”的关联度比较高的词。
还是输入刚才的“charger”,则下方的“扩展词”出现的都是一些“数据线”、“苹果数据线”之类的词。

第三个Asin选项,则是属于查询竞争对手关键词的方式。
如果我们想查询某款产品的搜索关键词来源,则copy这个产品的asin码。
粘贴进搜索框,然后点击“检索”。

我们就可以看到这个listing的关键词的主要构成。
这款声呐软件的基础功能是永久免费的,其他的高级功能可以按照自己的需求来购买。
二、付费的方式
付费的方式主要就是利用付费软件的一些功能来查询产品的关键词。
有此类功能的软件有很多,这里就给大家简单的介绍两款。
第一款,是Merchantwords,这款软件相信老卖家和老运营都不会陌生。
早年,很多运营都说,亚马逊数据运营的三大必备软件:JS、Merchantwords、keepa。
不过现在随着软件数量的增多,大家可选择的软件种类越来越多。
Merchantwords这款软件的数据比较全面,几乎覆盖了亚马逊的主流国家站点。

第二款,介绍一下卖家精灵软件。
在卖家精灵的“关键词精灵”选项中,共提供4中关键词功能。

其中,“关键词挖掘”和“关键词反查”对于查找关键词来讲,是两个比较重要的功能。
“关键词挖掘”,是用来查找相关关键词的功能。
当你在“关键词挖掘”的搜索框输入“apple”,点击“立即查询”。

则搜索结果中就会出现有关“apple”这个词的所有相关关键词信息。
包括这些关键词的月搜索量、热度、购买量、广告竞价分析等。

“关键词反查”,是用来筛查竞品关键词信息的的功能。
你想查询哪个产品的相关关键词,就把这个产品的asin码复制到搜索框,点击“反查关键词”。

则在搜索结果中,你就可以看到这个竞品的主要关键词流量来源。

像其他的很多软件,也有相似的功能。
各个软件的功能和价格都大同小异,卖家可以根据自己的个人兴趣来进行选择。
如果想快速掌握亚马逊的运营知识,可以阅读我的亚马逊运营书籍《亚马逊跨境电商运营手册》- 京东正版图书。
下面的亚马逊运营系列文章也可以帮到你。
自动关键词采集(自动网络探索评论情况,自动生成评论,智能评论机器人)
采集交流 • 优采云 发表了文章 • 0 个评论 • 272 次浏览 • 2021-09-17 11:08
自动关键词采集器,
想找一些卖劣质仿品的,
我知道一个能很好的解决你这个问题的app,但是需要注册,不过注册完以后我推荐你去试一下我的线报群,它可以把线报群转变成分享群,在分享群里一些售价高的商品,相对于原价降低很多,一分一毛看得见。
查啊评论机器人!!自动网络探索评论情况,自动生成评论,自动编辑评论文案,自动发表评论,回复后自动生成二维码,扫描识别就能给朋友推送自己的评论!做运营的可以去试试,尤其是通过这个工具做活动,效果杠杠的。这是我去年做的运营活动,
个人有用的评论网站:1.小评论网::
最好的办法就是用软件自动查评论
可以去了解一下哪些网站有评论。
评论机器人,
e网e行这个网站你可以去了解看看
智能评论网,智能评论机器人。
闲鱼,转转这些平台上评论机器人最方便,毕竟你花钱买机器人的话,主要还是为了搜索,而不是买评论机器人。机器人都是按页面筛选的,不存在花钱买评论机器人不需要的情况,付费用户的评论、收藏加购物车、收藏等评论还可以全部展示出来,非常完美。
搜索附近,然后看有没有评论机器人,有的话对方挂评论,你点加qq然后可以转账发货等等,多试试,差不多就买了。 查看全部
自动关键词采集(自动网络探索评论情况,自动生成评论,智能评论机器人)
自动关键词采集器,
想找一些卖劣质仿品的,
我知道一个能很好的解决你这个问题的app,但是需要注册,不过注册完以后我推荐你去试一下我的线报群,它可以把线报群转变成分享群,在分享群里一些售价高的商品,相对于原价降低很多,一分一毛看得见。
查啊评论机器人!!自动网络探索评论情况,自动生成评论,自动编辑评论文案,自动发表评论,回复后自动生成二维码,扫描识别就能给朋友推送自己的评论!做运营的可以去试试,尤其是通过这个工具做活动,效果杠杠的。这是我去年做的运营活动,
个人有用的评论网站:1.小评论网::
最好的办法就是用软件自动查评论
可以去了解一下哪些网站有评论。
评论机器人,
e网e行这个网站你可以去了解看看
智能评论网,智能评论机器人。
闲鱼,转转这些平台上评论机器人最方便,毕竟你花钱买机器人的话,主要还是为了搜索,而不是买评论机器人。机器人都是按页面筛选的,不存在花钱买评论机器人不需要的情况,付费用户的评论、收藏加购物车、收藏等评论还可以全部展示出来,非常完美。
搜索附近,然后看有没有评论机器人,有的话对方挂评论,你点加qq然后可以转账发货等等,多试试,差不多就买了。
自动关键词采集(独立创建h5自定义关键词文字选中(组图))
采集交流 • 优采云 发表了文章 • 0 个评论 • 153 次浏览 • 2021-09-08 00:04
自动关键词采集,一键批量复制、导出全部关键词数据。内置关键词转化率统计分析及挖掘功能,全面分析内容传播效果!内置独有文字价格统计分析功能。支持独立文字版面素材、h5模板。独立创建h5自定义关键词列表。独立自定义关键词文字选中。支持全屏多颜色设置。支持全屏关键词排列设置。支持部分多颜色格式设置。支持关键词词库独立设置。
支持关键词精选组合。支持独立定义关键词排行。支持多选关键词,关键词密度图。支持字数与关键词匹配高质量文字。以上功能全新升级,全面提升pr转化率!不但能快速采集大量h5资源,且覆盖平台广泛、数据全面。所有收集资源排序无规律,实现筛选检索,按转化率高低分布资源。支持自定义关键词词库。支持关键词公式自定义一键排序。
支持单独导出keywords关键词进行不一致及任意异型导出。支持抓取h5内所有关键词,增量复制过来支持全部免费扩展第三方api,实现大数据自动化分析和挖掘。内置高转化率抓取的h5音乐专辑,单曲秒杀一切h5音乐作品。支持自定义h5文字关键词。支持任意h5音乐形态,包括纯h5、动态音乐视频和文字版单曲。支持同一关键词更多字体颜色编辑等多种方式支持更换颜色。
支持多段多文字标题多种格式导出。支持单一关键词点击率/获赞/激活/人气全维度分析。导出文字版面文本统计分析,支持自定义版面颜色。支持上传多版面图片。支持自定义markdown格式更加方便阅读。支持实时pr和roi。支持自定义组合键:手势上、下/左/右键、多指关键词大键盘快捷键。可自定义关键词调色盘样式。
支持h5pr高转化率单文字/词云pr词云自定义版面设置。支持部分多颜色格式设置。支持关键词转化率keyword文字高亮显示和批量清除。支持支持独立qq号导入,实现高效授权。支持内置图片超清大小设置支持单元格上下滑动切换查看。支持组合键:左/右、上/下/左/右/右/键。支持识别微信,发朋友圈、文章,群发文章和二维码实现免费或付费分享。支持其他方式导入媒体文件。支持功能还在不断升级,并可持续盈利,欢迎交流合作。 查看全部
自动关键词采集(独立创建h5自定义关键词文字选中(组图))
自动关键词采集,一键批量复制、导出全部关键词数据。内置关键词转化率统计分析及挖掘功能,全面分析内容传播效果!内置独有文字价格统计分析功能。支持独立文字版面素材、h5模板。独立创建h5自定义关键词列表。独立自定义关键词文字选中。支持全屏多颜色设置。支持全屏关键词排列设置。支持部分多颜色格式设置。支持关键词词库独立设置。
支持关键词精选组合。支持独立定义关键词排行。支持多选关键词,关键词密度图。支持字数与关键词匹配高质量文字。以上功能全新升级,全面提升pr转化率!不但能快速采集大量h5资源,且覆盖平台广泛、数据全面。所有收集资源排序无规律,实现筛选检索,按转化率高低分布资源。支持自定义关键词词库。支持关键词公式自定义一键排序。
支持单独导出keywords关键词进行不一致及任意异型导出。支持抓取h5内所有关键词,增量复制过来支持全部免费扩展第三方api,实现大数据自动化分析和挖掘。内置高转化率抓取的h5音乐专辑,单曲秒杀一切h5音乐作品。支持自定义h5文字关键词。支持任意h5音乐形态,包括纯h5、动态音乐视频和文字版单曲。支持同一关键词更多字体颜色编辑等多种方式支持更换颜色。
支持多段多文字标题多种格式导出。支持单一关键词点击率/获赞/激活/人气全维度分析。导出文字版面文本统计分析,支持自定义版面颜色。支持上传多版面图片。支持自定义markdown格式更加方便阅读。支持实时pr和roi。支持自定义组合键:手势上、下/左/右键、多指关键词大键盘快捷键。可自定义关键词调色盘样式。
支持h5pr高转化率单文字/词云pr词云自定义版面设置。支持部分多颜色格式设置。支持关键词转化率keyword文字高亮显示和批量清除。支持支持独立qq号导入,实现高效授权。支持内置图片超清大小设置支持单元格上下滑动切换查看。支持组合键:左/右、上/下/左/右/右/键。支持识别微信,发朋友圈、文章,群发文章和二维码实现免费或付费分享。支持其他方式导入媒体文件。支持功能还在不断升级,并可持续盈利,欢迎交流合作。
自动关键词采集(十种关键词收集方法,你get到了几个?!)
采集交流 • 优采云 发表了文章 • 0 个评论 • 448 次浏览 • 2021-09-06 22:05
众所周知,关键词是电子商务的核心。对于国际站的新人来说,关键词采集 一直是个头疼的问题。今天给大家分享十种关键词采集方法。
一、热门搜索词
该频道所有店铺通用,一个账号可以查看所有关键词。
输入步骤:数据管理器-了解行情-热门搜索词
二、词源
词源:为您的产品带来曝光率和点击量的买家搜索词。显示曝光率最高的 30 个词。如果总暴露字数小于30,则按实际数量显示。
换句话说,这部分的词是买家实际使用的词。所以不管热不热,放手吧。无论是用于P4P推广,还是推出新品,总之不要错过。尤其是带有点击的字词。
进入步骤:数据管家-知己-我的产品-词源
三、我的词
我的词:由两部分组成,一是我设置关键词或参与外贸直通车推广的词,二是买家找到我的词。对于少数字量大于10000的供应商,只提供10000字,选出网站给你带来最多曝光度和最高搜索兴趣的前10000个字。
此方法适用于开店半年以上的店铺。开放时间太短,没有流量,也没有数据积累。这个方法可以起到很小的作用。
进入步骤:Data Manager-Confidant-My Words
PS:我的话可以后台直接导出。
四、Visitor Details-常用搜索词
进入步骤:数据经理-了解买家-访客详情
筛选时,您可以在区域内选择“海外”,排除来自中国大陆的游客。
五、行业热词榜
进入步骤:数据管理员-新数据管理员(基础版)-行业-行业热词榜
您可以使用三种类型的词:热搜词、蓝海词和潜在词。您可以根据需要使用它。
六、行业视角
进入步骤:数据管家-了解行情-行业视角
行业视角可以采集“热门搜索词”、“搜索上升最快的词”和“零少词”。这里的话没有太大变化,你可以每季度看一次。最大的优点是可以按地区搜索,对于目标国家市场明确的卖家可以很好的使用,查询频率可以是一个月/次。
七、RFQ商机
输入步骤:数据管理员-了解报价-RFQ 商业机会
八、搜索栏下拉框
通过搜索栏下拉框采集阿里的热门关键词或长尾词:
九、陪用关键词
估计这是大家比较感兴趣的一种方法,我们要找的产品一定是自然排名高的产品。然后点击进入商品详情页,进入商品页面,将鼠标放在标签页上,会显示商品的标题和3个关键词,如图:
十、Google Adwords
第一步:注册一个谷歌账号,进入,点击关键词规划师。
第 2 步:选择关键词规划师。
第三步:输入你要搜索的关键词,搜索。
温馨提示:Google adwords关键词可以直接下载。 查看全部
自动关键词采集(十种关键词收集方法,你get到了几个?!)
众所周知,关键词是电子商务的核心。对于国际站的新人来说,关键词采集 一直是个头疼的问题。今天给大家分享十种关键词采集方法。
一、热门搜索词
该频道所有店铺通用,一个账号可以查看所有关键词。
输入步骤:数据管理器-了解行情-热门搜索词

二、词源
词源:为您的产品带来曝光率和点击量的买家搜索词。显示曝光率最高的 30 个词。如果总暴露字数小于30,则按实际数量显示。
换句话说,这部分的词是买家实际使用的词。所以不管热不热,放手吧。无论是用于P4P推广,还是推出新品,总之不要错过。尤其是带有点击的字词。
进入步骤:数据管家-知己-我的产品-词源

三、我的词
我的词:由两部分组成,一是我设置关键词或参与外贸直通车推广的词,二是买家找到我的词。对于少数字量大于10000的供应商,只提供10000字,选出网站给你带来最多曝光度和最高搜索兴趣的前10000个字。
此方法适用于开店半年以上的店铺。开放时间太短,没有流量,也没有数据积累。这个方法可以起到很小的作用。
进入步骤:Data Manager-Confidant-My Words

PS:我的话可以后台直接导出。
四、Visitor Details-常用搜索词
进入步骤:数据经理-了解买家-访客详情
筛选时,您可以在区域内选择“海外”,排除来自中国大陆的游客。

五、行业热词榜
进入步骤:数据管理员-新数据管理员(基础版)-行业-行业热词榜
您可以使用三种类型的词:热搜词、蓝海词和潜在词。您可以根据需要使用它。

六、行业视角
进入步骤:数据管家-了解行情-行业视角
行业视角可以采集“热门搜索词”、“搜索上升最快的词”和“零少词”。这里的话没有太大变化,你可以每季度看一次。最大的优点是可以按地区搜索,对于目标国家市场明确的卖家可以很好的使用,查询频率可以是一个月/次。

七、RFQ商机
输入步骤:数据管理员-了解报价-RFQ 商业机会

八、搜索栏下拉框
通过搜索栏下拉框采集阿里的热门关键词或长尾词:

九、陪用关键词
估计这是大家比较感兴趣的一种方法,我们要找的产品一定是自然排名高的产品。然后点击进入商品详情页,进入商品页面,将鼠标放在标签页上,会显示商品的标题和3个关键词,如图:

十、Google Adwords
第一步:注册一个谷歌账号,进入,点击关键词规划师。

第 2 步:选择关键词规划师。

第三步:输入你要搜索的关键词,搜索。

温馨提示:Google adwords关键词可以直接下载。
自动关键词采集(《_collect_Discuz)_discuz开发者应用中心的应用)
采集交流 • 优采云 发表了文章 • 0 个评论 • 140 次浏览 • 2021-09-06 22:04
网站名称:“Discuz 论坛自动采集V10.01.49(addon_collect_Discuz)_Discuz Plug-in_Discuz应用中心”被网友积极提交查询,并被网友发布整理外链收录,部分站点可能跑掉,无法打开、关闭等,无法访问。无法访问的原因等,什么,做什么,如何,如何,如何,以及其他问题与本网站无关。本站仅提供基本参考信息显示:IP地址:-地址:-,百度权重为1、百度手机重重为,百度收录为493000,360收录为6520,搜狗收录为85846文章, Google收录为- 文章,百度访问量在1431~1909之间,百度手机访问量在1297~1728之间,备案号为皖ICP备16010102-4、备案主题名:,百度收录有141个关键词,手机关键词有108个。至此,6年7月18日创建。
上一篇:DiscuzB站视频自动采集V11.02.57(addon_collect_bilibili)_Discuz应用中心|下一篇:众大云采集-智伍应用的应用_discuz开发者_discuz应用作者_Discuz申请中心 查看全部
自动关键词采集(《_collect_Discuz)_discuz开发者应用中心的应用)
网站名称:“Discuz 论坛自动采集V10.01.49(addon_collect_Discuz)_Discuz Plug-in_Discuz应用中心”被网友积极提交查询,并被网友发布整理外链收录,部分站点可能跑掉,无法打开、关闭等,无法访问。无法访问的原因等,什么,做什么,如何,如何,如何,以及其他问题与本网站无关。本站仅提供基本参考信息显示:IP地址:-地址:-,百度权重为1、百度手机重重为,百度收录为493000,360收录为6520,搜狗收录为85846文章, Google收录为- 文章,百度访问量在1431~1909之间,百度手机访问量在1297~1728之间,备案号为皖ICP备16010102-4、备案主题名:,百度收录有141个关键词,手机关键词有108个。至此,6年7月18日创建。
上一篇:DiscuzB站视频自动采集V11.02.57(addon_collect_bilibili)_Discuz应用中心|下一篇:众大云采集-智伍应用的应用_discuz开发者_discuz应用作者_Discuz申请中心